Study of wind and wave parameters at the Gorky reservoir: field measurements and numerical simulation
- Authors: Kuznetsova A.M.1, Baydakov G.A.1,2, Troitskaya Y.I.1,2
-
Affiliations:
- Gaponov-Grekhov Institute of Applied Physics of the Russian Academy of Sciences
- Obukhov Institute of Atmospheric Physics of the Russian Academy of Sciences
- Issue: Vol 60, No 3 (2024)
- Pages: 357-372
- Section: Articles
- URL: https://bakhtiniada.ru/0002-3515/article/view/274365
- DOI: https://doi.org/10.31857/S0002351524030081
- EDN: https://elibrary.ru/JHTAEK
- ID: 274365
Cite item
Full Text
Abstract
The paper provides an overview of a series of articles aimed at creating a regional model based on the WAVEWATCH III spectral wave model adapted to the conditions of an inland water body using the WRF atmospheric model. Adaptation and verification of the models was carried out on the basis of the results of a series of field experiments to study the wind-wave regime of the Gorky reservoir performed in 2012–2019 using an autonomous buoy station based on the Froude oceanographic buoy. Within the framework of the WAVEWATCH III model, an analysis was made of the influence on the simulation result and subsequent adjustment of the parameters of the WAM 3 wind input parameterization, as well as the scheme for the approximate calculation of the Boltzmann integral Discrete Interaction Approximation (DIA). Within the framework of the WRF model, calculations were carried out using various parameterizations of the planetary boundary layer and the near-surface layer of the atmosphere, and the advantage of using the Large Eddy Simulation method was shown. In addition to the review, the paper presents preliminary results of coupling the wave and atmospheric models, which makes it possible to adjust the interchange of parameters between the models at each time step.
Full Text
ВВЕДЕНИЕ
Комплексное изучение ветроволнового режима водохранилищ и внутренних водоемов является важной и актуальной задачей, поскольку ветровое волнение оказывает существенное влияние на хозяйственную деятельность. Волнение и ветровой режим внутренних водоемов являются важнейшими факторами, определяющими эрозию берегов, их учет необходим при обеспечении безопасности судоходства, особенно маломерных судов. Малые ветровые разгоны водохранилищ характеризуются более высокими по сравнению с условиями открытых морей и океанов значениями параметра возраста волнения. К особенностям волн на малых разгонах относится более интенсивная ветровая накачка, пропорциональная отношению динамической скорости ветра к фазовой скорости волны. Кроме того, более крутые волны могут приводить к повышению значимости нелинейных эффектов при численном моделировании. При этом в силу локальности рассматриваемой задачи натурные измерения на внутренних водоемах малых и средних размеров практически не проводятся. В качестве редких примеров можно привести результаты экспериментов [Babanin et al., 2008; Ataktürk et al., 1999].
Для более детального исследования этих процессов был реализован цикл натурных исследований ветроволного режима водохранилищ на примере Горьковского водохранилища. Натурные исследования проводились на протяжении нескольких лет с 2012 по 2019 гг. [Kuznetsova et al., 2016a; Baydakov et al., 2018]. Обобщение полученных результатов позволило построить параметризацию коэффициента аэродинамического сопротивления поверхностных волн на малых разгонах [Kuznetsova et al., 2016b].
Дальнейшим шагом стала имплементация полученных результатов в современную численную модель поверхностного волнения WAVEWATCH III. Поскольку предшествующие прогнозы волнения на озерах и водохранилищах опирались лишь на эмпирические модели [Поддубный и др., 2002; Сутырина, 2011] и соотношения, которые были основаны на усредненных характеристиках, то они не могли предсказать важные для многих задач оперативной метеорологии экстремальные условия. Следовательно, был необходим переход к использованию современных численных прогнозных волновых моделей. Попытки простого использования глобальных моделей для локального прогноза на более мелкой сетке без специальной адаптации обычно приводят к результатам, сильно отличающимся от данных измерений, так как волновые модели применяются, прежде всего, к условиям развитого волнения морей и океанов. Поэтому был выполнен ряд шагов по адаптации модели WAVEWATCH III к условиям малых разгонов волн. Это было реализовано, во-первых, подстройкой параметризации волновой накачки ветром за счет использования нового, предложенного в результате серии натурных измерений, коэффициента аэродинамического сопротивления CD [Kuznetsova et al., 2016b]. Во-вторых, была проведена подстройка параметризации четырехволнового нелинейного взаимодействия Discrete Interaction Parameterization (DIA) [Kuznetsova et al., 2020].
Последующие исследования касались главным образом способа задания ветра, т. н. атмосферного форсинга (накачки ветром). Обычно при моделировании ветровых волн на поверхности морей и океанов для задания ветровой накачки используют данные реанализа. На акваториях внутренних водоемов средних размеров этот подход приводит к большим погрешностям из-за слишком низкого пространственного разрешения. Поэтому было предложено использование атмосферной модели Weather Research & Forecasting (WRF) [Skamarock et al., 2019], расчеты в рамках которой существенно повысили пространственное разрешение используемых данных о ветре [Kuznetsova et al., 2016c; Kuznetsova et al., 2019].
Помимо обзора выполненных работ по созданию адаптированной под условия внутреннего водоема волновой модели с заданием ветра высокого разрешения на примере Горьковского водохранилища, в работе приведены новые результаты. В качестве важного этапа развития описания сложной системы взаимодействия на границе атмосферы и гидросферы приведены предварительные результаты объединения волновой и атмосферной моделей посредством программы-связки (а. яз. “coupler”), позволяющей настроить взаимообмен параметрами между моделями на каждом шаге по времени. Подобные работы ведутся, например, [Varlas et al., 2018], однако особенность и новизна настоящей работы заключается в создании объединенной самосогласованной модели применительно к условиям внутреннего водоема, водохранилища [Kuznetsova et al., 2018; Loktev et al., 2021].
НАТУРНЫЙ ЭКСПЕРИМЕНТ
В данном разделе будет приведено краткое изложение результатов серии натурных измерений на акватории входящего в Волжский каскад Горьковского водохранилища (рис. 1а) в летние сезоны 2014–2019 гг. Глубина водохранилища составляет 4–20 м, глубина в области измерений – 9–12 м. Водохранилище имеет вытянутую форму (протяженность около 85 км, ширина 6–10 км), что обеспечивает в его южной части широкий диапазон значений разгона волн в зависимости от направления ветра. Близость береговой линии и малая ширина водохранилища обуславливают две важные особенности воздушного потока в этих условиях. Первая – это постепенная трансформация профиля скорости ветра при переходе с суши на воду, вторая – сильная изменчивость ветра во времени. Все это приводит к тому, что динамические характеристики воздушного потока, непосредственно взаимодействующего с водной поверхностью, отличаются от измеряемых на удалении от нее, что необходимо учитывать при постановке эксперимента и дальнейшем анализе профиля скорости ветра. В немногих работах, посвященных исследованию ветроволновой обстановки на водоемах средних размеров, таких как [Babanin et al., 2008; Ataktürk et al., 1999], эти особенности не принимались во внимание.
Рис. 1. (а) Общий вид Горьковского водохранилища. Светлым показана область проведения экспериментов. (б) Распределение наблюдаемых в эксперименте значений безразмерного разгона волн (сверху) и обратного возраста волнения (снизу)
Для решения данной проблемы была разработана и использована автономная буйковая станция на базе океанографической вехи Фруда. Ее особенность заключается в том, что кроме четырех ультразвуковых датчиков скорости, расположенных на мачте на высотах 0.75, 1.25, 2.2, 5.3 м, использовался пятый датчик (высота измерения около 0.1 м), который располагался на отдельном поплавке, соединенном с вехой и отслеживающем поверхность воды. Данная схема измерений позволяет исследовать профиль скорости ветра и интерполировать его на произвольные высоты, а также, используя градиентный метод, восстанавливать статистические параметры турбулентного пограничного слоя, такие как турбулентный поток импульса и коэффициент аэродинамического сопротивления водной поверхности. Такая конструкция измерительной установки соответствует структуре воздушного потока вблизи взволнованной поверхности воды, где функция тока в воздушной среде может быть представлена в виде суммы средней и волновой составляющих [Brooke, 1959], а волновая составляющая экспоненциально спадает с высотой и должна быть учтена только на высотах порядка амплитуды волны. При этом нижний датчик не находился в волновом пограничном слое [Belcher, 1993], оценка которого в условиях эксперимента дает величину порядка 1 мм. Также веха была оборудована датчиками температуры воды и воздуха и антенной струнных волнографов, позволяющей восстанавливать пространственно-временные спектры волнения в интервале волновых чисел от 0.04 рад/м до 50 рад/м.
Нужно отметить, что в Горьковском водохранилище присутствует течение со скоростью V ≈ 0.1 м/с. При этом измерения проводились в фиксированной точке при помощи заякоренной вехи, что может приводить к погрешности при измерении частоты волнения. Однако оценки показывают, что для характерных длин волн λ = 2–8 м скорость дрейфового течения составляет 3–6% от фазовой скорости волны. Таким образом, отличие наблюдаемой частоты волнения от частоты, соответствующей дисперсионному уравнению, не превышает 6% в случае слабого ветра вдоль основного течения водохранилища (направление около 0 или 180 градусов). Поскольку основной массив экспериментальных данных был получен при направлениях ветра в интервале от 225 до 315 градусов, то вклад течения в измеряемую частоту был ещё меньше и с учетом нестабильности ветрового режима не превышал погрешности измерения. Более подробно постановка и результаты серии экспериментов описаны в работах [Kuznetsova et al., 2016a, b; Baydakov et al., 2018].
На диаграммах рис. 1б приведены значения безразмерного разгона X = Lg/U102 и обратного возраста волнения Ω = U10/cp при наблюдаемых в эксперименте скоростях ветра; здесь L – разгон волн в метрах, g – гравитационная постоянная, U10 – скорость ветра на стандартной метеорологической высоте 10 м, cp – фазовая скорость, соответствующая пику спектра.
Зависимость значений обратного возраста волнения от безразмерного разгона, наблюдаемых в эксперименте, приведена на рис. 2. Волны, обладающие короткими разгонами (X < 20000), находятся в левом верхнем квадрате. По данным наблюдений была построена аппроксимация (“best fit”):
, (1)
Рис. 2. Зависимость параметра возраста волнения от безразмерного разгона, наблюдаемая в эксперименте. 1 – данные эксперимента, 2 – аппроксимация (1) по наблюдаемым данным, 3 – аппроксимация (2) [Hasselmann, 1980]
которая в приведенном интервале параметров практически не отличается от аппроксимации, полученной в эксперименте JONSWAP [Hasselmann, 1980] в океанских условиях:
. (2)
Одновременное измерение характеристик волнения и ветра легло в основу адаптации модели WAVEWATCH III к условиям водоемов. Была определена зависимость коэффициента аэродинамического сопротивления водной поверхности CD от скорости ветра, приведенной к стандартной метеорологической высоте 10 м U10. Полученные результаты были аппроксимированы простой аналитической зависимостью, и предложена параметризация:
, (3)
где размерный вектор-параметр (a1, a2, a3) принимает значения (0.0019 м/с, 0.004, 0.00067 (м/с)–1). Необходимо отметить, что при скоростях ветра U10 больше 3–4 м/с полученная зависимость лежит ниже известных океанических, например, COARE [Fairall et al., 2003]. Таким образом, хотя изменение периода и амплитуды энергонесущих волн на коротких разгонах происходит быстрее по сравнению с условиями открытого океана, но абсолютные значения потока импульса оказываются ниже в силу меньшей общей шероховатости водной поверхности.
ЧИСЛЕННОЕ МОДЕЛИРОВАНИЕ ПОВЕРХНОСТНОГО ВОЛНЕНИЯ
Моделирование волнения на Горьковском водохранилище осуществлялось при помощи модели WAVEWATCH III (WW3) [WW3DG, 2016]. Для описания водоема использовалась топографическая сетка Горьковского водохранилища размерностью 72 × 108 с шагом 0.00833° (что соответствует примерно 800 × 900 м для рассматриваемых широт), которая была взята из данных NOAA “Global Land One-kilometer Base Elevation (GLOBE)” [https://www.ngdc.noaa.gov/mgg/topo/globe.html]. В связи с отсутствием надежных батиметрических данных по Горьковскому водохранилищу, находящихся в свободном доступе, а также с учетом того, что навигационные карты показывают, что глубины водохранилища достаточно большие, было выбрано приближение глубокой воды. Кроме того, в натурных экспериментах не наблюдались волны с длиной более 4.5 м, в связи с чем в расчетах не учитывался рельеф дна, а глубина везде была выбрана равной 9 м.
Диапазон частот был изменен в соответствии с наблюдаемым в эксперименте диапазоном от 0.2 Гц до ≈ 3 Гц, который при моделировании дробился на 56 частот и задавался логарифмической формулой для роста частоты , где инкремент был установлен δ = 1.05; было рассмотрено 55 угловых направлений. На поверхности инициировалось начальное возмущение, которое развивалось под действием ветра. На этапе подстройки модели к условиям внутреннего водоема величина и направление ветра предполагались однородными над всей акваторией водохранилища и были использованы данные натурных измерений. Использование данных реанализа и применения атмосферной модели, позволяющие учитывать пространственную изменчивость, будут приведены в разделе “Задание ветровой накачки при помощи атмосферной модели”. Расчеты проводились на кластере ИПФРАН с подключением опции параллельного счета MPI.
Поскольку для ветра над водохранилищем характерна сильная изменчивость, то усреднение скорости ветра в эксперименте производилось на интервале 15 мин. Таким образом, счет проводился с обновляющимися каждые 15 мин входными данными, измеренными в натурном эксперименте: модуль и направление ветра на высоте 10 м, разность температур вода–воздух. Сравнение производилось для следующих выходных данных: одномерные спектры возвышений, значительные высоты волн, средний период волнения.
Как в модели, так и в эксперименте расчет значительной высоты волн HS производился по формуле:
. (4)
Средний период Tr вычислялся по формуле:
. (5)
Здесь mn – это n-ый момент плотности спектра возвышений S(f), определяемый по формуле:
. (6)
Все данные были получены в точке, соответствующей точке наблюдений, и были усреднены в промежутке 15 мин для соответствия аналогично усредненным данным натурного эксперимента.
Модель WW3 основана на численном решении уравнения Хассельмана для спектральной плотности волнового действия N (k, θ; x, t).
. (7)
Левая часть уравнения описывает эффекты, связанные с распространением волн. В случае приближения глубокой воды в правую часть входят 4-волновое взаимодействие Snl, нарастание волн под действием ветра Sin и диссипация Sdis, обусловленная обрушением волн; σ обозначает круговую частоту. Для учета особенностей коротких разгонов волн подстройка волновой модели была осуществлена в два этапа: подстройка ветровой накачки Sin и параметризации 4-волнового взаимодействия Snl.
Прежде всего, было проведено сравнение некоторых используемых в WW3 параметризаций ветровой накачки: WAM 3 [Snyder et al., 1981], Tolman & Chalikov [Tolman, 1996], WAM 4 [Gunther et al., 1992]. Для этого в ходе моделирования выводились коэффициенты, определяющие параметризации: коэффициент аэродинамического сопротивления CD и коэффициент β, определяющий интенсивность накачки, используемые на каждом шаге численного счета. На рис. 3а для рассмотренных параметризаций представлены полученные в результате расчетов зависимости β(σu*/g), где g/σ – фазовая скорость спектрального пика волнения, а также их теоретические оценки. На рис. 3б показаны расчетные зависимости CD(U10), а также предложенная по результатам натурных измерений параметризация (3). Видно, что различные параметризации β и CD, используемые в WW3, показывают близкие значения в условиях внутренних водоемов средних размеров (σu*/g = 0.1÷0.15, U10 = 1÷10 м/с). При этом предложенная параметризация CD (3) демонстрирует значительно более низкие значения при скоростях ветра U10 > 4 м/с. Поэтому подстройка ветровой накачки для условий внутреннего водоема состояла в уточнении именно коэффициента аэродинамического сопротивления.
Рис. 3. (а) Зависимости коэффициента взаимодействия ветра и волн от безразмерной скорости трения ветра для параметризации. (б) Зависимости коэффициента аэродинамического сопротивления поверхности CD от скорости ветра U10. 1 – WAM 3, 2 – Tolman & Chalikov, 3 – WAM4, 4 – предложенная параметризация (3)
Далее проводилась непосредственно подстройка волновой модели. Первый этап подстройки модели WW3 был реализован в [Kuznetsova et al., 2016a, b] с использованием параметризации CD(U10), полученной в результате серии натурных экспериментов (3). Счет был произведен двумя способами: во-первых, в рамках параметризации WAM 3, в которой используется линейная зависимость CD(U10) [Wu, 1982], во-вторых, с предложенной параметризацией (3) и инкрементом ветровой накачки из WAM 3.
Одномерные спектры возвышений в точке измерений, полученные в натурном эксперименте, сравнивались с полученными одномерными спектрами численного эксперимента при разных параметризациях ветровой накачки (рис. 4а). Видно, что неизмененная накачка сильно завышает значения, тогда как использование предложенной параметризации (3) существенно уменьшает это завышение и сдвигает пик спектра в область более высоких частот. Также было проведено сравнение интегральных характеристик спектров (высоты значительных волн HS и среднего периода волнения Tm) для всех рассмотренных событий, полученных в результате численного моделирования и натурного эксперимента. На графиках (рис. 4б, в) по оси абсцисс отложены значения, полученные в натурном эксперименте, по оси ординат – результаты численного моделирования. Штриховой линией обозначена биссектриса угла, означающая равенство характеристик, соответствие натурному эксперименту. Среднеквадратичное отклонение расчетных данных от экспериментальных было рассчитано по формуле:
, (8)
и составило по HS 0.39 и 0.52, по Tm 0.25 и 0.19 для предложенной и стандартной параметризаций соответственно. Здесь Q – количество рассмотренных событий, Mi и Oi – значения, полученные соответственно в рамках численного моделирования и натурных измерений.
Рис. 4. (а) Одномерные спектры возвышений, (б) высоты значительных волн и (в) средние периоды волнения. 1 – WAM 3 с параметризацией (3), 2 – WAM 3 со стандартной параметризацией, 3 – экспериментальные данные
Для всех встроенных моделей наблюдается систематическое завышение высоты волнения и занижение среднего периода волнения. Отклонение расчетных значений высоты значительных волн от экспериментальных данных std было улучшено на 0.13, что составляет 25% от исходного завышения.
Второй этап подстройки связан с адаптацией схемы приближенного вычисления интеграла Больцмана Discrete Interaction Approximation (DIA). Параметризация DIA управляется двумя параметрами, первая – λnl, определяющая взаимодействующую зеркальную пару векторов, вторая – константа пропорциональности C, отвечающая за вклад члена нелинейного источника в итоговый спектр. Нелинейные взаимодействия обычно вычисляются в WW3 при помощи параметров (λnl, C) = (0.25, 2.78 × 107). Подбор оптимальных для исследуемой акватории параметров обеспечил подстройку интеграла столкновений [Кузнецова и др., 2020]. Для модели WAM 3 параметры (λnl, C) составили (0.29, 3.8 × 107) вместо (0.25, 2.78 × 107). Использование предложенных параметров DIA позволило улучшить воспроизведение периодов моделью WW3 по сравнению с оригинальной DIA. Среднеквадратичное отклонение волновых периодов в этом случае не превышает 20%.
Приведем пример (рис. 5) влияния использования предложенной адаптации модели на эволюцию волнения для тестового дня 14.07.2017. Видно, что в среднем достигнуто улучшение предсказания средних периодов волнения: среднеквадратичное отклонение расчета от эксперимента изменилось с 10 на 4%. При этом для значительных высот волн отклонение изменилось с 17 на 15%.
Рис. 5. (а) Высоты значительных волн и (б) средние периоды волнения для тестового дня 14.07.2017 при использовании параметризации WAM 3 с параметризацией (3). 1 – DIA с предложенными "оптимальными" параметрами, 2 – “дефолтная” версия DIA, 3 – экспериментальные данные
ЗАДАНИЕ ВЕТРОВОЙ НАКАЧКИ ПРИ ПОМОЩИ АТМОСФЕРНОЙ МОДЕЛИ
Важную роль при моделировании поверхностного волнения играет также правильное задание форсинга ветром. В экспериментах по подстройке волновой модели делалось допущение о задании ветра над водоемом однородным, это допустимо при подстройке модели, однако будет служить источником ошибок в задачах численного прогноза. Вытянутая форма водоема, высокие берега могут приводить к заметной пространственной изменчивости с масштабами порядка или менее 1 км. Неоднородность ветра над водохранилищем подтверждается данными метеостанций (Волжская ГМО, Юрьевец), расположенных вблизи южной и северной границ водоема. На рис. 6а, б показаны усредненные за период 2010–2015 гг. статистические распределения направлений скоростей ветра для Волжской ГМО (южная часть водохранилища) и метеостанции “Юрьевец” (северная часть).
Рис. 6. Статистическое распределение направлений и скоростей ветра, усредненных за 2010–2015 гг. в навигационный период (с 10 мая по 31 октября): (а) Волжская ГМО, (б) Юрьевец
Таким образом, был предложен способ расчета с учетом пространственной изменчивости при помощи ветровой накачки из атмосферной модели WRF. Задание распределения ветра из WRF с высоким пространственным разрешением обеспечивает возможность прогноза волн с высоким разрешением, что является востребованным решением как для внутренних водоемов, так и для прибрежных зон [Rusu et al., 2014].
Расчет распределения ветра был выполнен для четырех вложенных доменов, минимальный пространственный размер ячейки четвертого домена составил 1 км. Использовалась версия модели WRF v.3.9.1 со следующими настройками. Для параметризации микрофизики облаков использовалась схема Кесслера [Kessler, 1969]. При описании подстилающей поверхности использовалась 5-слойная схема термодиффузии [Dudhia, 1996]. Для описания коротковолнового и длинноволнового излучения использовались схемы Dudhia Shortwave Scheme [Dudhia, 1989] и RRTM Longwave Scheme [Mlawer et al., 1997] соответственно.
Особое внимание было уделено параметризации планетарного пограничного слоя (ППС) и приповерхностного слоя атмосферы, были протестированы разные подходы. Среди них были опция 1_1 – теория подобия MM5 Yonsei University Scheme (YSU) [Hong et al., 2006], опция 2_2 – теория подобия Eta Mellor-Yamada-Janic Scheme (MYJ) [Mellor et al., 1982], опция 5_5 – теория подобия Монина-Обухова в форме Mellor-Yamada-Nakanishi-Niino (MYNN) [Nakanishi et al., 2009], основанные на подходе Рейнольдса к решению уравнений гидротермодинамики атмосферы, и метод вихреразрешающего моделирования Large Eddy Simulation (LES) [Moeng et al., 2007; Mirocha et al., 2010].
Схема теории подобия MM5 использует функции устойчивости, описанные в [Paulson, 1970; Dyer et al., 1970; Webb, 1970] для вычисления коэффициентов обмена тепла, влаги и импульса. Поверхностные потоки тепла и влаги усиливаются под действием конвективной скорости в форме [Beljaars, 1995]. Длина шероховатости связана со скоростью трения над водой через соотношение Чарнока. Схема теории подобия Eta [Janjić, 1994] основана на теории подобия Монина–Обухова [Монин и др., 1954]. Схема включает параметризацию вязкого подслоя. Над водной поверхностью вязкий подслой параметризуется явно [Janjić, 1994]. На суше влияние вязкого подслоя учитывается с помощью переменной высоты шероховатости для температуры и влажности, предложенной Зилитинкевичем [Zilitinkevich, 1970]. Для того, чтобы избежать особенностей (сингулярности) в случае неустойчивой стратификации и затихающей скорости ветра, применяется поправка Белджара [Beljaars, 1995]. Поверхностные потоки вычисляются с помощью итерационного метода.
При подключении опции LES, то есть вихреразрешающего моделирования, вычисление первых трех доменов производилось в рамках схемы Университета Йонсей (YSU) для ППС и в рамках схемы поверхностного слоя, основанной на теории подобия Монина–Обухова, с учетом вязкой формы подуровня Карлсона–Боланда [Carlson, 1978]. Моделирование скорости ветра в четвертом домене проводилось в том числе в планетарном пограничном слое, а для приповерхностного слоя использовалась параметризация Монина–Обухова. Важно отметить, что размер шага пространственной сетки 1 км относится к т. н. «серой зоне» турбулентности (gray-zone), также называемая terra-incognita моделирования, когда масштаб пространственного фильтра численной модели сравним с доминирующим масштабом длины потока. Одним из способов моделирования «серой зоны» является вихреразрешающее моделирование. Однако в подходе LES в модели WRF турбулентность масштабов длины меньше пространственного разрешения сетки домена, где используется LES, параметризуется при помощи «подсеточного перемешивания», применение которого на таких масштабах хоть и не ограничено в модели WRF, но требует отдельного изучения. Коэффициенты обмена, определяемые турбулентной кинетической энергией (ТКЭ), могут быть определены турбулентным замыканием порядка 1.5 (1.5 order TKE closure) или замыканием первого порядка по Смагоринскому (Smagorinsky first order closure). В соответствии с выводами работы [Simon et al., 2019] была использована схема турбулентного замыкания ТКЭ порядка 1.5. Также использована параметризация, предполагающая полную диффузию.
Полученные результаты расчета сравнивались, прежде всего, с данными о скорости ветра из реанализа CFSv2 [https://rda.nwsc.ucar.edu/datasets/ds094.2/#!description] в аналогичные моменты времени. На рис. 7 показано распределение скорости ветра на стандартной метеорологической высоте 10 м для тестового дня 08.08.2017 в момент времени t = 22:00 на рис. 7а, б и в момент времени t = 12:00 на рис. 7в, г. На рис. 7а, в приведено распределение ветра по данным реанализа, а на рис. 7б, г – по результатам расчета атмосферной модели WRF с использованием LES. Видно, что данные реанализа демонстрируют гораздо меньшую пространственную изменчивость и не отображают увеличение скорости ветра над акваторией водохранилища. Область, содержащая Горьковское водохранилище и представленная на рис. 7а, в, выделена белым контуром. Полученные значения скорости ветра над поверхностью воды выше аналогичных значений над сушей, что согласуется с данными наблюдений. Этот результат подчеркивает преимущество использования ветра из атмосферной модели вместо данных реанализа, которые не имеют пространственной изменчивости, достаточной для условий внутренних вод и прибрежной зоны.
Рис. 7. Распределение модуля скорости ветра над акваторией Горьковского водохранилища для тестового дня 08.08.17 по данным реанализа (а, в) и по данным расчета WRF (б, г). Белым контуром выделена область, содержащая Горьковское водохранилище
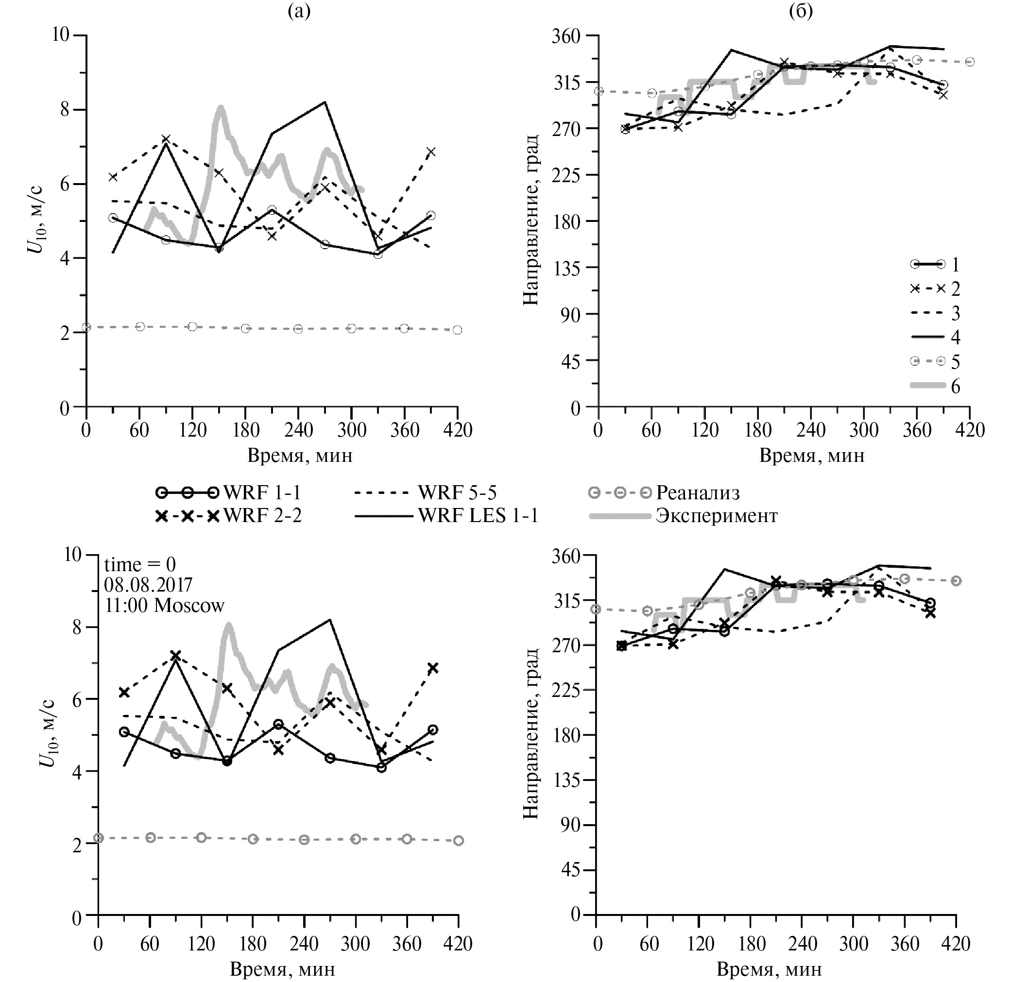
Результаты сравнивались с натурными измерениями. Сравнение скорости и направления ветра на стандартной метеорологической высоте 10 м, рассчитанных при подключении различных параметризаций, показано на рис. 8. Результаты расчета WRF приведены для тестового дня 08.08.17. Прежде всего, проведено сравнение использования WRF с данными реанализа CFSv2 с пространственным разрешением 0.205°. Сравнение показывает, что использование рассмотренных параметризаций WRF лучше согласуется с экспериментом, чем прямое использование реанализа, и при решении уравнений Рейнольдса (параметризации 1_1, 2_2, 5_5), и при использовании вихреразрешающего моделирования. Все примененные параметризации WRF показали хорошую временную изменчивость, отвечающую натурным наблюдениям, как для модуля скорости (рис. 8а), так и для ее направления (рис. 8б). Для дальнейшего применения был выбран метод вихреразрешающего моделирования LES, поскольку временная изменчивость, разброс данных по амплитуде прогнозируемого ветра наилучшим образом согласовывался с данными измерений.
Рис. 8. Результаты расчета моделью WRF модуля скорости ветра (а) и направления ветра (б) с подключением разных параметризаций ППС и приповерхностного слоя атмосферы. 1–1_1 (MM5 similarity), 2–2_2 (Eta similarity), 3–5_5 (MYNN для Nakanishi & Niino), 4 – WRF LES, 5 – экспериментальные данные. Начало отсчета – 11:00 мск 08.08.2017
Применение накачки ветром при помощи WRF LES при моделировании волнения в WW3 обеспечивает высокую пространственную изменчивость (рис. 9а) по сравнению с применением данных реанализа (рис. 9б). Расчеты поверхностного волнения производились в модели WW3 с использованием предложенной параметризацией CD (3) и инкрементом ветровой накачки из WAM 3.
Рис. 9. Распределение значительной высоты волнения на Горьковском водохранилище для тестового дня 08.08.17 (a) накачка ветром при помощи WRF LES, (б) накачка ветром при помощи реанализа CFSv2
ОБЪЕДИНЕНИЕ МОДЕЛЕЙ
Дальнейшее развитие прогноза микроклимата и погодной обстановки Горьковского водохранилища было совершено за счет объединения атмосферной и волновой моделей: это новое направление исследования, реализованное, например, в [Shuyi, 2013], обозначаемое как “связанные” модели, “coupled models”, “coupling”, состоящее в настройке процедуры взаимообмена параметрами между атмосферой и гидросферой. Объединение моделей позволяет учитывать влияние ветровых волн на изменение атмосферных свойств приповерхностного ветра и потоков тепла посредством шероховатости поверхности, а шероховатость поверхности, в свою очередь, оказывает влияние на параметры атмосферы. Модели с двухсторонним объединением (“2-way coupling”) позволяют учитывать двустороннее взаимодействие системы “атмосфера-вода”. Объединение моделей составляет особенный интерес на акваториях внутренних водоемов, поскольку в этой ситуации важно корректное заданий как входного ветра, так и шероховатости поверхности.
Был разработан и реализован метод двусторонней обратной связи между моделями WW3 и WRF в применении к территории, содержащей Горьковское водохранилище. Объединение моделей WW3 и WRF было реализовано при помощи программного пакета OASIS [Craig, 2017], который был модифицирован для возможности обмена параметром Чарнока между моделями. Параметр Чарнока отвечает за шероховатость поверхности воды и может быть использован для более точного прогнозирования не в качестве постоянной величины, а в виде изменяющегося во времени параметра. Модификация исходного кода моделей состояла в добавлении возможности обмена параметром Чарнока со сторонними моделями, а также возможности обмена значениями скоростей ветра на стандартной метеорологической высоте 10 м между моделями. Данные об этих параметрах, получаемые в одной из моделей, принимаются другой на каждом шаге по времени и используются вместо начальных данных, таким образом и создавая обратную связь между моделями. Таким образом, скорость ветра, рассчитанная в модели WRF, использовалась как форсинг волновой модели WW3. Полученные при расчете волновой моделью значения параметра Чарнока принимались в следующем расчете моделью WRF на каждом шаге по времени.
Расчет состояния атмосферы производился в том числе при помощи вихреразрешающего моделирования, поскольку было продемонстрировано преимущество этого метода в применении к Горьковскому водохранилищу (см. выше). Однако нужно отметить, что характерные времена релаксации волновой модели значительно превосходят даже усредненную по окну расчета временную изменчивость скорости ветра по данным WRF LES. Тем не менее, использование результатов LES допустимо, поскольку подход подразумевает использование параметризованного подсеточного перемешивания и осреднения реализаций на каждом шаге по времени. С другой стороны, использование вихреразрешающего моделирования в качестве форсинга волновой модели может быть излишне точным, однако этот вопрос должен быть исследован дополнительно. В данной работе такое исследование проводилось эмпирически путем сопоставления с результатами измерений. Таким образом, проводилось сравнение скорости и направления ветра, полученные в точке измерений, из четырех источников. Во-первых, опорными данными были данные измерений. Во-вторых, были использованы данные реанализа ветра CFSv2 с пространственным разрешением 0.205°. В-третьих, был произведен расчет методом вихреразрешаюшего моделирования в рамках WRF. В-четвертых, проводилась процедура сопряжения моделей.
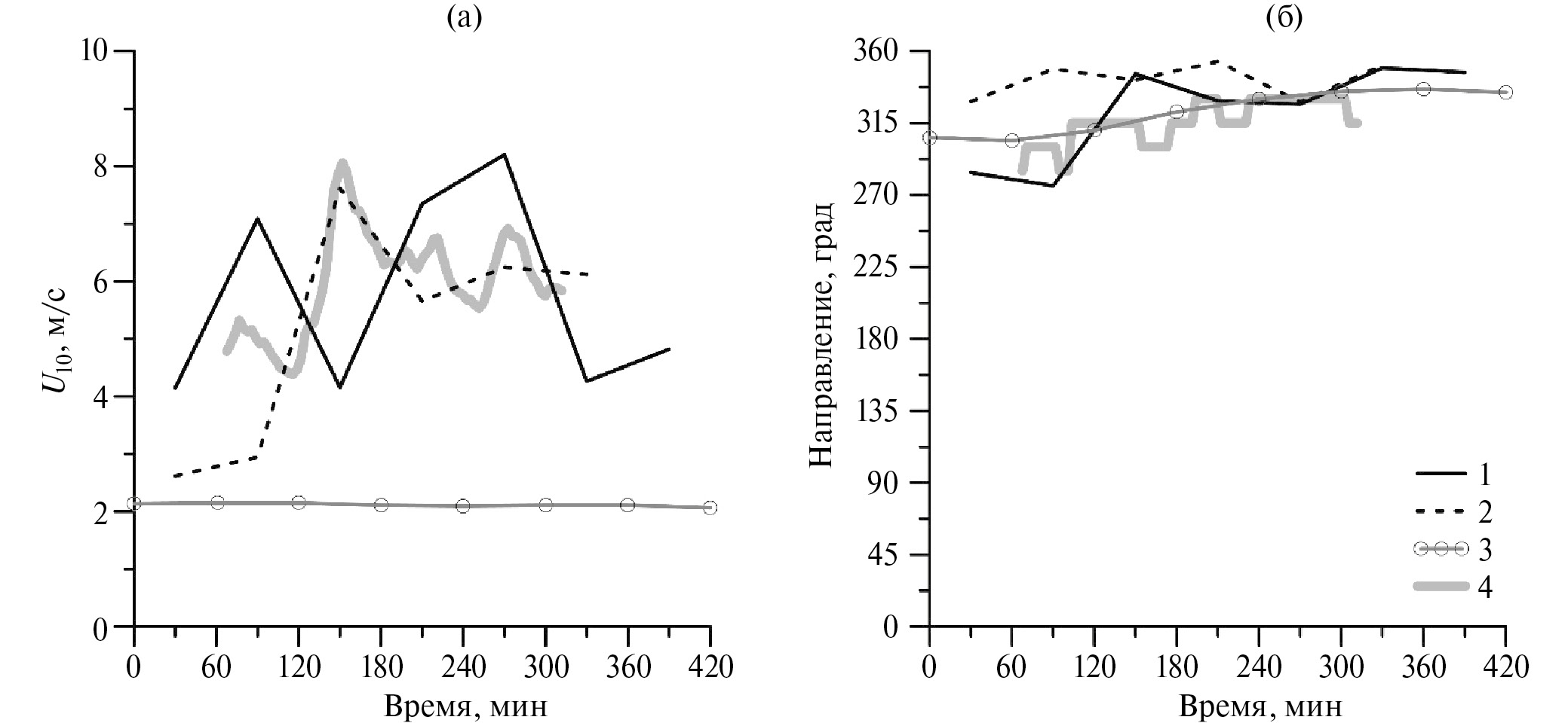
Сравнение поведения скорости и направления ветра на стандартной метеорологической высоте 10 м, рассчитанных при подключении различных параметризаций, показано на рис. 10. Результаты расчета WRF приведены для тестового дня 08.08.17. Сравнение показывает, что использование рассмотренных расчетов WRF лучше согласуется с экспериментом, чем прямое использование реанализа. Расчеты WRF LES показали хорошую временную изменчивость, отвечающую наблюдениям, как для модуля скорости (рис. 10а), так и для ее направления (рис. 10б). Расчеты WRF LES, прошедшие через объединение с волновой моделью WW3 (“coupled”), показывают заметное улучшение расчета модуля скорости ветра. При этом значение направлений скорости ветра обладает большим отклонением от данных измерений. Это предварительные результаты, и будет проведено большее количество расчетов для набора статистики. Однако предварительные данные позволяют утверждать, что обмен параметрами на каждом шаге расчетов обеих моделей позволил увеличить точность расчетов и снизить зависимость результатов моделирования от входных данных реанализа.
Рис. 10. Результаты расчета моделью WRF модуля скорости ветра (а) и направления ветра (б) с подключением разных параметризаций ППС и приповерхностного слоя атмосферы. 1 – WRF LES, 2 – WRF LES, объединенная с волновой моделью, 3 – данные реанализа, 4 – экспериментальные данные. Начало отсчета – 11:00 мск 08.08.2017
ЗАКЛЮЧЕНИЕ
В работе приведен обзор работ, в результате которых предложена региональная модель, основанная на адаптированной к условиям внутреннего водоема среднего размера численной волновой модели WW3, первоначально настроенной на условия морей и океанов, с использованием атмосферной модели WRF, используемой для расчета входного ветра в модель WW3. Настройки предложенной модели основываются на серии проведенных натурных экспериментов на Горьковском водохранилище. Данные измерений также использовались для верификации предложенной адаптации модели.
В ходе натурных измерений на акватории водохранилища с использованием автономной буйковой станции для различных метеорологических и гидрологических условий в точке наблюдения были получены временные реализации возвышений водной поверхности и скоростей ветра на нескольких горизонтах от 10 см до 5.3 м. В результате были восстановлены статистические параметры воздушного потока, такие как динамическая скорость ветра, аэродинамическая шероховатость подстилающей поверхности и скорость ветра на стандартной метеорологической высоте 10 м, а также интегральные характеристики ветрового волнения, такие как высота значительных волн, частота пика спектра и средний период волн.
Проведенная адаптация модели WW3 к условиям внутренних водоемов на примере Горьковского водохранилища состояла из подстройки используемых параметров (например, смещение рассматриваемого диапазона частот в пределы от 0.2 до 3 Гц), параметризаций ветроволнового взаимодействия и нелинейных взаимодействий. Параметризация ветроволнового взаимодействия была подстроена путем замены используемой по умолчанию зависимости коэффициента аэродинамического сопротивления от скорости ветра, на параметризацию, полученную в результате серии натурных измерений на Горьковском водохранилище. Результаты численного эксперимента также сравнивались с результатами, полученными в натурном эксперименте на Горьковском водохранилище. Использование встроенной параметризации показало существенное завышение расчетных данных высот значительных волн HS по сравнению с экспериментальными, что мы объясняем существенным завышением турбулентных напряжений ветра (значений скорости трения u*) и, соответственно, ветровой накачки. Использование новой параметризации аэродинамического сопротивления снизило значения u* и, следовательно, ветрового инкремента поверхностных волн, что улучшило согласие в данных HS натурного эксперимента и численного моделирования. Однако сравнение расчетов в рамках океанских встроенных моделей ветровой накачки также дает заниженные значения для среднего периода волнения Tm. В то же время изменение ветровой накачки существенно не повлияло на согласие значений Tm по результатам численного моделирования и натурного эксперимента. В предположении, что параметризация нелинейности также подстроена под условия морей и океанов, была проведена адаптация параметризации нелинейности для применения модели прогноза волнения WW3 в условиях внутренних водоемов. Была проведена подстройка параметров схемы нелинейности на основе параметризации DIA. Была составлена программа, минимизирующая отклонения предсказания модели от данных натурных измерений. Были выбраны параметры для используемой параметризаций ветровой накачки. Для модели WAM 3 параметры (λnl, C) составили (0.29, 3.8 × 107) вместо (0.25, 2.78 × 107). Для DIA с предложенными «оптимальными» параметрами наблюдалось улучшение воспроизведения периодов моделью WW3 по сравнению с оригинальной DIA.
Модель WRF была применена к области, содержащей Горьковское водохранилище. Моделирование WRF проводилось для 4 вложенных доменов с минимальным размером ячейки 1 км. Входным параметром был реанализ CFSv2. Несмотря на то, что рассмотренный минимальный пространственный горизонтальный шаг атмосферной модели составлял 1 км и относился к т. н. «серой зоне», расчеты модели были проведены для нескольких подходов: полностью параметризованных мезомасштабных моделей (Yonsei University Scheme, Eta Mellor-Yamada-Janic Scheme, Mellor-Yamada-Nakanishi-Niino) и для непараметризованного моделирования очень больших вихрей LES. Применение подхода LES на таких масштабах не является повсеместным, это связано в первую очередь со сложностью учета подсеточных процессов перемешивания. Однако в рассмотренных нами численных экспериментах было продемонстрировано преимущество LES по сравнению с другими подходами в сравнении с результатами натурных измерений. Все методы продемонстрировали лучшее соответствие натурным измерениям по сравнению с использованием данных реанализа.
Было реализовано объединение моделей WRF и WW3, состоявшее в настройке взаимообмена данными между волновой и атмосферной моделями с использованием программы-связки OASIS: данные о скорости и направлении ветра, получаемые в WRF, принимались в WW3 на каждом шаге по времени, таким образом создавая обратную связь между моделями. Полученные результаты тестовых экспериментов позволяют утверждать, что обмен параметрами на каждом шаге расчетов обеих моделей позволил увеличить точность расчетов.
Полученная модель может быть использована на других акваториях со схожими параметрами.
Благодарности. Базовая заработная плата авторов финансировалась в рамках государственного задания ИПФ РАН по теме FFUF-2021–0007. Развитие методов совместного моделирования осуществлено при поддержке гранта президента МК-2489.2022.1.5.
About the authors
A. M. Kuznetsova
Gaponov-Grekhov Institute of Applied Physics of the Russian Academy of Sciences
Author for correspondence.
Email: alexandra@ipfran.ru
Russian Federation, Nizhny Novgorod
G. A. Baydakov
Gaponov-Grekhov Institute of Applied Physics of the Russian Academy of Sciences; Obukhov Institute of Atmospheric Physics of the Russian Academy of Sciences
Email: alexandra@ipfran.ru
Russian Federation, Nizhny Novgorod; Moscow
Yu. I. Troitskaya
Gaponov-Grekhov Institute of Applied Physics of the Russian Academy of Sciences; Obukhov Institute of Atmospheric Physics of the Russian Academy of Sciences
Email: alexandra@ipfran.ru
Russian Federation, Nizhny Novgorod; Moscow
References
- Кузнецова А. М., Досаев А. С., Байдаков Г. А., Сергеев Д. А., Троицкая Ю. И. Адаптация параметризации нелинейного переноса энергии для случая коротких разгонов в модели прогноза волнения WAVEWATCH III // Изв. РАН. Физика атмосферы и океана. 2020. Т. 56. № 2. С. 224–233.
- Монин А.С, Обухов А. М. Основные закономерности турбулентного перемешивания в приземном слое атмосферы // Тр. геофиз. Ин-та СССР. 1954. Т. 2. С. 151.
- Поддубный С.А, Сухова Э. В. Моделирование влияния гидродинамических и антропогенных факторов на распределение гидробионтов в водохранилищах: руководство для пользователей / Рыбинск: Рыбинский Дом печати, 2002. 120 с.
- Сутырина Е. Н. Определение характеристик волнового режима Братского водохранилища // Изв. Иркутского гос. университета. Серия: Науки о Земле. 2011. Т. 4. № 2.
- Ataktürk S. S., Katsaros K. B. Wind stress and surface waves observed on Lake Washington // J. Phys. Oceanogr. 1999. V. 29. № 4. P. 633–650.
- Babanin A. V., Makin V. K. Effects of wind trend and gustiness on the sea drag: Lake George study // J. Geophys. Research: Oceans. 2008. V. 113. C02015.
- Baydakov G. A., Kandaurov A. A., Kuznetsova A. M., Sergeev D. A., Troitskaya Y. I. Field Studies of Features of Wind Waves at Short Fetches // Bull. RAS: Physics. 2018. V. 82. P. 1431–1434.
- Belcher S. E., Hunt J. C.R. Turbulent shear flow over slowly moving waves // J. Fluid Mech. 1993. V. 251. P. 109–148.
- Beljaars A. C. The parametrization of surface fluxes in large‐scale models under free convection // Quart. J. Roy. Met. Soc. 1995. V. 121. № 522. P. 255–270.
- Brooke B. T. Shearing flow over a wavy boundary // J. Fluid Mech. 1959. V. 11. P. 161–205.
- Carlson T. N., Boland F. E. Analysis of urban-rural canopy using a surface heat flux/temperature model // J. App. Met. 1978. V. 17. № 7. P. 998–1013.
- Craig A., Valcke S., Coquart L. Development and performance of a new version of the OASIS coupler, OASIS3-MCT_3.0. // Geosci. Model Dev. 2017. V. 10. P. 3297–3308.
- Dudhia J. A multi-layer soil temperature model for MM5. the Sixth PSU/NCAR Mesoscale Model Users’ Workshop. 1996. https://www2.mmm.ucar.edu/wrf/users/physics/phys_refs/LAND_SURFACE/5_layer_thermal.pdf
- Dudhia J. Numerical study of convection observed during the Winter Monsoon Experiment using a mesoscale two–dimensional model. // J. Atmos. Sci. 1989. V. 46. P. 3077–3107.
- Dyer A., Hicks B. Flux‐gradient relationships in the constant flux layer // Quart. J. Roy. Met. Soc. 1970. V. 96. № 410. P. 715–721.
- Fairall C. W., Bradley E. F., Hare J. E. et al. Bulk Parameterization of Air–Sea Fluxes: Updates and Verification for the COARE Algorithm // J. Climate. 2003. V. 16. P. 571–591.
- Gunther H., Hasselmann S., Janssen P. A.E.M. The WAM model cycle 4 (revised version). Deutsch. Klim. Rechenzentrum, Techn. Report no. 4, Hamburg, Germany.
- Hasselmann D. E., Dunckel M., Ewing J. A. Directional wave spectra observed during JONSWAP 1973 // J. Phys. Oceanogr. 1980. V. 10. P. 1264–1280.
- Hong S.-Y., Noh Y., Dudhia J. A new vertical diffusion package with an explicit treatment of entrainment processes // Mon. weather rev. 2006. V. 134. № 9. P. 2318–2341. https://rda.nwsc.ucar.edu/datasets/ds094.2/#!description
- https://www.ngdc.noaa.gov/mgg/topo/globe.html
- Janjić Z. I. The step-mountain eta coordinate model: Further developments of the convection, viscous sublayer, and turbulence closure schemes // Mon. weather rev. 1994. V. 122. № 5. P. 927–945.
- Kessler E. On the distribution and continuity of water substance in atmospheric circulations.” // On the distribution and continuity of water substance in atmospheric circulations. 1969. P. 1–84. Boston, MA: Am. Meteorol. Soc.
- Kuznetsova A. M., Baidakov G. A., Papko V. V., Kandaurov A. A., Vdovin M. I., Sergeev D. A., Troitskaya Y. I. Field experiments and numerical modeling of wind speed and surface waves in medium-size inland reservoirs // Russ. Met. Hydr. 2016. V. 41. P. 136–145.
- Kuznetsova A., Baydakov G., Papko V., Kandaurov A., Vdovin M., Sergeev D., Troitskaya Y. Adjusting of wind input source term in WAVEWATCH III model for the middle-sized water body on the basis of the field experiment // Adv. Met. 2016. V. 2016. P. 1–13.
- Kuznetsova A. M., Baydakov G. A., Papko V. V., Kandaurov A. A., Vdovin M. I., Sergeev D. A., Troitskaya Y. I. Field and numerical study of the wind-wave regime on the Gorky Reservoir // Geogr., env., sustain. 2016. V. 9. № 2. P. 19–37.
- Kuznetsova A., Baydakov G., Sergeev D., Troitskaya Y. Development of a regional model based on adapted WAVEWATCH III and WRF models for the prediction of surface wind waves on the reservoir and wind // J. Physics: Conf. Ser. 2018. V. 955. № 1. 012014. IOP Publishing.
- Kuznetsova A., Baydakov G., Sergeev D., Troitskaya Y. High ̶resolution waves and weather forecasts using adapted WAVEWATCH III and WRF models // J. Physics: Conf. Ser. 2019. V. 1163. № 1. 012031. IOP Publishing.
- Loktev F., Kuznetsova A., Baydakov G., Troitskaya Y. Development of Methods for Wind Speed and Wave Parameters Forecasting in Inland Waters // Proc. GeoMedia. 2021. V. 2. P. 15–20.
- Mellor G. L., Yamada T. Development of a turbulence closure model for geophysical fluid problems // Rev. Geophys. 1982. V. 20. № 4. P. 851–875.
- Mirocha J., Lundquist J., Kosović B. Implementation of a nonlinear subfilter turbulence stress model for large-eddy simulation in the Advanced Research WRF model // Mon. weather rev. 2010. V. 138. № 11. P. 4212–4228.
- Mlawer E. J., Taubman S. J., Brown P. D., Iacono M. J., Clough S. A. Radiative transfer for inhomogeneous atmospheres: RRTM, a validated correlated–k model for the longwave // J. Geophys. Res. 1997. V. 102. P. 16663–16682.
- Moeng C., Dudhia J., Klemp J., Sullivan P. Examining two-way grid nesting for large eddy simulation of the PBL using the WRF model // Mon. weather rev. 2007. V. 135. № 6. P. 2295–2311.
- Nakanishi M., Niino H. Development of an improved turbulence closure model for the atmospheric boundary layer // J. Met. Soc. Jap. 2009. V. 87. № 5. P. 895–912.
- Paulson C. A. The mathematical representation of wind speed and temperature profiles in the unstable atmospheric surface layer // J. Appl. Met. 1970. V. 9. № 6. P. 857–861.
- Rusu L., Bernardino M., Guedes C. Soares Wind and wave modelling in the Black Sea // J. Op. Oceanogr. 2014. V. 7. № 1. P. 5–20.
- Shuyi Chen S., Zhao Wei, Donelan Mark A., Tolman Hendrik L. Directional wind–wave coupling in fully coupled atmosphere–wave–ocean models: Results from CBLAST-Hurricane // Journal of the Atmospheric Sciences. 2013. V. 70. № 10. P. 3198–3215.
- Simon J. S., Zhou B., Mirocha J. D., Chow F. K. Explicit filtering and reconstruction to reduce grid dependence in convective boundary layer simulations using WRF-LES // Monthly Weather Review. 2019. V. 147. № 5. P. 1805–1821.
- Skamarock W. C., Klemp J. B., Dudhia J., Gill D. O., Liu Z., Berner J., Wang W. et al. A description of the advanced research WRF model version 4. // National Center for Atmospheric Research: Boulder, CO. USA 145. 2019. 550 p.
- Snyder R. L., Dobson F. W., Elliott J. A., Long R. B. Array measurement of atmospheric pressure fluctuations above surface gravity waves // Journal of Fluid Mechanics. 1981. V. 102. P. 1–59.
- The WAVEWATCH III Development Group (WW3DG). User manual and system documentation of WAVEWATCH III (R) version 5.16. // Tech. Note 329. NOAA/NWS/NCEP/MMAB. College Park, MD, USA. 2016. 326 pp. + Appendices.
- Tolman H. L., Chalikov D. Source Terms in a Third-Generation Wind Wave Model // Journal of Physical Oceanography. 1996. V. 26. № 11. P. 2497–2518.
- Varlas G., Katsafados P., Papadopoulos A., Korres G. Implementation of a two-way coupled atmosphere-ocean wave modeling system for assessing air-sea interaction over the Mediterranean Sea. // Atm. Res. 2018. V. 208. P. 201–217.
- Webb E. K. Profile relationships: The log‐linear range, and extension to strong stability // Quarterly Journal of the Royal Meteorological Society. 1970. V. 96. № 407. P. 67–90.
- Wu J. Wind-stress coefficients over sea surface from breeze to hurricane // Journal of Geophysical Research. 1982. V. 87. № 9. P. 704–706.
- Zilitinkevich S. Non-local turbulent transport: Pollution dispersion aspects of coherent structure of connective flows // WIT Transactions on Ecology and the Environment. 1970. V. 9.
Supplementary files













