Влияние эксцентриситета орбиты планеты на значения коэффициентов потемнения к краю затмеваемой звезды
- Авторы: Бекесов Е.В.1,2, Черепащук А.М.1,2
-
Учреждения:
- Московский государственный университет им. М.В. Ломоносова
- Государственный астрономический институт им. П.К. Штернберга
- Выпуск: Том 100, № 2 (2023)
- Страницы: 173-185
- Раздел: СТАТЬИ
- URL: https://bakhtiniada.ru/0004-6299/article/view/139064
- DOI: https://doi.org/10.31857/S0004629923020020
- EDN: https://elibrary.ru/CIZPKY
- ID: 139064
Цитировать
Полный текст
Аннотация
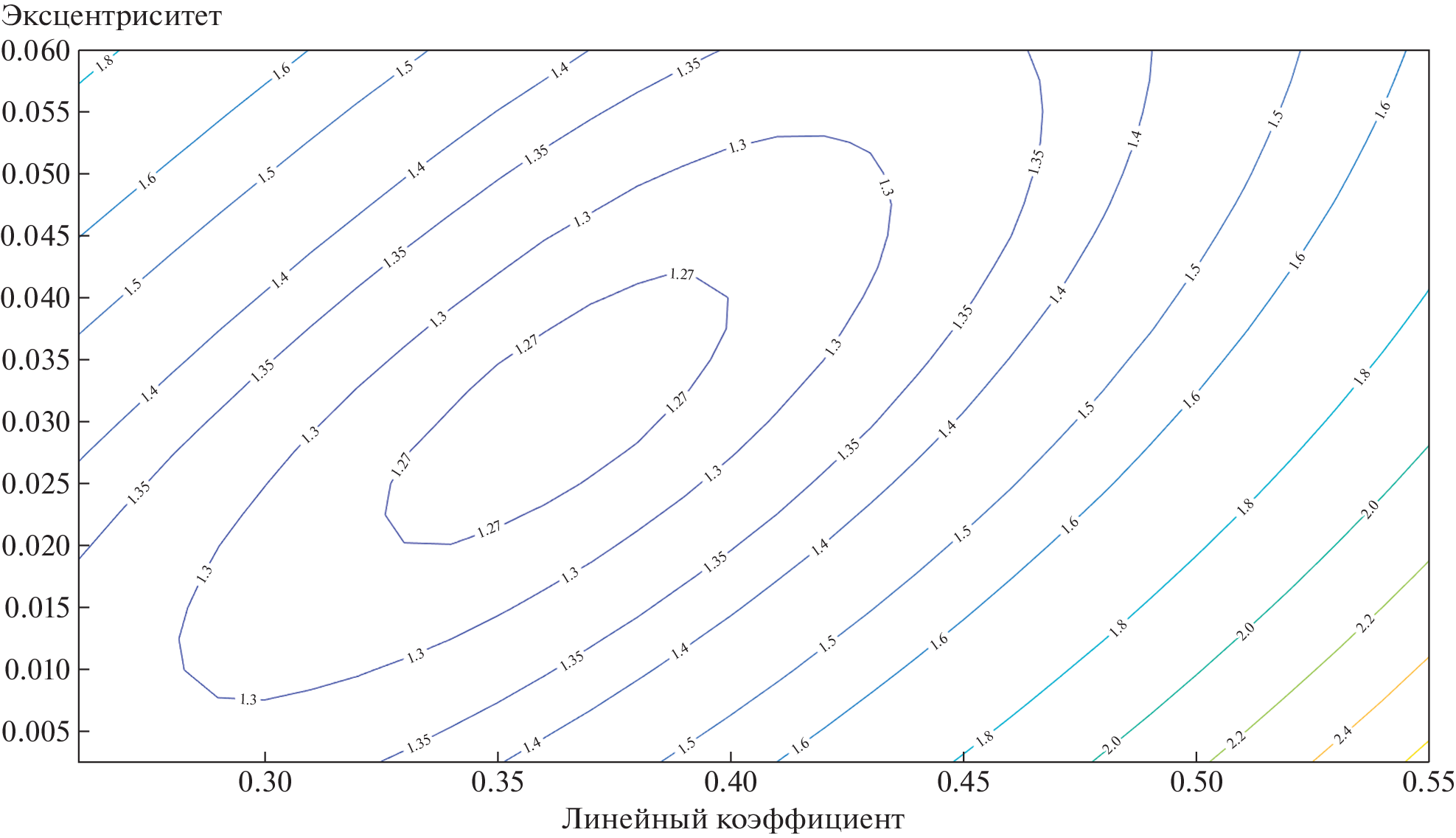
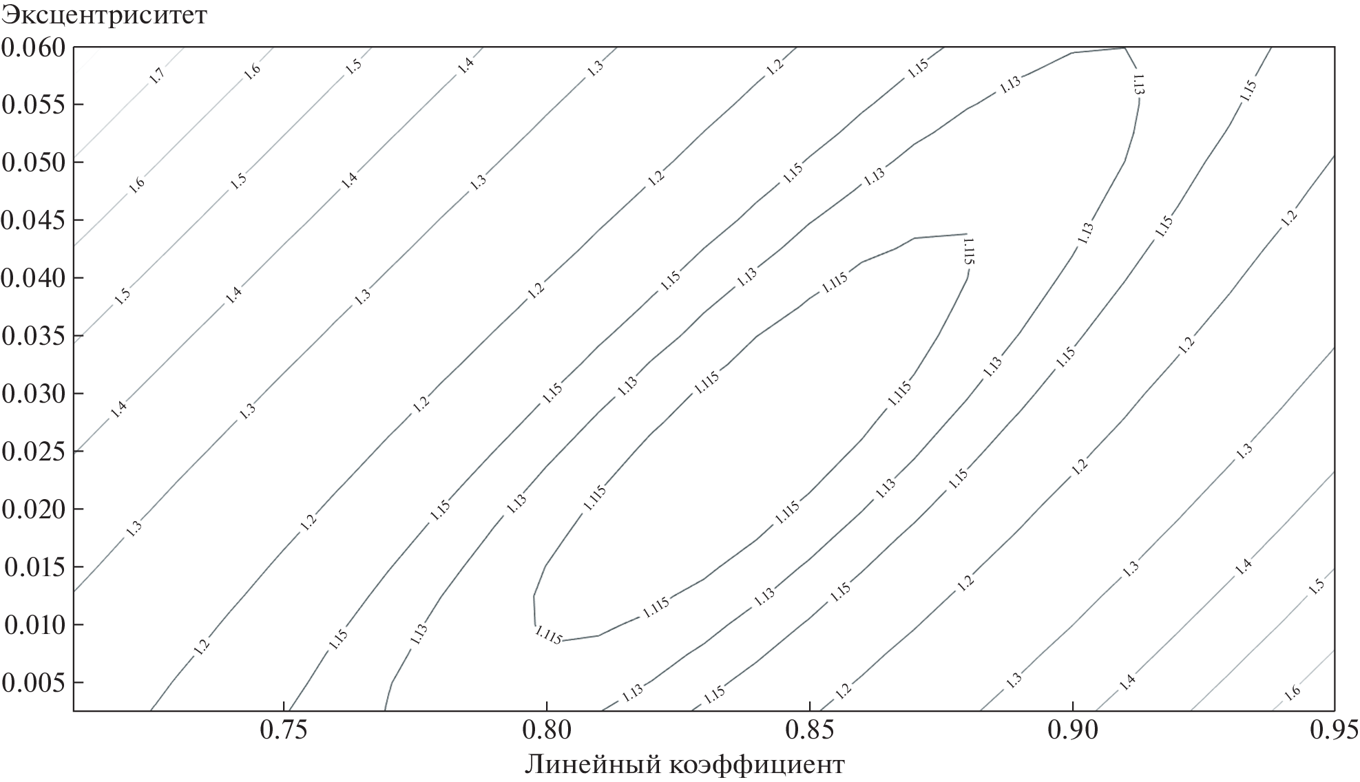
Показано, что введение в модель двойной системы с экзопланетой небольшого эксцентриситета орбиты, допустимого ошибками определения лучевых скоростей затмеваемой звезды, позволяет значительно уменьшить и даже устранить различие в зависимостях от длины волны между наблюдаемыми и теоретическими значениями коэффициентов потемнения к краю звезды HD 209458.
Об авторах
Е. В. Бекесов
Московский государственный университет им. М.В. Ломоносова;Государственный астрономический институт им. П.К. Штернберга
Email: egor03121996@mail.ru
Россия, Москва; Россия, Москва
А. М. Черепащук
Московский государственный университет им. М.В. Ломоносова;Государственный астрономический институт им. П.К. Штернберга
Автор, ответственный за переписку.
Email: cherepashchuk@gmail.com
Россия, Москва; Россия, Москва
Список литературы
- M. Mayor and D. Queloz, Nature 378, 355 (1995).
- Н. А. Сахибулин, Экзопланеты (Казань: Изд-во Казанского университета, 2020).
- B. Charbonneau, T. M. Brown, D. W. Latham, and M. Mayor, Astrophys. J. 529, L45 (2000).
- G. W. Henry, G. W. Marcy, R. P. Butler, and S. S. Vogt, Astrophys. J. 529 L41 (2000).
- J. Southworth, Monthly Not. Roy. Astron. Soc. 386, 1644 (2008).
- T. M. Brown, D. Charbonneau, R. L. Gilleand, and R. W. Noyes, Astrophys. J. 552, 699 (2001).
- J. F. Rowe, Astrophys. J. 646, 1241 (2006).
- М. К. Абубекеров, Н. Ю. Гостев, А. М. Черепащук, Астрон. журн. 88 (12), 1139 (2011).
- H. A. Knutson, D. Charbonneau, L. Allen, A. Burrows, and S. T. Megeath, Astrophys. J. 673, 526 (2007).
- A. Claret, Astron. and Astrophys. 428, 1001 (2004).
- М. К. Абубекеров, Н. Ю. Гостев, А. М. Черепащук, Астрон. журн. 87, 1199 (2010).
- A. Claret, Astron. and Astrophys. 506, 1335 (2009).
- M. K. Abubekerov and N.Y. Gostev, Monthly Not. Roy. Astron. Soc. 459, 2078 (2016).
- M. K. Abubekerov and N. Y. Gostev, Astron. and Astrophys. 633, id. A96 (2020).
- P. E. Cubillos, L. Fossati, T. Koskinen, M. E. Young, M. Salz, K. France, A. G. Sreejith, and C. A. Haswell, Astron. J. 159 (3), 111 (2020).
- И. Кудзей, Бюлл. Абастум. Астрофиз. обсерв. 58 (1985).
- И. Кудзей, Астрон. циркуляр № 1363 (1985).
- S. Kasuya, M. Honda, and R. Mishima, Monthly Not. Roy. Astron. Soc. 411, 1863 (2011).
- S. Faigler and T. Mazeh, Monthly Not. Roy. Astron. Soc. 415, 3921 (2011).
- A. G. Snellen, E. J. W. de Mooij, and S. Albrecht, Nature 459 (7246), 543 (2009).
- L. J. Rosenthal, B. J. Fulton, L. A. Hirsch, H. T. Isaacson, et al., Astrophys. J. 255 (1), id. 8 (2021).
- A. S. Bonomo, S. Desidera, S. Benatti, F. Borsa, et al., Astron. and Astrophys. 602, id. A107 (2017).
- Е. В. Бекесов, А. А. Белинский, С. Б. Попов, Астрон. журн. 98 (12), 1043 (2021).
- А. М. Черепащук, Тесные двойные звезды. Часть 1 (М.: ФИЗМАТЛИТ, 2013), с. 180.
- S. Poddaný, L. Brát, and O. Pejcha, New Astronomy 15 (3), 297 (2010).
- J. Southworth, Monthly Not. Roy. Astron. Soc. 408 (3), 1689 (2010).
- A. Claret and S. Bloemen, Astron. and Astrophys. 529, id. A75 (2011).
- J. Eastman, B. S. Gaudi, and E. Agol, Publ. Astron. Soc. Pacific 125 (923), 83 (2013).
- C. del Burgo and C. A. Prieto, Monthly Not. Roy. A-stron. Soc. 462 (2), 1400 (2016).
- T. Boyajian, K. von Braun, G. A. Feiden, D. Huber, et al., Monthly Not. Roy. Astron. Soc. 447 (1), 846 (2015).
- K. G. Stassun, K. A. Collins, and B. S. Gaudi, Astron. J. 153 (3), 136 (2017).
Дополнительные файлы











