Dependences of Characteristics of Bulges on the Mass of the Central Black Hole and Theoretical Aspects of Their Origin
- Авторлар: Botirov F.U.1, Nuritdinov S.N.1, Ashurov A.E.2
-
Мекемелер:
- M. Ulugbek National University of Uzbekistan
- L.N. Gumilev Eurasian National University
- Шығарылым: Том 100, № 5 (2023)
- Беттер: 404-413
- Бөлім: Articles
- URL: https://bakhtiniada.ru/0004-6299/article/view/139080
- DOI: https://doi.org/10.31857/S0004629923050018
- EDN: https://elibrary.ru/YVOQDS
- ID: 139080
Дәйексөз келтіру
Толық мәтін
Аннотация
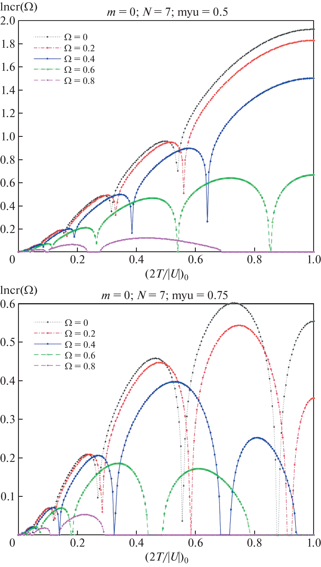
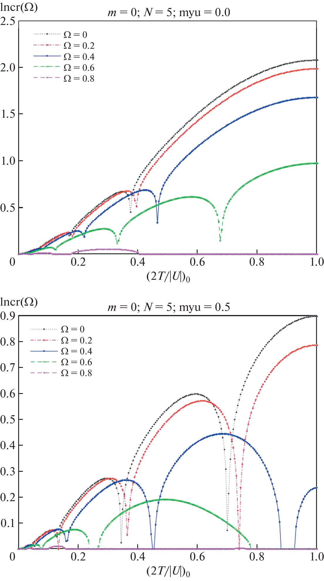
To study the influence of the central black hole on the formation of the bulge of spiral galaxies, we analyzed the relationship between the masses of supermassive black holes (SMBHs) and the parameters of their bulges. Unlike other authors, we consider only spiral galaxies. In this paper, we present empirical formulas derived from observations of 54 spiral galaxies, establishing connections between the mass of the central black hole (MBH), the bulge stellar mass (Mbulge), and the velocity dispersion (σ) of stars in it. A non-linear non-stationary disk model with an anisotropic velocity diagram is constructed. Within this model, the instabilities of individual perturbation modes are studied. The increments of instability are calculated depending on the physical parameters of the model. These values are compared across three perturbation modes. The paper is partly based on the report presented at the conference “Modern Stellar Astronomy-2022,” held at the Caucasian Mountain Observatory of the Sternberg Astronomical Institute of Lomonosov Moscow State University, on November 8–10, 2022.
Негізгі сөздер
Авторлар туралы
F. Botirov
M. Ulugbek National University of Uzbekistan
Email: botirov_0807@mail.ru
100174, Tashkent, Uzbekistan
S. Nuritdinov
M. Ulugbek National University of Uzbekistan
Email: botirov_0807@mail.ru
100174, Tashkent, Uzbekistan
A. Ashurov
L.N. Gumilev Eurasian National University
Хат алмасуға жауапты Автор.
Email: botirov_0807@mail.ru
010000, Astana, Kazakhstan
Әдебиет тізімі
- K. Gebhardt, R. Bender, G. Bower, A. Dressler, et al., A-strophys. J. 539(1), L13 (2000).
- A. W. Graham, P. Erwin, N. Caon, and I. Trujillo, in Disks of Galaxies: Kinematics, Dynamics and Peturbations, edited by E. Athanassoula, A. Bosma, and R. Mujica, Astron. Soc. Pacific Conf. Ser. 275, 87 (2002).
- J. Magorrian, S. Tremaine, D. Richstone, R. Bender, et al., Astron. J. 115(6), 2285 (1998).
- A. Marconi and L. K. Hunt, Astrophys. J. 589(1), L21 (2003).
- D. B. Fisher and N. Drory, Astrophys. J. 733(2), id. L47 (2011).
- J. Kormendy and R. C. Kennicutt, Jr., Ann. Rev. Astron. Astrophys. 42(1), 603 (2004).
- A. Renzini, in The Formation of Galactic Bulges, edited by C. M. Carollo, H. C. Ferguson, and R. F. G. Wyse, p. 9 (1999).
- J. Kormendy and R. Bender, Astrophys. J. 872(1), id. 106 (2019).
- R. Lütticke, R. J. Dettmar, and M. Pohlen, Astron. and Astrophys. Suppl. Ser. 145, 405 (2000).
- K. C. Freeman, in Island Universes, Astrophys. Space Sci. Proc. (Springer), p. 3 (2007).
- S. N. Nuritdinov, in Galactic Bulges, Proc. IAU Symp., held in Ghent, Belgium, August 1722, 1992 (Kluwer Academic, 1993), 153, 403 (1992).
- G. S. Bisnovatyi-Kogan and Y. B. Zel’dovich, Astrophysics 6(3), 207 (1970).
- S. N. Nuritdinov, K. T. Mirtadjieva, and M. Sultana, A-strophysics 51(3), 410 (2008).
- S. N. Nuritdinov, K. T. Mirtadjieva, I. Ahmad, and J. K. Ruzibaev, Astrophysics 52(4), 584 (2009).
- C. Hunter and A. Toomre, Astrophys. J. 155, 747 (1969).
- A. M. Fridman and V. L. Polyachenko, Physics of gravitating systems. I: Equilibrium and Stability (New York: Springer-Verlag, 1984).
- V. Reshetnikov, E. Battaner, F. Combes, and J. Jimenez-Vicente, VizieR Online Data Catalog J/A+A/382/513 (2002).
- F. U. Botirov and S. N. Nuritdinov, Open Astronomy 30(1), 144 (2021).
- И. Г. Малкин Теория устойчивости движения, М.: Наука, 1966.
Қосымша файлдар









