Исследование мазерного излучения OH 18 см и магнитного поля в области звездообразования S128
- Авторы: Ашимбаева Н.Т.1, Лехт Е.Е.1, Краснов В.В.2, Толмачев А.М.3
-
Учреждения:
- Московский государственный университет им. М.В. Ломоносова, Государственный астрономический институт им. П.К. Штернберга
- Астрокосмический центр Физического института им. П.Н. Лебедева РАН
- Пущинская радиоастрономическая обсерватория, Астрокосмический центр Физического института им. П.Н. Лебедева РАН
- Выпуск: Том 100, № 7 (2023)
- Страницы: 582-592
- Раздел: СТАТЬИ
- URL: https://bakhtiniada.ru/0004-6299/article/view/139106
- DOI: https://doi.org/10.31857/S0004629923070022
- EDN: https://elibrary.ru/NBTIDD
- ID: 139106
Цитировать
Полный текст
Аннотация
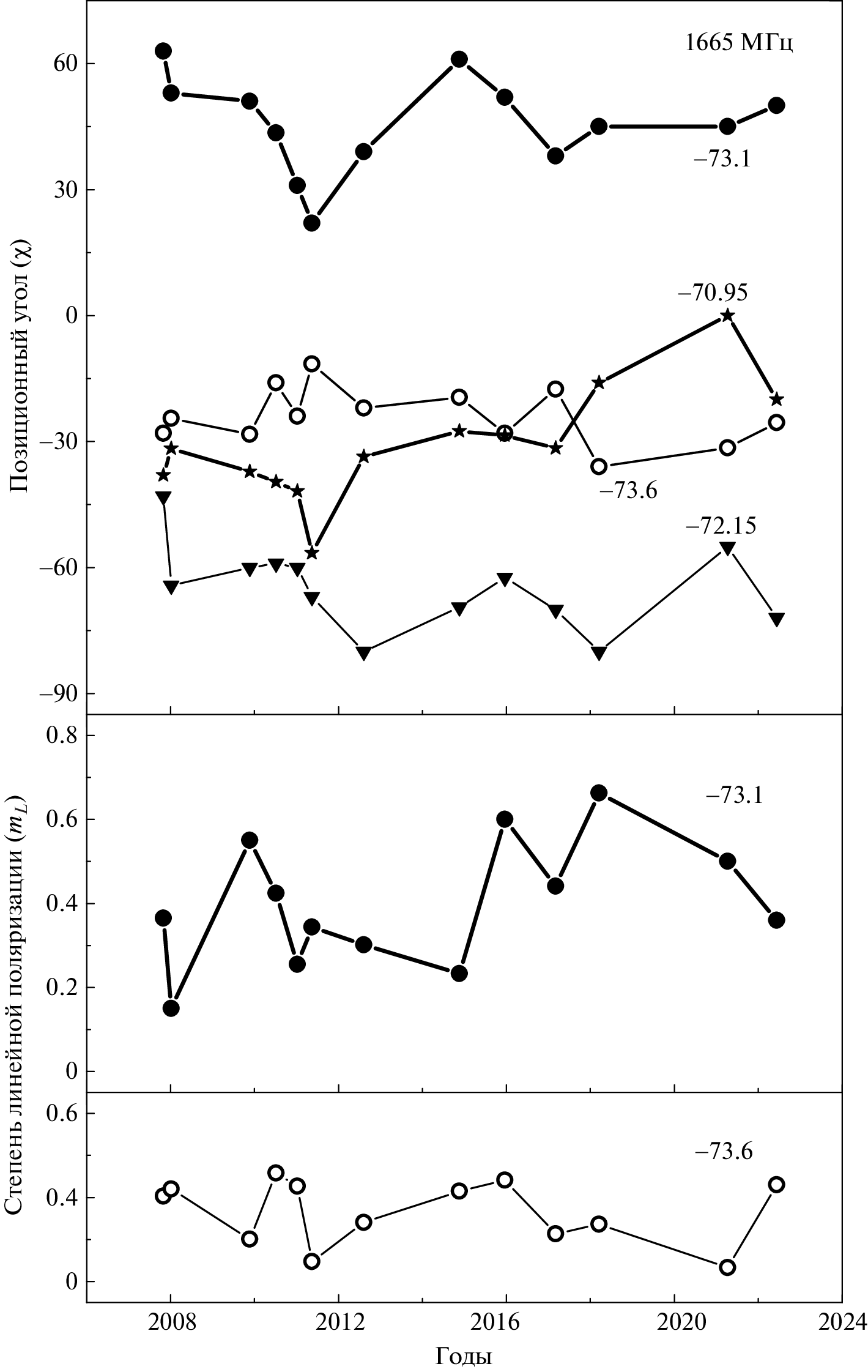
Представлены результаты исследования переменности мазерного излучения в линиях OH в диапазоне 18 см в области звездообразования S128 из данных мониторинга в 2007–2022 гг. на Большом радиотелескопе в Нансэ (Франция). В главной линии 1665 МГц наблюдалось мазерное излучение в течение всего мониторинга, а в сателлитных линиях 1612 и 1720 МГц наблюдалось только кратковременное излучение. Для четырех наиболее сильных деталей в линии 1665 МГц обнаружена переменность позиционного угла \(\chi \) линейно поляризованного излучения. Зависимость \(\chi \) от лучевой скорости в какой-то степени напоминает ограниченную синусоиду, что может быть связано с существованием организованной пространственной структуры мазерных пятен OH и связанного с ней поперечного магнитного поля. Для двух зеемановских пар в линии 1612 МГц, имеющих близкие лучевые скорости (–75.236/–75.344 и –74.980/–74.903 км/с), обнаруженные расщепления имеют противоположные знаки и, следовательно, противоположные направления продольного магнитного поля. Для этих деталей также определены направления векторов поперечного магнитного поля. Видимо, магнитное поле является закрученным и связано с закрученным молекулярным потоком вещества.
Ключевые слова
Об авторах
Н. Т. Ашимбаева
Московский государственный университет им. М.В. Ломоносова,Государственный астрономический институт им. П.К. Штернберга
Email: lekht@sai.msu.ru
Россия, Москва
Е. Е. Лехт
Московский государственный университет им. М.В. Ломоносова,Государственный астрономический институт им. П.К. Штернберга
Автор, ответственный за переписку.
Email: lekht@sai.msu.ru
Россия, Москва
В. В. Краснов
Астрокосмический центр Физического института им. П.Н. Лебедева РАН
Email: lekht@sai.msu.ru
Россия, Москва
А. М. Толмачев
Пущинская радиоастрономическая обсерватория,Астрокосмический центр Физического института им. П.Н. Лебедева РАН
Email: lekht@sai.msu.ru
Россия, Пущино
Список литературы
- A. D. Haschick and P. T. P. Ho, Astrophys. J. 292, 200 (1985).
- P. T. P. Ho, A. D. Haschick, and F. P. Israel, Astrophys. J. 362, 147 (1981).
- A. Mampaso, P. Gómez, C. Sanchez-Magro, and M. J. Selby, Monthly Not. Roy. Astron. Soc. 207, 465 (1984).
- A. D. Haschick and P. T. P. Ho, Astrophys. J. 292, 200 (1985).
- V. Migenes, S. Horiuchi, V. I. Slysh, I. E. Val’tts, et al., Astrophys. J. 123, 487 (1999).
- A. M. S. Richards, R. J. Cohen, M. Crocker, E. E. Lekht, E. Mendoza-Torres, and V. A. Samodourov, Astrophys. Space Sci. 295, 19 (2004).
- J. G. A. Wouterloot, J. Brand, and C. Henkel, Astron. and Astrophys. 191, 323 (1988).
- Н. Т. Ашимбаева, П. Колом, Е. Е. Лехт, М. И. Пащенко, Г. М. Рудницкий, А. М. Толмачев, Астрон. журн. 95(9), 645 (2018).
- В. И. Слыш, М. И. Пащенко, Г. М. Рудницкий, В. М. Витрищак, П. Колом, Астрон. журн. 87(7), 655 (2010).
- V. L. Fish and M. J. Reid, Astrophys. J. Suppl. 164, 99 (2006).
- П. Колом, Н. Т. Ашимбаева, Е. Е. Лехт, М. И. Пащенко, Г. М. Рудницкий, А. М. Толмачев, Астрон. журн. 98(1), 50 (2021).
Дополнительные файлы









