Measurements of directional sea surface waves near Sakhalin Island by array of bottom station
- Authors: Kokorina A.V.1, Slunyaev A.V.1,2,3, Zaitsev A.I.1,4, Leonenkov R.V.4
-
Affiliations:
- Federal Research Center Gaponov-Grekhov Institute of Applied Physics of the Russian Academy of Sciences
- National Research University “Higher School of Economics”
- Il'ichev Pacific Oceanological Institute Far Eastern Branch Russian Academy of Sciences
- Special Research Bureau for Automation of Marine Researches, Far East Branch, Russian Academy of Sciences
- Issue: Vol 60, No 6 (2024)
- Pages: 892-911
- Section: Articles
- URL: https://bakhtiniada.ru/0002-3515/article/view/282055
- DOI: https://doi.org/10.31857/S0002351524060049
- EDN: https://elibrary.ru/HUZRTX
- ID: 282055
Cite item
Full Text
Abstract
Field measurements of sea waves are carried out off the coast of Sakhalin Island using an antenna of three bottom pressure sensors. The stability of statistical characteristics estimated by different devices in the antenna is analyzed. The probability distribution of wave heights qualitatively corresponds to the Glukhovsky distribution, but demonstrate a lower probability of high wave occurrence. The space-time spectra of waves are reconstructed. It is shown that the angular distribution of the spectral density of waves over two days of measurements is well described by the theoretical cosine squared distribution, and its width varies in the range of 50-90 degrees. The dominant direction of wave propagation is from the northeast. An independent method is proposed for estimating the local water depth using data from the antenna.
Full Text
1. Введение
Важность вопросов адекватного описания ветрового волнения, включающего динамические и вероятностные аспекты, оценки максимально возможных волн и частоты их повторяемости, понимание законов зарождения, развития, распространения ветровых волн, не вызывает сомнения. Уже существующие модели постоянно развиваются с учетом лучшего физического понимания, совершенствования математического и вычислительного аппарата; проходят проверку с привлечением новых лабораторных и натурных данных.
Специальным конструкторским бюро САМИ ДВО РАН последние примерно 15 лет ведутся инструментальные измерения морских волн у побережья о-ва Сахалин посредством регистрации вариаций донного давления. Измерительные кампании осуществлялись с установкой одного или нескольких автономных датчиков на срок до 6 мес. Результаты обработки измерений за разные годы приводились в публикациях [Зайцев и др., 2011; Кузнецов и др., 2014; Didenkulova and Zaitsev, 2019; Кокорина и др., 2022; Слюняев и др., 2023a]. Основное внимание уделялось диапазонам характеристик регистрируемых волн (периоды, высоты), экстремальным волнам (частота возникновения, максимальные усиления, форма), вероятностным распределениям волн, в т.ч. аномально высоким волнам («волны-убийцы»). В частности, в недавней работе [Слюняев и др., 2023a] данные измерений были преобразованы к безразмерным характеристикам для лучшего соотнесения с действующими физическими механизмами. При этом была показана большая вариативность физических условий измерений всего в одной точке регистрации волн (связанная, в том числе, с изменением периодов волн), адекватность распределения Глуховского для описания распределения вероятностей высот нелинейных волн для значительной части измерений.
Получаемые данные натурных регистраций представляют большой интерес в плане верификации картины экстремальных волн, получаемой по результатам прямого численного моделирования (например, [Слюняев и Кокорина, 2020]). Численное моделирование эволюции нерегулярных волн в рамках динамических уравнений гидродинамики (Монте-Карло моделирование) применяют как более аккуратную, но трудоемкую альтернативу расчету кинетических уравнений (см. обзор [Слюняев и др., 2023b]). Последние используют ряд приближений (в первую очередь, – предположения о случайности и некоррелированности волн, медленности нелинейной эволюции), что делает невозможным описание быстро развивающихся нелинейных процессов, с которыми чаще всего связывают явление «волн-убийц». Для описания волновых условий используют параметрические частотные спектры S(ω): например, спектр Пирсона–Московица или JONSWAP [Massel, 1996; Holthuijsen, 2007; Лопатухин, 2012]. Поскольку исходные уравнения гидродинамики разрешены относительно временных производных, то наиболее естественным является решение начальной задачи. Тогда для задания начальных условий частотный спектр должен быть преобразован в спектр волновых векторов S(k). При этом обычно предполагают факторизацию спектра направленных волн вида S(k) = S(k)D(θ), где – модуль волнового вектора и θ – соответствующий ему угол в горизонтальной плоскости, для некоторой модельной функции распределения направлений D(θ). Такие расчеты выполняются нами для условий большой и конечной глубины [Слюняев и Кокорина, 2020; Слюняев, 2023], они также активно проводятся другими исследовательскими группами, например [Xiao et al., 2013; Ducrozet et al., 2016; Kirezci et al., 2021; Wang et al., 2021; Chalikov, 2023].
Информация об угловых спектрах волн важна как для интерпретации данных измерений в одной пространственной точке (в частности, выделения волновых систем, которые смешиваются в частотном спектре), так и для оценки динамических и вероятностных свойств ветрового волнения. Известно, что условия обрушений скрещенных волн значительно отличаются от таковых для однонаправленных волн [Babanin, 2011]; картина нелинейных волновых взаимодействий сильно зависит от углового распределения, включая зависимость условий модуляционной неустойчивости волн, развитие которой приводит к экстремизации волнения [Onorato et al., 2009].
Специально для получения данных об угловых распределениях ветровых волн в октябре 2022 г. в заливе Мордвинова была установлена антенна из трех синхронизированных датчиков донного давления. Использование систем разнесенных струнных волнографов является стандартным способом измерения направленных волн на поверхности воды (например, [Давидан и др., 1978; Young, 1994; Donelan et al., 1996]). Распределенные системы донных станций давления также применялись для отслеживания распространения волн, напр. [Squire et al., 2021]. При использовании регистраторов придонного давления информацию о направленном спектре волн обычно получают посредством дополнительных измерений (например, полей течений), см. в [Montoya and Dally, 2016]. Измерение угловых спектров волн на основании лишь данных вариаций давления у дна проводилось у атлантического берега Северной Каролины (США, Currituck Spit) в течение ок. 23 лет [Long and Oltman-Shay, 1991; Long, 1994]. Система состояла из 9 приборов, размещенных на одной линии общей длиной более 200 м вдоль 8-метровой изобаты, и десятого датчика, смещенного на 5 метров в сторону моря. Приборы располагались на разных удалениях друг от друга, оптимальных для применения метода наибольшего правдоподобия для восстановления углового спектра (Iterative Maximum Likelihood Estimator Method). Питание приборов осуществлялось по кабелю. По всей видимости, в российских акваториях для регистрации направленных волн ветрового диапазона антенны из донных датчиков давления ранее не использовались.
В настоящей работе проводится обработка результатов регистрации придонного давления антенной из трех датчиков в течение одного месяца. Эти данные использованы как для определения возможностей такой схемы измерения, включая кросс-валидацию инструментальных данных с разных датчиков, так и для реконструкции пространственных спектров направленных волн, включая оценку характерных ширин угловых спектров и профилей их распределений, востребованных в задачах прямого численного моделирования нерегулярных морских волн. Также проанализированы вероятностные свойства измеренных волн в условиях интенсивного и слабого волнения. Обсуждается, что наличие одновременной информации о пространственном и частотном спектрах может быть использовано для независимой оценки глубины места измерений.
2. Условия натурного эксперимента и инструментальные данные
Антенна из трех жестко закрепленных на металлической раме энергонезависимых датчиков давления была установлена на дно в заливе Мордвинова Охотского моря у восточного берега южной части о-ва Сахалин (рис. 1) 19 октября и поднята 24 ноября 2022 г. Залив открыт для захода волн с востока из Охотского моря. От Тихого океана район отделен грядой Курильских островов. Морское дно опускается до 100-м отметки при удалении от берега на расстояние более 20 км. Антенна располагалась недалеко от протоки Красноармейская, соединяющей озеро лагунного типа Тунайча с морем. По данным предшествующих измерительных кампаний соленость воды в месте постановки находится в пределах 32–33 ПЕС и меняется незначительно.
Рис. 1. Место проведения измерений (46°51′50.26″C 143°10′30″В).
Антенна представляет собой равносторонний треугольник с длиной стороны ∆l = 1.5 м, в вершинах которого находятся независимые датчики (см. схему на рис. 2) на основе термокомпенсированных тензопреобразователей избыточного давления «Микротензор» D 0.25-T с разрешающей способностью 0.01% в диапазоне давлений от 0 до 0.25 МПа.
Рис. 2. Схема антенны из трех датчиков. Ось Ox направлена на восток, ось Oy – на север.
Калибровка датчиков проводилась до и после эксперимента; перед погружением они были синхронизированы. Антенна была установлена горизонтально на глубине около 11.5 м. Оценка разницы фактических глубин датчиков по полученным данным составила около 1%. Сторона с датчиками A и B вытянута с юга на север, датчик C ориентирован на восток. Исходные данные измерений, использованные для анализа, составляют примерно 800 часов непрерывных записей давления P(t) с частотой 8 Гц, с 20 октября по 23 ноября.
Полное давление, измеряемое донными датчиками, складывается из гидродинамического давления и давления атмосферного столба, P(t) = Phyd(t) + + Patm(t). Вариации гидродинамического давления обусловлены прохождением волн разных длин и высот. Составляющая атмосферного давления Patm берется постоянной на момент погружения антенны. К исходным данным P(t) применялся фильтр низких частот, отсеивающий все вариации с периодами более 10 мин, с которыми связываются интенсивные изменения атмосферного давления, приливные, нагонные явления и т.п. Запись с датчика A после фильтрации показана на рис. 3. Следуя стандартной процедуре, длинные записи с датчиков разбивались на непересекающиеся интервалы по 20 мин, которые предполагаются статистически однородными. Для каждой из 20-минутных выборок определялась глубина места h через гидростатическую формулу для среднего, определенного для рассматриваемого временного интервала по исходному нефильтрованному ряду: h = <Phyd>/(ρg), где ρ = 1023 кг/м3 и g = 9.81 м/c2 – плотность воды и ускорение свободного падения соответственно. Отсутствие учета возможных долговременных вариаций атмосферного давления приводит к погрешности оценки глубины. Для реалистичного перепада давления в 175 мм. рт. ст. эквивалентная высота столба воды составляет до внушительных 2.4 м. Однако, в интервал дат измерений разброс значений атмосферного давления составил всего 19 мм рт. ст. [WeatherArchive.ru], что обеспечивает погрешность оценки глубины не более 26 см. Усредненная по всему времени измерений глубина составила 11.5 м, которую будем считать условной глубиной точки установки антенны. Вариации глубин h в измеренных данных относительно этого среднего значения достигают 2 м. Соответствующий диапазон значений параметра безразмерной глубины kh (здесь k – волновое число, определенное для каждой 20-минутной выборки по характерному периоду волн в соответствии с дисперсионным соотношением, как обсуждается ниже в разделе 3) оказывается довольно широким – от 0.5 до 1.7. Потому обсуждаемые измерения, проведенные в одной точке, фактически соответствуют условиям от мелкой до относительно глубокой воды.
Рис. 3. Запись смещения поверхности после фильтрации длинных волн. Здесь и далее метки вверху соответствуют началам сут; снизу – время относительно условного момента начала измерений в часах.
В настоящей работе для пересчета фильтрованных данных давления Phyd,filt(t)/(ρg) в смещение морской поверхности над точкой измерений η(t) используется гидростатическая теория, аналогично предшествующим работам [Зайцев и др., 2011; Кузнецов и др., 2014; Кокорина и др., 2022; Слюняев и др., 2023a]: η(t) = Phyd,filt(t)/(ρg). Для ее применимости требуется выполнение условий мелкой воды и линейности волн, что для обсуждаемых измерений происходит далеко не всегда. Эффектами отклонения от гидростатической теории в настоящей работе пренебрегается. По этой причине с большей долей строгости можно считать, что проводимое ниже исследование касается записей донного давления.
3. Общая картина характеристик измеренного волнения
Как описано выше, инструментальный ряд данных был разбит на последовательность 20-минутных сегментов записей смещения поверхности с нулевым средним, <η> = 0. Для каждого из интервалов определялись осредненные значения характеристик: среднеквадратическое отклонение σ и связанная с ним значительная высота HS = 4σ, четвертый центральный статистический момент для смещения поверхности m4 = <η4>/σ4 – 3 (эксцесс); средний период волн по пересечению нулевого уровня TZ и др. Эволюция перечисленных величин за время измерений приведена на рис. 4. Поскольку измерения велись сразу тремя датчиками, расположенными на небольшом расстоянии друг от друга (по сравнению с длиной волны), то использованы значения, усредненные по трем датчикам (черная линия); зелеными светлыми символами на рис. 4 представлены значения соответствующего параметра для каждого из трех датчиков.
Рис. 4. Изменение параметров волнения во времени: значительная высота 4σ и эксцесс m4 (а), период TZ (б), параметр безразмерной глубины kh (в), параметр мелководной нелинейности 2σ/k (г), крутизна 2σk (д). Зелеными точками построены значения с разных датчиков, черная линия – результат усреднения по датчикам. На диаграммах справа построены плотности распределений вероятностей соответствующих величин.
Значительная высота (рис. 4а, черная линия) за весь период измерений в среднем составила порядка 20 см (см. диаграмму частоты реализации условий в правой части рисунка). Можно выделить три интервала регистрации интенсивного волнения, начала которых примерно соответствуют временам t = 80 ч, 200 ч, 600 ч от условного момента старта измерений в полночь 20 октября (см. шкалу сверху рисунка). Согласно метеоданным по г. Южно-Сахалинску [WeatherArchive.ru], они соответствуют усилению ветра до 3 м/с 22–23 октября, до 4 м/с 28–29 октября и до 7 м/с 13 ноября (то есть, за 2–3 суток до наблюдаемого максимума значительной высоты). Для первых двух случаев характерно быстрое вырастание HS до величины примерно 1 м и далее его медленное спадание до фонового значения. Последний эпизод сравнительно затяжной, значительная высота волн достигла 3 м, а максимальная высота по оценке реконструкции смещения поверхности составила H = 4.3 м. Согласно картам погоды приземного анализа Японского метеорологического агентства [Japan Meteorological Agency], 12–14 ноября южнее острова с запада на восток проходил циклон со скоростью ветра до 35 узлов (65 км/ч).
Значения четвертого статистического момента m4 в последовательности 20-минутных выборок построены на рис. 4а красными значками для всех трех датчиков в тех же осях, что и значительная высота HS, но являются безразмерными величинами. В большинстве случаев величины эксцесса близки к нулю, соответствующему случайному гауссовому процессу, но распределены вокруг этого значения довольно широко, см. диаграмму в правой части рисунка. Нередки значения m4 = 1 и более, что должно соответствовать повышенной вероятности высоких волн по сравнению с нормальной статистикой. Среднее значение m4 немногим менее нуля. Четко видно, что в период шторма значения m4 смещаются ниже нуля, то есть вероятность возникновения больших по сравнению с HS волн существенно понижается. В приведенных данных большие значения эксцесса реализуются в условиях волнения c малой значительной высотой.
Периоды волн TZ определялись двумя методами: по пересечению временным рядом нулевого уровня вверх или вниз (up zero-crossing и down zero-crossing). Оба метода дали очень близкие оценки периодов волн, поэтому на рис. 4б приведены результаты только одного из них (по пересечению вверх). Судя по рисунку, начальные моменты всех трех временных интервалов регистрации интенсивного волнения соответствуют условиям относительно коротких волн с периодами менее 6 с, которые затем становились длиннее. В целом, характерные периоды волн изменялись в диапазоне 6–14 с, в том числе резко, приводя к существенным изменениям параметра локальной безразмерной глубины от kh = 0.5 до kh = 1.7, как показано на рис. 4в (напомним, что оценка долгопериодных изменений глубины h составляет лишь примерно 20%). Здесь волновое число k рассчитано через дисперсионное соотношение для волн на глубине h, обращая теоретическую формулу (ω)k для циклической частоты ω = 2π/TZ :
. (1)
Штормовые волны, записанные в середине ноября, соответствовали условиям мелкой воды kh ≈ 0.6, как и бóльшая часть зарегистрированных волн, см. диаграмму в правой части рис. 4в. На диаграмме второй пик наиболее вероятных условий соответствует параметру безразмерной глубины kh ≈ 1.2. Условия относительно глубокой воды kh > 1.4 реализовывались кратковременно.
На рис. 4г, д построены две оценки нелинейности волн: первая определена как отношение половины значительной высоты к глубине HS /(2h), вторая – оценка средней крутизны волн kHS /2. «Мелководная» нелинейность волн во время шторма достигает значения HS /(2h) = 0.12, максимальная крутизна чуть менее kHS /2 = 0.1. Эти оценки соответствуют условиям задолго до порога опрокидывания регулярных волн [Holthuijsen, 2007]. Построенные распределения качественно похожи на данные для HS (рис. 4а), но последовательность на рис. 4д демонстрирует в том числе периоды регистрации крутых волн, слабо выделяющиеся на рис. 4а, г. Кроме того, на рис. 4д можно отметить более сильный перекос данных для штормового интервала: пик регистрации наиболее крутых волн находится ранее пика наиболее интенсивных волн (по параметру HS или отношению амплитуды волн к глубине HS /(2h)).
В наших работах [Кокорина и др., 2022, Слюняев и др., 2023a] на основе анализа данных измерений волн у о-ва Сахалин за несколько лет было показано, что распределения вероятностей высот интенсивных волн (H > HS) хорошо описываются теоретическим распределением Глуховского
(2)
учитывающим эффект конечной глубины через параметр нелинейности n; при большей степени нелинейности доля высоких волн уменьшается. В формуле (2) величина – средняя высота волн. В пределе большой глубины n → 0 зависимость (2) трансформируется в распределение Рэлея. Поведение эксцесса на рис. 4а согласуется с такими выводами: максимальное значение нелинейности приходится на период шторма, в это же время эксцесс испытывает заметное уменьшение.
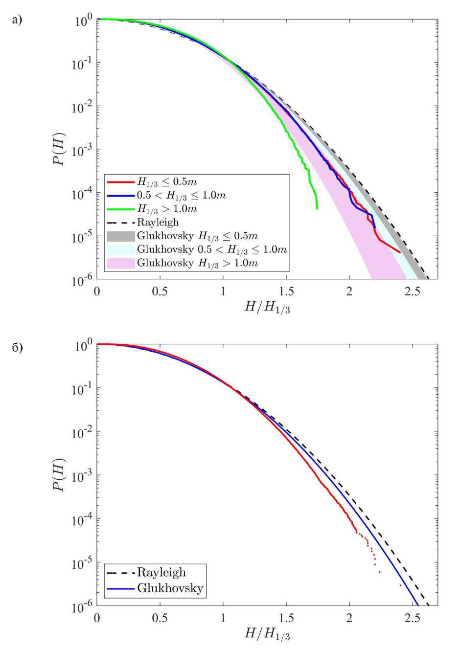
На рис. 5 построены распределения вероятностей превышения высот волн H по измерениям с антенны и теоретические распределения Рэлея и Глуховского. Метод определения высоты волны (пересечение нулевого уровня вниз или вверх) в данном случае не влияет на результат. Для построения теоретических зависимостей использовалось определение значительной высоты как среднего от трети максимально высоких волн в выборке, H1/3, аналогично работе [Слюняев и др., 2023a]; в пределе волн с гауссовой статистикой с узким спектром H1/3 ≈ 4.004σ и [Massel, 1996]. На рис. 5а вероятностное распределение построено для всего периода измерений. Высоты нормировались на локальные значения H1/3 в каждой 20-ти минутной выборке; параметр нелинейности n в распределения Глуховского (2) был рассчитан через усредненные значения локальной значительной высоты и локальной глубины. В отличие от результата анализа более длительных измерений в [Кокорина и др., 2022; Слюняев и др., 2023a], экспериментальная кривая по данным с антенны не совпадает с распределением Глуховского, располагаясь в области H/H1/3 > 1 существенно ниже теоретического распределения. Для H/H1/3 < 1 экспериментальная кривая находится выше теоретической, что отмечалось и в [Кокорина и др., 2022].
Рис. 5. Распределение вероятностей превышения высот волн H по всем данным измерений (а) и для трех диапазонов H1/3 (жирные линии) (б). Распределения Глуховского (2) на панели (б) построены заливкой для соответствующих диапазонов H1/3. Пунктирной линией построено теоретическое распределение Рэлея.
На рис. 5б приведены распределения вероятностей, построенные по данным из трех выборок, составленных по условию на величину значительной высоты: менее 0.5 м, от 0.5 м до 1 м и более 1 м. Экспериментальные распределения для двух выборок невысоких волн практически совпали, в то время как распределение для H1/3 ≥ 1 м (фактически – для штормовых волн в середине ноября) демонстрирует существенное отличие: для него вероятность высоких по сравнению с H1/3 волн значительно уменьшается, а вероятность волн небольшой высоты (порядка 0.5 H1/3) вырастает. Уменьшение вероятности возникновения высоких волн во время зарегистрированного шторма согласуется с поведением эксцесса на рис. 4а. Такое изменение распределения вероятностей для нелинейных волн на небольшой глубине качественно соответствует обсуждавшемуся выше распределению Глуховского. На рис. 5б заливкой разного цвета построены распределения Глуховского (2) для тех же трех диапазонов H1/3. Видно, что в области больших по сравнению с H1/3 волн экспериментальные данные находятся существенно ниже теоретического предсказания, как и в случае распределения для всего периода измерений на рис. 5а. Использование селекции данных измерений по признаку величины нелинейного параметра H1/3 /(2h) дало схожий результат. Таким образом, для данных с антенны количественного совпадения с распределением Глуховского не обнаружено.
4. Сопоставление данных с трех датчиков антенны
Поскольку расстояние между датчиками мало по сравнению с характерной длиной волны (для максимального значения безразмерной глубины kh = 1.7 и средней оценки глубины места h = 11.5 м длина волны более 40 м), то для статистических оценок можно считать, что они записывают одну и ту же последовательность волн. Три эквивалентные записи можно использовать для оценки точности измерений и устойчивости результата усреднения данных с каждого из приборов. Разброс значений ключевых параметров по результатам с разных датчиков в составе антенны можно видеть на рис. 4 – по степени отклонения зеленых символов от среднего по датчикам значения, построенного черной линией.
Разброс среднеквадратичных смещений σ по данным с трех приборов относительно их среднего значения приведен на рис. 6а. Каждая точка на графике отражает относительное отклонение значения для одного из приборов (разными цветами) от среднего в 20-минутной выборке. Видно систематическое расхождение значений на ~2% первые примерно 10 сут измерений, которое далее становится менее регулярным и к концу месяца измерений кажется полностью хаотичным в пределах до 10%, с наибольшими отклонениями, соответствующими датчику B.
Рис. 6. Разброс значений среднеквадратического отклонения (а) и эксцесса m4 (б) по измерениям с трех датчиков относительно среднего по датчикам.
Можно предположить, что среди рассматриваемых вероятностных характеристик наиболее чувствительным к появлению экстремальных волн должен быть высокий статистический момент – эксцесс. Разброс величин эксцесса m4 в 20-минутных выборках построен на рис. 6б. Видно, что в первые дни вариативность минимальна и может быть оценена величиной 2–3%. Разброс растет со временем, через 500 часов измерений достигая немногим более 10%. Отметим, что приход волн очень большой высоты в штормовой период 600–650 ч не приводит к сколько-нибудь заметному локальному усилению разброса значений m4.
Экспериментальные распределения вероятностей на рис. 5, построенные для трех разных датчиков, практически совпадают.
Для реконструкции направления распространения волн и их пространственного спектра важна синхронизация измеряющих приборов. Фактическая синхронность измерений была проверена с помощью отслеживания поведения во времени максимума корреляционной функции Rmn(τ)
(3)
для пары рядов данных ηm(t) и ηn(t) с датчиков m и n. Здесь интегрирование по интервалам в 20 мин выполнялось посредством суммирования соответствующих дискретных значений; задержки τ выбирались с той же дискретностью.
Пример поведения корреляционной функции в области вблизи ее максимума для датчиков A и B в первые три дня показан на рис. 7, где цвет соответствует значениям R(τ). Видны значительные (порядка секунды) моментальные сдвиги максимумов корреляционной функции, начинающиеся после 48 часов измерений, которые оказались проблемой технического характера (пропуск моментов измерений). Сопоставление данных, полученных с датчиков A и C, не выявило подобных ошибок синхронизации, из чего можно сделать вывод, что проблемным оказался только прибор B. В дальнейшем рассинхронизация датчика B нарастает и имеет менее регулярный характер, что ведет к невозможности использования данных с антенны для построения пространственных спектров волн. Потому для этой цели использованы измерения только за первые двое сут. Очевидно, что накопление относительного сдвига временных рядов с разных датчиков вносит вклад в различие оценок волновых характеристик по данным с трех приборов и может объяснять рост разброса значений, наблюдающийся на рис. 6.
Рис. 7. Эволюция корреляционной функции (3) для данных с датчиков A и B по 20-минутным интервалам в первые три дня измерений. Время измерений отложено по горизонтальной оси, по вертикальной оси – временная отстройка τ.
5. Метод реконструкции спектров направленных волн
Для определения длин волн и направления их движения в настоящей работе используется информация о задержках моментов прохода волны через датчики антенны, следуя известному подходу на основе представления в виде ряда Фурье (иногда называемому Fourier Directional Method, [Young, 1994; Donelan et al., 1996]). Нами использована минимальная конфигурация антенны в виде равностороннего треугольника (рис. 2) с длиной стороны ∆l. Метод предполагает, что все три датчика одномоментно регистрируют разные фазы волны смещения, что позволяет восстанавливать информацию о поверхностных волнах не короче чем ∆l (волновое число не более k = 4.2 рад/м). Для глубины h = 11.5 ± 2 м это соответствует частотной области не выше 1 Гц.
Смещение поверхности может быть представлено в виде суммы гармонических волн по набору частот ω и волновых векторов
, (4)
где вектор располагается в горизонтальной плоскости. Каждой частоте ωj (которые дискретны в силу конечности временного ряда) ставится в соответствие единственный набор значений спектральной амплитуды и волнового числа , определенного по задержке прихода волны в разные точки измерений.
Для любой пары точек измерений и разность фаз волновой поверхности ∆φm–n в произвольный момент времени t может быть записана в форме
∆φm–n = φm(xm, ym) – φn(xn, yn), (5)
где φm = ωt – kx xm – ky ym , φn = ωt – kx xn – ky yn
(здесь и далее опускаем нижний индекс j). Эта величина полагается равной разности комплексных фаз преобразований Фурье для сигналов ηm(t) и ηn(t) на данной частоте ω: ∆φm–n = arg(Fm(ω)) – arg(Fn(ω)). Для однозначности определения разности фазы ∆φm–n требуется выполнение упомянутого выше условия, что на разные датчики должна приходить одна и та же волна (тогда разность фаз (5) на датчиках не превышает 2π). Компоненты волнового вектора (kx, ky) для каждой ω находятся из решения системы двух алгебраических уравнений вида (5) с постоянными коэффициентами при неизвестных, задаваемыми координатами датчиков, и неоднородной частью, определяемой разностью фаз. В нашем случае использовались пары датчиков антенны A и B, а также A и C, тогда система уравнений в матричной форме принимает вид:
, (6)
а решение может быть записано с использованием обратной матрицы M:
. (7)
Для конфигурации антенны, приведенной на рис. 2, матрица M имеет вид
(8)
Полагается, что ось Ox направлена на восток, а ось Oy – на север (рис. 2). Для найденного таким образом волнового вектора определяется также длина и направление, задаваемое углом θ по отношению к оси Ox.
Для построения пространственных спектров использовались выборки данных длиной 512 с (количество точек в Фурье пространстве N = 212) в 3-часовых интервалах с перекрытием 50%. В результате, каждой дискретной частоте (разрешение по частоте 1/512 c ≈ 2 ⋅ 10–3 Гц) соответствует массив спектральных амплитуд с определенными проекциями волнового вектора, модулем волнового вектора и углом, которые накапливаются по дискретным интервалам значений (процедура биннинга). Таким образом строились спектры волновых чисел S(k), спектры направленных волн S(kx,ky), угловые спектры S(θ) и пространственно-временные спектры S(k,ω), которые рассматриваются далее. Все эти функции имеют смысл спектральных плотностей энергии.
6. Пространственно-временные спектры волн по результатам измерений
Примеры спектров S(k,ω), S(kx,ky) и S(k), построенные по трехчасовому отрезку данных, показаны на рис. 8. На распределении пространственно-временного спектра (рис. 8а) линией построена теоретическая кривая дисперсионной зависимости для линейных волн (1) для усредненной глубины h = 11.5 м. Спектральная энергия инструментальных данных на рис. 8а расположена значительно ниже теоретической кривой и имеет почти линейный характер зависимости от волнового числа. Пространственный спектр направленных волн S(kx,ky) (рис. 8б) вытянут вдоль одного направления (на северо-запад) с небольшим разбросом по направлениям. Спектр волновых чисел (рис. 8в) сосредоточен в области нереалистично коротких волн k = 0.15…0.3 рад/м (длины волн 20–40 м).
Рис. 8. Спектры волн по данным инструментальных измерений, рассчитанные по 3-часовому интервалу 20 октября 2022 г.: а) S(k,ω); линией построена теоретическая дисперсионная зависимость (1); б) S(kx,ky); в) S(k). На панелях (а) и (б) цветом построены десятичные логарифмы нормированных величин: log10(S / max(S)).
Естественной причиной сильного изменения дисперсионной зависимости может быть действие течения. Для случая однородного фонового течения U выражение (1) модифицируется к виду
, (9)
так что частота волн, распространяющихся под малым углом к течению, может значительно изменяться в результате эффекта Доплера. Недоучет фонового течения при реконструкции пространственного спектра может приводить к неверной оценке длины доминирующей волны и уменьшению разброса направлений волн. Однако для существенного влияния на дисперсионное соотношение для волн с характерной скоростью (gh)1/2 ≈ 10 м/с требуется нереалистично сильное для места измерений течение.
Другой причиной несоответствия реконструированного дисперсионного соотношения теоретическому может быть несинхронность измерений, когда запись на датчиках происходит с временной задержкой. Отличить естественный эффект течения от технической проблемы измерений без дополнительных данных не представляется возможным. Как было описано в разделе 4, в результате анализа поведения корреляционных функций было обнаружено накопление рассинхронизации записей данных из-за технической проблемы датчика B, потому для построения пространственных спектров использован интервал времени лишь в течение первых двух суток измерений. В то же время, наблюдаемое положение максимума корреляционной функции на рис. 7 уже в первые 48 ч выходит за пределы ожидаемого. При оценке скорости распространения длинных волн 10 м/с расстояние между двумя датчиками антенны волна проходит за 0.14 с при дискретности временных последовательностей данных 0.125 с. На рис. 7 хорошо видно, что к концу вторых суток измерений максимум корреляционной функции смещается от нуля (показан на рисунке пунктирной линией) на чрезмерно большую величину порядка 1 с. По этой причине при построении пространственных спектров, обсуждаемых ниже, для записи с датчика B была введена корректировка начала отсчета времени и постоянная поправка к частоте опроса датчика. Поправочные константы выбирались из принципа наилучшего соответствия пространственно-временного спектра S(k,ω) теоретической зависимости (1) в начальный и конечный моменты используемой 48-часовой записи. Данные с датчика B для скорректированной частоты прибора были пересчитаны для частоты 8 Гц с использованием кубической сплайн-интерполяции.
Пространственно-временные спектры волн, построенные по скорректированным данным, приведены на рис. 9 для четырех 3-часовых интервалов в первые двое суток измерений. Распределение спектральной энергии особенно хорошо соответствует теоретической дисперсионной зависимости в первые сутки (рис. 9а,б). В конце вторых суток наблюдается существенно отклонение от теоретического распределения, которое не удается заметно уменьшить при использовании другого выбора смещения отсчета времени для датчика B. Возможно, некоторую роль в отклонении данных от теоретической кривой для дисперсионного соотношения сыграли и течения, которые не измерялись независимо.
Рис. 9. Пространственно-временные спектры S(k,ω) по скорректированным данным для четырех 3-часовых интервалов времен в первые двое суток измерений. Цветом построены десятичные логарифмы нормированных величин, log10(S / max(S)); линией построена теоретическая дисперсионная зависимость (1).
Отметим, что в результате корректировки временного ряда с датчика B одновременно с лучшим совпадением измерений с дисперсионной зависимостью (1) наблюдается бóльшая относительная ширина угловых спектров S(θ), которые обсуждаются вместе с картиной пространственных спектров направленных волн в следующем разделе.
Кроме областей энергии с временными и пространственными масштабами, соответствующими приходящим с моря ветровым волнам, на рис. 9 выделяются низкочастотные области, содержащие заметную часть энергии (особенно на рис. 9а,б). Увеличение в данных обработки доли энергии, приходящейся на волновые движения больших масштабов, может объясняться нарушением условий применимости гидростатической теории. В рамках линейной теории с учетом дисперсии характерный масштаб затухания волны с глубиной соответствует ее длине, потому в записи донного давления длинные волны оказываются эффективно усиленными по сравнению с короткими. Проявлений связанных нелинейных волновых компонент, не подчиняющихся дисперсионному соотношению, на пространственно-временных спектрах нами не обнаружено, что вполне ожидаемо, учитывая малую нелинейность волн в первые двое суток измерений и близость условий к мелководному пределу.
Диаграммы на рис. 10 приводят эволюцию частотного спектра волн, а также спектра волновых чисел (для скорректированных данных) в первые двое суток измерений. Цветом построены спектральные амплитуды в линейном масштабе. На частотно-временном спектре (рис. 10а) можно отметить участки с относительно интенсивными пиками, соответствующими периодам волн ок. 10 с (на временах 5 ч, 14 ч, 28 ч). Также присутствуют интервалы времен, характеризуемые несколько более низкими частотами. Видно уменьшение ширины частотного спектра к концу вторых суток. Картина эволюции спектра волновых чисел S(k) (рис. 10б) в целом согласуется с эволюцией частотного спектра, но выглядит менее четко. Заметен медленный сдвиг пика спектра в область коротких волн, но в силу произведенной коррекции записи на датчике B этот эффект может быть артефактом обработки.
Рис. 10. Эволюция спектров измеренных волн по частотам (а) и волновым числам (б) в первые двое суток измерений (цветом построены спектральные амплитуды в линейном масштабе).
7. Угловые спектры измеренных волн
По результатам обработки данных первых двух суток измерений были построены угловые распределения спектральной плотности S(θ), которые оказались с выраженным пиком, соответствующим доминирующему направлению движения волн, см. примеры на рис. 11 (синяя линия). По этим распределениям было определено направление распространения волн как функция времени, а также характерная ширина распределений S(θ). Экспериментальные распределения S(θ) сопоставлялись с теоретической параметризацией cos2:
(10)
Функция угла D(χ) описывает распределение направлений распространения волн относительно доминирующего направления. Для экспериментальных данных направление распространения волн θmean определялось как «центр масс» периодической функции S(θ), а характерная ширина углового спектра ∆θcos2 определялась по формуле
(11)
которая следует непосредственно из (10). Изменение во времени экспериментальных значений величин θmean и ∆θcos2 приведено на рис. 12а и рис. 12б соответственно. Эти величины использованы для сопоставления экспериментальных данных с теоретическим распределением (10) на рис. 11 (красная линия).
Рис. 11. Угловые распределения спектра волн по данным измерений (синяя линия) и параметризация (10) (красная линия). Значения характерных ширин ∆θcos2 указаны на панелях.
Как следует из рис. 12а, за рассматриваемые 48 часов доминирующее направление распространения волн оставалось практически неизменным (на юго-запад, что согласуется с расположением береговой линии в месте измерений, см. рис. 1). Ширина углового спектра демонстрирует бóльшую изменчивость (рис. 12б). За двое суток наблюдений она в целом убывает, но при этом присутствуют значительные осцилляции в интервале значений углов от 50° до 90°. Существенное сужение разброса по направлениям распространения волн наблюдается во временные интервалы формирования более интенсивных пиков в частотно-временном спектре на рис. 10а. Выбор примеров распределений S(θ) на рис. 11 отражает весь диапазон характерных ширин угловых спектров (определенные по формуле (11) значения ∆θcos2 указаны на панелях рисунка). Видно, что во всех случаях параметризация (10) выглядит хорошо соответствующей натурным данным.
Рис. 12. Доминирующее направление волн (а) и характерная ширина углового спектра ∆θcos2 (б) в течение двух суток измерений.
Больше информации о распределении волновой энергии дают спектры направленных волн, которые построены на рис. 13. На всех примерах распределений S(k,θ) наблюдалась одна волновая система с доминирующим направлением и периодом. Выраженные энергетические пятна в области очень длинных волн (как на рис. 13а) могут быть связаны с нарушением гидростатического приближения, как обсуждалось в разделе 6.
Рис. 13. Примеры спектров направленных волн S(k,θ) для измерений в первые двое сут.
8. Независимая оценка локальной глубины точки измерения по данным частотного и пространственного спектров
Имея оценки ширин частотного и пространственного спектров волн, можно попытаться оценить локальную глубину точки измерения. Действительно, дисперсионное соотношение (1) связывает частотный спектр и спектр волновых чисел, и эта связь зависит от безразмерного параметра kh. Определяя относительные ширины частотного спектра и спектра волновых чисел через абсолютные величины как δω =∆ω/ω и δk =∆k/k, моментально следует аналитическая формула на отношение ширин:
. (12)
Здесь и – характерные фазовая и групповая скорости, соответственно, определяемые с помощью (1). Для справедливости соотношения (12) требуется относительная узость спектров. Величина δω /δk как функция kh монотонно убывает от 1 в пределе мелкой воды до 0.5 в глубоководном пределе. Эта зависимость плавная в интервале , и в этом интервале безразмерных глубин может быть использована для определения kh по данному отношению δω /δk после обращения связи (12), см. рис. 14.
Рис. 14. Зависимость kh от δω /δk согласно соотношению (12).
Для оценки относительных ширин спектров со спектральной переменной s используем формулы на основе среднеквадратического отклонения, δs:
, . (13)
Здесь – среднее значение спектральной переменной.
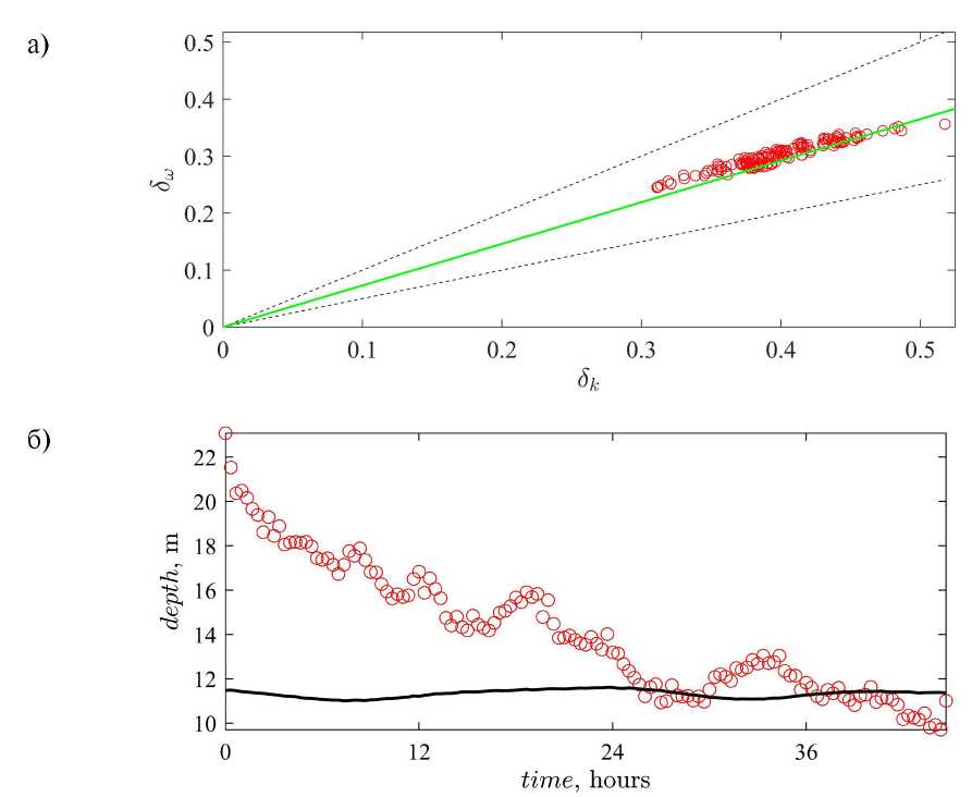
Относительные ширины спектров для 3-часовых выборок данных в первые двое суток измерений построены символами на рис. 15а. Видно, что они довольно хорошо ложатся на прямую δω = 0.73 δk (показана сплошной зеленой линией), соответствующую безразмерной глубине kh = 1.16. Судя по рис. 4в, в первые двое сут измерений параметр kh, определенный по исходным данным, постепенно рос от 0.6 до 0.8. Для сопоставления на рис. 15а построены пунктирными линиями пределы глубокой (сверху) и мелкой (снизу) воды.
Рис. 15. (а): Соотношение относительных ширин частотного спектра и спектра волновых чисел по данным измерений (значки). Пунктирные линии соответствуют условиям δω = δk (выше) и δω = 1/2 δk (ниже). Сплошная линия: δω = 0.73 δk. (б): Оценка глубины в точке измерения hsp по формуле (12) (символы) и оценка глубины h через среднее в 20-минутных интервалах записи (сплошная линия).
Оценка абсолютного значения глубины для определенных вышеописанным способом значений kh и построена символами на рис. 15б как функция времени. Там же черной линией построена глубина h, определенная через среднее смещение в 20-минутных выборках. Результат оценки можно назвать удовлетворительным только во вторые сутки. В это время ширина спектра как по частоте, так и по волновым числам (а также по углам, см. рис. 12б) оказывается ýже, что благоприятно для выполнения соотношения (12).
9. Заключение
В настоящей работе выполнено исследование режимов ветрового волнения в заливе Мордвинова Охотского моря у берега о-ва Сахалин на основе данных измерений вариаций донного давления на глубине ок. 11.5 м антенной из трех датчиков. Массив данных соответствует месяцу непрерывных измерений с частотой 8 Гц. Для реконструкции смещения поверхности использована гидростатическая теория. Большую часть времени измерений значительная высота волн была порядка 20 см; наблюдался один эпизод штормового волнения со значительной высотой до 3 м. Отмечено, что во время шторма уменьшается вероятность возникновения высоких (по сравнению со значительной высотой) волн, что следует как из поведения четвертого статистического момента (эксцесса), так и из построенных распределений вероятностей высот волн. Последние качественно согласуются с теоретическим распределением Глуховского, но демонстрируют существенное количественное расхождение. Этот вывод отличается от результата обработки более длительных измерений одиночными датчиками такой же конструкции в этом же районе в 2012–2015 гг. [Кокорина и др., 2022; Слюняев и др., 2023], где для данных в безлёдный период было показано отличное количественное совпадение с распределением Глуховского в области волн большой высоты.
Разброс значений второго и четвертого статистических моментов, определенных по данным с разных датчиков в составе антенны, в начальный период измерений оценивается величиной 2–3%. Далее разброс растет, что может быть связано с ростом задержки записи данных одним из датчиков. Для снижения негативного эффекта рассинхронизации измерений пространственные спектры строились только по данным за первые двое суток измерений с корректировкой временного ряда, полученного с этого датчика.
Временные последовательности данных с распределенной антенны использованы для реконструкции пространственного спектра направленных волн и связанных с ним характеристик, включая пространственно-временные спектры и угловые спектры. По-видимому, в плане схемы измерений такого рода исследования ветровых поверхностных волн донными станциями проводятся впервые. В течение двух суток измерений синхронизованной антенной наблюдались распределения угловых спектров, очень близкие к популярной параметризации (которая используется, в частности, в наших численных расчетах больших ансамблей нелинейных нерегулярных волн [Слюняев и Кокорина, 2020]) с характерной шириной от 50° до 90°.
Соотношение между ширинами спектра частот и волновых чисел предложено использовать для оценки локальной глубины точки измерения, что теоретически должно позволять определять параметр безразмерной глубины kh в диапазоне значений . Этот метод применен к данным натурных измерений. Восстановленное таким образом значение глубины оказалось непостоянным и может значительно (до 2 раз) отличаться от действительного. Однако большая ошибка может быть следствием недостаточно хорошей синхронизации датчиков и малой интенсивности волн. Для заключения о точности восстановления глубины в точке измерений таким методом требуется дополнительное исследование.
Благодарности
Исследование поддержано проектом Российского научного фонда № 22-17-00153. Авторы благодарят А. В. Ермошкина за предоставленный код построения пространственного спектра волн по данным измерений в трех точках пространства и Д. П. Ковалева за помощь в нахождении погодных карт.
About the authors
A. V. Kokorina
Federal Research Center Gaponov-Grekhov Institute of Applied Physics of the Russian Academy of Sciences
Author for correspondence.
Email: a.kokorina@ipfran.ru
Russian Federation, 46 Ul'yanov Street, Nizhny Novgorod, 603950
A. V. Slunyaev
Federal Research Center Gaponov-Grekhov Institute of Applied Physics of the Russian Academy of Sciences; National Research University “Higher School of Economics”; Il'ichev Pacific Oceanological Institute Far Eastern Branch Russian Academy of Sciences
Email: a.kokorina@ipfran.ru
Russian Federation, 46 Ul'yanov Street, Nizhny Novgorod, 603950; 25/12 Bolshaya Pecherskaya street, Nizhny Novgorod, 603155; 43 Baltiyskaya Street, Vladivostok, 690041
A. I. Zaitsev
Federal Research Center Gaponov-Grekhov Institute of Applied Physics of the Russian Academy of Sciences; Special Research Bureau for Automation of Marine Researches, Far East Branch, Russian Academy of Sciences
Email: a.kokorina@ipfran.ru
Russian Federation, 46 Ul'yanov Street, Nizhny Novgorod, 603950; 25 Gorky Street, Yuzhno-Sakhalinsk, 693023
R. V. Leonenkov
Special Research Bureau for Automation of Marine Researches, Far East Branch, Russian Academy of Sciences
Email: a.kokorina@ipfran.ru
Russian Federation, 25 Gorky Street, Yuzhno-Sakhalinsk, 693023
References
- Давидан И.Н., Лопатухин Л.И., Рожков В.А. Ветровое волнение как вероятностный гидродинамический процесс. Л.: Гидрометеоиздат, 1978. 256 c.
- Зайцев А.И., Малашенко А.Е., Пелиновский Е.Н. Ано-мально большие волны вблизи южного побережья о. Сахалин // Фундаментальная и прикладная гидрофизика. 2011. Т. 4. С. 35–42.
- Кокорина А.В., Слюняев А.В., Зайцев А.И., Диденкулова Е.Г., Москвитин А.А., Диденкулова И.И., Пелиновский Е.Н. Анализ данных долговременных измерений волн у о-ва Сахалин // Экологические системы и приборы. 2022. № 12, С. 45–54.
- Кузнецов К.И., Зайцев А.И., Костенко И.С., Куркин А.А., Пелиновский Е.Н. Наблюдения волн-убийц в прибрежной зоне о. Сахалин // Экологические системы и приборы. 2014. № 2. С. 33–39.
- Лопатухин Л.И. Ветровое волнение: Учеб. пособие. 2-е изд., доп. СПб.: ВВМ, 2012. 165 с.
- Слюняев А.В. Вклады компонент волн на поверхности глубокой воды в распределения вероятностей аномально высоких волн по результатам прямого численного моделирования уравнений Эйлера // Изв. РАН. Физика атмосферы и океана. 2023. Т. 59. № 6. 793–814.
- Слюняев А.В., Кокорина А.В. Численное моделирование «волн-убийц» на морской поверхности в рамках потенциальных уравнений Эйлера. Изв. РАН. Физика атмосферы и океана // 2020. Т. 56. № 2. С. 210–223.
- Слюняев А.В., Кокорина А.В., Зайцев А.И., Диденкулова Е.Г., Москвитин А.А., Диденкулов О.И., Пелиновский Е.Н. Зависимость вероятностных распре-делений высот волн от физических параметров по результатам измерений у о-ва Сахалин // Фундаментальная и прикладная гидрофизика. 2023a. Т. 16. № 3. С. 18–29.
- Слюняев А.В., Пелиновский Д.Е., Пелиновский Е.Н. Морские волны-убийцы: наблюдения, физика и математика // Успехи физических наук. 2023b. Т. 193. № 2. С. 155–181.
- Babanin A. Breaking and dissipation of ocean surface waves. Cambridge Univ. Press. 2011. 463 p.
- Chalikov D. Statistical Properties of 3-D Waves Simulated with 2-D Phase-Resolving Model // Phys. Wave Phen. 2023. V. 31. P. 114–122.
- Donelan M.A., Drennan W.M., and Magnusson A.K. Nonstationary analysis of the directional properties of propagating waves // Journal of Physical Oceanography. 1996. V. 26. P. 1901–1914.
- Ducrozet G., Bonnefoy F., Le Touzé D., Ferrant P. HOS-ocean: open-source solver for nonlinear waves in open ocean based on High-Order Spectral Method // Comput. Phys. Commun. 2016. V. 203. P. 245–254.
- Japan Meteorological Agency: https://www.jma.go.jp/
- Holthuijsen L.H. Waves in oceanic and coastal waters. Cambridge Univ. Press, 2007. 367 p.
- Kirezci C., Babanin A.V., Chalikov D. Probabilistic assessment of rogue wave occurrence in directional wave fields // Ocean Dynamics. 2021. V. 71. P. 1141–1166.
- Long C.E. and Oltman-Shay J.M. Directional characteristics of waves in shallow water // Engineer Waterways Experiment Station. 1991. Vol. 91. No. 1.
- Long C.E. Storm Evolution of Directional Seas in Shallow Water. Vicksburg, Mississippi // Coastal Engineering Research Center, Technical Report CERC-94-2. 1994.
- Massel S.R. Ocean surface waves: their physics and prediction. Singapore: World Scientifc Publ, 1996. 491 p.
- Montoya L.H., Dally W.R. Analysis of a 10-Year Record of Nearshore Directional Wave Spectra and Implications to Littoral Processes Research and Engineering Practice // J. of Coastal Research. 2016. V. 32. P. 1162–1173.
- Onorato M., Waseda T., Toffoli A., Cavaleri L., Gramstad O., Janssen P.A., Kinoshita T., Monbaliu J., Mori N., Osborne A.R., Serio M., Stansberg C.T., Tamura H., Trulsen K. Statistical properties of directional ocean waves: the role of the modulational instability in the formation of extreme events // Phys. Rev. Lett. 2009. V. 102. Art. 114502.
- Squire V.A., Kovalev D.P., Kovalev P.D. Aspects of surface wave propagation with and with-out sea ice on the south-eastern shelf of Sakhalin Island // Estuarine, Coastal and Shelf Science. 2021.V. 251. P. 107227.
- Wang J., Ma Q., Yan S. and Liang B. Modeling Crossing Random Seas by Fully Non-Linear Numerical Simulations // Front. Phys. 2021. 9:593394
- WeatherArchive.ru: https://weatherarchive.ru/Temperature/Yuzhno-Sakhalinsk/October-2022
- https://weatherarchive.ru/Temperature/Yuzhno-Sakhalinsk/November-2022
- Xiao W., Liu Y., Wu G., Yue D.K.P. Rogue wave occurrence and dynamics by direct simulations of nonlinear wave-field evolution // J. Fluid Mech. 2013. V. 720. P. 357–392.
- Young I.R. On measurement of directional wave spectra // Ocean Res. 1994. V.16. P. 283.
Supplementary files


















