Modeling of Anthropogenic Heat Fluxes during the Heating Period in Major Russian Cities
- Authors: Frolkis V.A.1,2, Evsikov I.A.3,1, Ginzburg A.S.4
-
Affiliations:
- Voeikov Main Geophysical Observatory
- Saint Petersburg State University of Economy
- Saint Petersburg State University of Architecture and Civil Engineering
- Obukhov Institute of Atmospheric Physics, Russian Academy of Sciences
- Issue: Vol 60, No 4 (2024)
- Pages: 470–484
- Section: Articles
- URL: https://bakhtiniada.ru/0002-3515/article/view/274098
- DOI: https://doi.org/10.31857/S0002351524040051
- EDN: https://elibrary.ru/JHGJLZ
- ID: 274098
Cite item
Full Text
Abstract
Estimates of the anthropogenic heat flux (AHF) generated by megacities of the Russian Federation during the heating period are obtained. To calculate the AHF value, two-dimensional models were created taking into account the height, number of floors and the type of buildings for sixteen cities with a population of at least one million people. The source data is obtained from the OpenStreetMap open web mapping platform and the Yandex Maps website. Two algorithms for calculating AHF using building codes, thermophysical properties of enclosing structures and the difference between internal and external air temperatures are considered. The first algorithm uses the basic value of the required heat transfer resistance of the enclosing structure, the second – the calculated value of the specific characteristic of the consumption of thermal energy for heating and ventilation of the building. The AHF is assessed from the territory of the city within the administrative boundaries and from the urbanized territory, which is defined by multi-store buildings. Maps of the spatial distribution of AHF density are provided for the four largest megacities: Moscow, St. Petersburg, Novosibirsk and Yekaterinburg.
Full Text
ВВЕДЕНИЕ
Важной особенностью атмосферы городской агломерации является наличие переходного слоя между поверхностью и верхней границей зданий – городского покрывающего слоя, в котором происходит тепловое загрязнение атмосферы, влияющее на структуру и свойства всего атмосферного пограничного слоя. Антропогенный поток тепла (АПТ) – состоит из потоков тепла от зданий, транспорта и метаболизма живых организмов [Allen et al., 2011]. На урбанизированных территориях основной вклад в АПТ дает энергопотребление зданий, именно этот источник АПТ и рассматривается в данной работе.
Энергия, затраченная на поддержание температуры внутри зданий в комфортном диапазоне, поступает в окружающее пространство в виде АПТ. Многочисленные эмпирические оценки и численные эксперименты показали, что АПТ может увеличивать температуру воздуха в городском покрывающем слое и давать существенный вклад в интенсивность городского острова тепла в период отопительного сезона, который создает разность температур между городскими и прилегающими окрестными территориями. Зимой, рассчитанный по мезомасштабным атмосферным моделям, вклад АПТ в интенсивность городского острова тепла в некоторых случаях может достигать 50–80% [Varentsov et al., 2018], февральский остров тепла в г. Тулуза (Франция) превышает 5 °C [Hidalgo et al., 2008] и может достигать 7 °C в центре Москвы (метеостанция Балчуг, 8–10 января 2017 г) [Varentsov et al., 2020].
Доля АПТ, которая связана с энергией, расходуемой на отопление, существенно зависит от температуры воздуха снаружи. Из-за влияния температуры атмосферного воздуха на энергопотребление и обратного влияния АПТ на температуру приземного воздуха в режиме отопления возникает отрицательная обратная связь между температурой воздуха и антропогенным потоком тепла.
Воздействие АПТ на атмосферу во многом определяется тем, как этот поток тепла распределяется между компонентами теплового баланса поверхности и городского покрывающего слоя. Часть АПТ передается теплопередачей из помещений в атмосферу через стены и крыши зданий, а часть АПТ поступает в атмосферу, грунт и водные резервуары в виде тепловых стоков от работы систем нагревания.
Помимо сезонного хода, взаимодействие городской атмосферы и энергопотребления подвержено и суточному циклу. Это во многом связано с суточным циклом поступающей к поверхности солнечной радиации, а также вследствие суточного цикла деловой активности, которые накладываются на суточный ход стратификации в пограничном слое, играющем важную роль в динамике городского острова тепла. Численные эксперименты показывают, что максимум реакции температуры воздуха городского покрывающего слоя на АПТ достигается ночью.
Эффект ночного увеличения реакции на АПТ по численным экспериментам продолжается иногда и в дневное время. Это связано, по-видимому, с комбинированным действием двух факторов. Во-первых, с сохранением дневных аномалий за счет АПТ. Во-вторых, с подавлением вертикального перемешивания при переходе к устойчивой стратификации после захода Солнца и, в частности, уменьшения толщины атмосферного перемешанного слоя. С другой стороны, АПТ может приводить и к увеличению толщины перемешанного слоя и даже к полному исчезновению ночной приземной инверсии.
Для оценки АПТ, используются несколько основных подхода (см., например, [Гинзбург и др., 2016]): непосредственные (in situ) измерения тепловых потоков, условно говоря, на уровне крыш; инвентаризация и суммирование всех потребителей тепловой и электрической энергии в городе с учетом числа жителей и транспортных средств, протяженности дорог и инженерных коммуникаций; дистанционные спутниковые измерения потоков теплового излучения и выделение антропогенных потоков по локальным метеорологическим данным.
Благодаря развитию информационного моделирования зданий и геоинформационных технологий в последнее время появились методы оценки АПТ–«снизу-вверх», в рамках него оценивается АПТ от каждого здания, полный городской поток тепла получается в результате суммирования по всем зданиям. В работе [Chen et al., 2022] описан метод оценки АПТ, в основе которого применяются модели Building Effect Parameterization (BEP) и Building Energy Model (BEM). Для этого рассматриваются некоторые здания, для которых из различных источников собирается информация об изменении их энергетического баланса с течением времени и вычисляется АПТ, а затем предполагается, что однотипные здания генерируют со временем такой же поток.
Так же используется непосредственное численное моделирование АПТ. Например, в работе [Jin et al., 2021] зимой и летом моделируется АПТ, используя региональную климатическая модель COSMO-CLM с разрешение 1 км, в которую энергетический баланс зданий включен благодаря параметризации Double Canyon Effect Parametrization (DCEP).
В докладе [Ginzburg, Raspletina, 2008] был предложен метод эмпирической оценки антропогенных потоков тепла на урбанизированных территориях на основе анализа национальных статистических данных об энергопотреблении, площади и населении городов, а также составлена база данных об энергопотреблении, площадях и населении крупнейших городских агломераций России и мира. Этот метод был доработан и применен для сравнения средних величин антропогенных потоков тепла в городских агломерациях с помощью построения так называемых агломерационных кругов, сравнимых по площади с другими мегаполисами [Гинзбург и др., 2021] и использован для исследования влияния климатических факторов на энергопотребление больших городов в отопительный сезон [Гинзбург и др. 2016].
В настоящей работе применяется подход, основанный на альтернативной инвентаризации [Гинзбург, Докукин, 2021; Фролькис и др., 2021; Фролькис, Евсиков, 2022], в рамках которой рассчитывается АПТ на основе строительных норм, теплофизических свойств ограждающих конструкций и разности между внутренней и внешней температурами воздуха при помощи веб-картографической платформы OpenStreetMap (OSM) [https://www.openstreetmap.org], и сайта Яндекс Карты [https://yandex.ru/maps-api] которые дают информацию о контурах зданий, этажности, иногда даже о материалах стен и крыш, что позволяет создавать реальную модель застройки региона. С помощью инструментов визуального программирования Grasshopper [Визуальная среда…] в модели застройки задаются теплофизические свойства ограждающих конструкций зданий, температуры внутреннего и наружного воздуха, по ним рассчитывается АПТ от зданий и строится тепловая карта города.
На базе этой информации реализованы два алгоритма. Первый позволяет оценить теплопотери от всех ограждающих конструкций здания. Расчеты производятся по базовому значению требуемого сопротивления теплопередаче ограждающей конструкции (имеет разное значение в зависимости от типа здания, величины «градусо-сутки отопительного периода» (ГСОП), и типа ограждающей конструкции в соответствии с таблицей 3 СП 50.13330.2012 [Свод правил, Тепловая защита зданий]). В основе второго алгоритма лежит расчетное значение удельной характеристики расхода тепловой энергии на отопление и вентиляцию здания [Фролькис, Евсиков, 2022] (имеет разное значение в зависимости от типа здания и количества этажей, в соответствии с табл. 14 в [Свод правил, Тепловая защита зданий]).
МЕТОД ПОСТРОЕНИЯ МОДЕЛИ ЗАСТРОЙКИ ГОРОДА
Разработан алгоритм создания трехмерной модели (по существу, 2.5-мерной модели, описывающей здания как двумерный объект с атрибутами высоты) городской застройки, в основе которого лежат данные открытого веб-картографического ресурса OpenStreetMap (OSM). Проект OSM является online-ресурсом, содержащим информацию о городской топографии, геометрии и материалах зданий, дорогах, зеленых насаждениях и т. п. Платформа OSM позволяет описать точные контуры зданий и в некоторых случаях содержит информацию о высоте и типе здания. Восполнить недостающую информацию о высоте зданий позволяют данные с сайта Яндекс Карты. В итоге остается от 4% (в случае Краснодара) до 26% (в случае Волгограда и Казани) зданий с неопределенной высотой, в среднем для рассматриваемых городов у 17% зданий высота неизвестна. Это, как правило, одноэтажные здания, им присваивается минимально допустимое значение, равное трем метрам.
На языке Python написан скрипт, позволяющий получать на рассматриваемом участке подробную информацию из OSM и хранить ее в популярном векторном формате географических файлов (shapefile). С использованием визуальной среды программирования Grasshopper географические координаты, хранящиеся в shape-файле, преобразуются в прямоугольные координаты программы Rhinoceros [https://www.grasshopper3d.com], которые используются для построения модели зданий. Также из shapefile извлекается информация о типе здания (building, building: part), высоте и этажности (height, building: levels), о материале стен и крыш (building: material, roof: material) и т. п. При отсутствии информации в OSM создан скрипт, использующий информацию из базы данных Яндекс Карты.
Рис. 1. Трехмерная модель центров Москвы (слева) и Санкт-Петербурга (справа).
На основе двухмерной модели с атрибутами строится трехмерную модель зданий города. На рис. 1 приведен пример визуализации моделей центров Москвы и Санкт-Петербурга. Так, в Санкт-Петербурге вдоль Невского проспекта виден Казанский собор с куполом и колоннадой, далее Адмиралтейство с нижней частью центральной башни, Дворцовая площадь с Александрийской колонной, а левее Исаакиевский собор с куполом. Аналогично, на изображенной территории Москвы показано пересечение Нового Арбата с Садовым кольцом (с Новинским бульваром), здания вдоль Нового Арбата, а вдали здания Москва-Сити. Этот рисунок, по крайней мере визуально, показывает высокую точность моделирования городской застройки и, тем самым, подтверждает корректность созданных скриптов.
Для расчетов АПТ строится расчетная сетка с шагом 30 × 30 м². Если какое-либо здание пересекается с несколькими ячейками, то для каждой такой ячейки вычисляется, какую часть ее площади занимает здание. Такой подход позволяет оценить площади стен, крыш и подполья всех зданий города, что необходимо для вычисления АПТ по первому алгоритму, а также объем всех зданий, служащий основой для определения АПТ по второму алгоритму, которые обсуждаются ниже. Несмотря на то, что на плоскости контуры городской застройки описываются аккуратно, точность оценивания высоты строений составляет порядка 80%, что приводит к некоторой погрешности в оценке АПТ.
Рассматриваются две модели застройки: для территории города: в административных границах и для его урбанизированной части. Это связано с тем, что городская застройка, как будет показано ниже, занимает лишь незначительную часть площади в административных границах, а поэтому рассматривать пространственное распределение плотности АПТ в административных границах не целесообразно, так как основная часть территории будет генерировать нулевой поток (или менее 5 Вт/м²). Вследствие этого рассматривается урбанизированная территория – городская застройка со зданиями высотой не менее двух этажей, точнее не ниже 6 м, ее площадь определяется суммарной площадью ячеек сетки, содержащих часть хотя бы одного здания.
Для рассматриваемых городов плотность АПТ с урбанизированной территории превосходит плотность АПТ с территории в рамках административных границ в 4–17 раз. Таким образом, отсечение зданий с высотой меньше шести метров позволяет выделить из территории города урбанизированную территорию, характеризующуюся большой плотностью АПТ и малой площадью, в противовес административной территории с малой плотностью АПТ и большой площадью, при этом АПТ с административной территории вычисляется для всех зданий.
Например, здания, находящиеся на Садовом кольце в Москве, относятся к урбанизированной территории, а дорожное полотно Садового кольца за исключением участков, примыкающих к домам, в нее не попадают, а также не относятся к урбанизированной территории сады, парки, площади, дворы и т. п. Однако при оценке АПТ с административной территории города учитываются все здания.
АЛГОРИТМЫ РАСЧЕТА АНТРОПОГЕННОГО ПОТОКА ТЕПЛА
На базе модели городских зданий производится расчет АПТ с учетом наружной температуры воздуха на основе СП [Cвод правил. Тепловая защита зданий; Свод правил. Строительная климатология] и ГОСТ [Международный стандарт].
Тепловые потери определяются разностью температур наружного воздуха и поверхности ограждающей конструкции здания. Температура поверхности здания зависит от инсоляции, скорости ветра и поступления тепла изнутри здания. В течение отопительного периода в северных широтах зенитный угол Солнца достаточно мал, поэтому солнечным нагревом зданий можно пренебречь. К тому же, если учет инсоляции для отдельно стоящего здания является достаточно простой задачей, то оценить, нагрев массива зданий в масштабе города–достаточно сложная проблема, нерешенная до настоящего времени. В своде правил (см. пункт 6.7) скорость ветра учитывается только при определении коэффициента теплоотдачи в теплый период года [Cвод правил. Тепловая защита зданий], поэтому при нашей оценке АПТ в течение отопительного периода скорость ветра не учитывается.
Теплозащитная оболочка здания должна отвечать следующим требованиям: а) приведенное сопротивление теплопередаче отдельных ограждающих конструкций должно быть не меньше нормируемых значений; б) удельная теплозащитная характеристика здания должна быть не больше нормируемого значения.
Рассматриваются два алгоритма расчета АПТ. Первый алгоритм [Гинзбург и др., 2021; Фролькис и др., 2021] строится на понятиях «градусо-сутки отопительного периода (ГСОП)» и «требуемого сопротивления теплопередаче ограждающих конструкций» Riтр [Cвод правил. Тепловая защита зданий],
ГСОП = (tвн - tот)dот (1)
где tвн – температура воздуха внутри здания, °C, а tот – средняя температура атмосферного воздуха за время отопительного периода, °C, и dот – его продолжительность, сут, взяты из табл. 3.1 в [Свод правил. Строительная климатология].
АПТ от разных частей элементов ограждающих конструкций в j-й ячейке,
(2)
где
(3)
– коэффициент теплопередачи ограждающей конструкции i-й категории (стены, крыши, основания зданий) Вт/(м² · °C), tнар – температура наружного воздуха, °C, Si(t) – суммарная площадь элементов ограждающей конструкции i-й категории в j-й ячейке, м².
Приведенное сопротивление теплопередаче конструкции принимается равным нормируемому сопротивлению теплопередачи, которое согласно формуле (5.1) Свода правил, равно требуемому сопротивлению теплопередачи , причем используются проинтерполированные значения из табл. 3 из Свода правил для жилых зданий, гостиниц и общежитий, в которой не учитываются конкретные материалы и толщина ограждающих конструкций. [Свод правил. Тепловая защита зданий].
Используемый коэффициент требуемого сопротивления теплопередаче ограждающих конструкций» , приведенный в Своде правил, обеспечивает максимально допустимый уровень теплоотдачи, учитывающий наихудшие погодные условия, в том числе ветровую нагрузка и высокую влажность.
АПТ от частей ограждающих конструкций, попадающих в j-ю расчетную ячейку и удовлетворяющих требуемым значениям «нормируемого сопротивления теплопередаче ограждающих конструкций », равен
(4)
Таким образом, АПТ с территории города определяется суммированием по всем N ячейкам
(5)
Тепловые потери через вентиляцию зданий оцениваются в 20% от общих потерь [Подкопаева и др. 2020], поэтому итоговое значение определяется формулой
(6)
Первый алгоритм дает нижнюю оценку для АПТ.
Второй алгоритм [Фролькис, Евсиков, 2022] основан на понятии «Нормируемая (базовая) удельная характеристика расхода тепловой энергии на отопление и вентиляцию здания» , описанном в пункте 10 СП [Свод правил. Тепловая защита зданий].
Расчетное значение удельной характеристики расхода тепловой энергии на отопление и вентиляцию здания не должно превышать нормируемого значения , Вт/(м3 · °C), что позволяет оценить верхнюю границу теплопотерь здания. В [Свод правил. Тепловая защита зданий] приводится таблица 14, определяющая по этажности и типу здания.
Расчет величины АПТ от разных частей зданий, попадающих в j-ю ячейку, осуществляется по формуле:
(7)
где – нормируемое значение удельной характеристики расхода тепловой энергии на отопление и вентиляцию здания i-го типа, Вт/(м3 °C), Vi(j) – объем части здания i-го типа в ячейке j, м3.
АПТ от разных частей зданий, попадающих в j-ю расчетную ячейку, есть
(8)
В итоге получаем значение АПТ для рассматриваемой территории
(9)
Так как при транспортировке тепла к зданиям по магистралям, расположенным под землей, теряется порядка 10% в виде тепловых стоков ΔQg, то АПТ Q в обоих алгоритмах должен быть увеличен на величину теплового стока
(10)
Среднее по региону значение АПТ равно
Q̅f = (11)
где N – число ячеек расчетной сетки, покрывающей изучаемый регион.
Температура воздуха в помещении tвн, принимаемая при расчете ограждающих конструкций (см. (1) и (7)), для жилых зданий, общежитий и гостиниц в соответствии с ГОСТ [Международный стандарт] должна быть в интервале 20–22 °С, для лечебно-профилактических, дошкольных образовательных и общеобразовательных организаций, интернатов в интервале 16–21 °C. В качестве расчетного значения принимается tвн = 20 °С.
Суммарная энергия, излучаемая за отопительный период, в обоих алгоритмах определяется произведением Qf (см. (10)) при tнар = tот на длительность отопительного периода dот и указывается в Дж
(12)
В рамках первого алгоритма для каждого типа ограждающих конструкций (стены, чердачные перекрытия и перекрытия над неотапливаемыми подпольями, светопрозрачные конструкции) присваиваются значения коэффициентов теплопередачи Ki (см. (3)) постоянные для всего города. В отличие от первого, во втором алгоритме каждому зданию присваивается нормируемая удельная характеристика расхода тепловой энергии на отопление и вентиляцию здания , зависящая от типа и высоты здания.
Рассмотрение двух алгоритмов позволяет получить оценку диапазона значений АПТ с территории города. Класс энергоэффективности здания определяется отклонением реального расхода энергии на отопление и вентиляцию от нормируемой величины , поэтому зная класс его энергоэффективности можно уточнить фактический расход энергии. Поскольку в настоящий момент городским зданиям присваиваются классы энергоэффективности, то во втором алгоритме расчета АПТ, явно учитывающим индивидуальные особенности типа здания, также можно уточнить энергопотребление, что делает эту методику более перспективной.
Заметим, что предлагаемая методика использует данные из Свода правил, являющиеся, по сути, средними значениями, полученными в результате обработки большого массива данных. Современные здания должны удовлетворять указанному Своду правил, но дореволюционные здания и здания более позднего периода (до 1929 г согласно [Горшков, Ливчак, 2015]), построенные до появления СНиП и Свода правил, могут им не удовлетворять. Таким образом, результаты, полученные по рассматриваемым алгоритмам, дают лишь порядок величины АПТ.
Результаты моделирования городской застройки и расчета АПТ
Величины АПТ оцениваются для 16 городских агломераций Российской Федерации c численностью населения не менее миллиона человек. При вычислении АПТ современная Москва разделяется на два региона. Первый, собственно Москва, рассматривается в административных границах до 2012 г. Второй, условно называемый Новая Москва, включает себя только новые административные округа Москвы.
В пределах административных границ некоторые здания не излучают тепло. Определить такие здания можно по типу и по площади. К таким зданиям относятся гаражи, стоянки, водонапорные башни, цистерны, элеваторы и т. п. Также к зданиям, не создающим АПТ, относятся здания с площадью меньше 20 м², которые являются либо вспомогательными и не отапливаются, либо дают незначительный вклад в общий поток тепла, поэтому удаляются из модели.
Таблица 1. Геометрические характеристики застройки для административной территории рассматриваемых городских агломераций
Город | Высота, м | Площадь стен, 106 м² | Площадь крыш, 106 м² | Площадь территории, 106 м² | Доля крыш в общей площади, % | |
Среднее | Медиана | |||||
Москва* | 13.1 | 6.0 | 287.2 | 116.8 | 1066.2 | 11.0 |
Новая Москва** | 4.9 | 3.0 | 38.7 | 24.7 | 1491.9 | 1.7 |
Санкт-Петербург | 8.7 | 3.0 | 183.3 | 95.1 | 1451.4 | 6.6 |
Новосибирск | 6.3 | 3.0 | 55.8 | 33.9 | 502.5 | 6.7 |
Екатеринбург | 10.0 | 6.0 | 51.4 | 30.0 | 1147.1 | 2.6 |
Казань | 5.6 | 3.0 | 48.0 | 29.9 | 584.5 | 5.1 |
Нижний Новгород | 6.8 | 3.0 | 41.7 | 28.2 | 319.0 | 8.9 |
Челябинск | 5.5 | 3.0 | 42.8 | 30.3 | 500.5 | 6.1 |
Красноярск | 6.5 | 3.0 | 38.9 | 24.2 | 378.0 | 6.4 |
Самара | 6.8 | 5.0 | 45.1 | 27.1 | 541.4 | 5.0 |
Уфа | 6.2 | 3.0 | 33.9 | 19.7 | 653.8 | 3.0 |
Ростов-на-Дону | 4.5 | 3.0 | 41.3 | 24.7 | 342.8 | 7.2 |
Омск | 4.8 | 3.0 | 40.7 | 29.5 | 563.9 | 5.2 |
Краснодар | 6.3 | 4.0 | 42.8 | 23.4 | 366.4 | 6.4 |
Воронеж | 6.1 | 4.0 | 47.1 | 26.4 | 595.8 | 4.4 |
Пермь | 5.8 | 3.0 | 38.6 | 24.4 | 799.6 | 3.1 |
Волгоград | 4.7 | 3.0 | 37.6 | 26.9 | 862.3 | 3.1 |
*Москва в административных границах до 2012 г.**Районы новой Москвы.
Применение модели застройки к перечисленным ниже городам показало, что площадь городской застройки составляет порядка 10% от площади административной территории города (см. табл. 1), т. е. 90% административной территории практически не генерируют АПТ. Что касается новой Москвы, то 95% территории в пределах административных границ не создают АПТ и 5% генерируют АПТ в интервале от 5 до 20 Вт/м².
При рассмотрении урбанизированной территории, т. е. когда отсекаются одноэтажные здания и незастроенная территория, площадь застройки занимает порядка 30% ее территории для всех рассматриваемых городов (см. табл. 2).
Таблица 2. Геометрические характеристики застройки для урбанизированных районов рассматриваемых городских агломераций
Город | Высота, м | Площадь стен, 106 м² | Площадь крыш, 106 м² | Площадь территории, 106 м² | Доля крыш в общей площади, % | |
Среднее | Медиана | |||||
Москва* | 24.5 | 15.0 | 262.9 | 83.1 | 278.9 | 29.8 |
Новая Москва** | 15.9 | 9.0 | 20.1 | 8.1 | 28.5 | 28.5 |
Санкт-Петербург | 19.3 | 15.0 | 158.4 | 65.1 | 200.2 | 32.5 |
Новосибирск | 19.9 | 15.0 | 41.1 | 16.5 | 55.0 | 29.9 |
Екатеринбург | 21.1 | 15.0 | 42.2 | 17.4 | 56.7 | 30.6 |
Казань | 19.1 | 15.0 | 31.9 | 13.2 | 43.4 | 30.5 |
Нижний Новгород | 17.2 | 15.0 | 31.0 | 15.3 | 48.8 | 31.3 |
Челябинск | 18.8 | 15.0 | 30.5 | 15.3 | 45.9 | 33.4 |
Красноярск | 21.1 | 15.0 | 29.8 | 11.8 | 39.7 | 29.9 |
Самара | 15.0 | 10.0 | 32.5 | 13.8 | 47.6 | 28.9 |
Уфа | 20.4 | 15.0 | 24.9 | 10.1 | 33.6 | 30.0 |
Ростов-на-Дону | 19.8 | 15.0 | 24.6 | 8.4 | 27.9 | 30.4 |
Омск | 15.9 | 15.0 | 25.8 | 12.2 | 41.0 | 29.8 |
Краснодар | 21.4 | 15.0 | 28.8 | 9.6 | 32.2 | 29.9 |
Воронеж | 13.5 | 9.0 | 31.4 | 12.2 | 41.7 | 29.4 |
Пермь | 18.7 | 15.0 | 26.7 | 11.6 | 39.1 | 29.7 |
Волгоград | 16.9 | 15.0 | 20.8 | 9.1 | 32.1 | 28.4 |
*,** см. Табл. 1
Для Москвы и Санкт-Петербурга суммарная площадь стен и крыш на урбанизированной территории составляет соответственно 90% и 70% от площади стен и крыш на административной территории. Аналогично, для остальных рассматриваемых городов на урбанизированной территории площадь стен и крыш находится соответственно в пределах от 60 до 80% и от 35 до 60% по сравнению с площадью стен и крыш на административной территории. Только для Ростова-на-Дону, Омска и Краснодара площадь крыш на урбанизированной территории не превышает 40% от общей площади крыш в рамках административных границ. Это связано с большим количеством домов, относящихся к частному сектору.
Таким образом, распределение плотности АПТ по территории целесообразно оценивать только для урбанизированной ее части, а полный АПТ вычислять как в рамках административных границ, так и по урбанизированной территории.
Для административной и урбанизированной территорий по первому и второму алгоритмам в табл. 3
Таблица 3. Плотность АПТ (Вт/м²) с административной и урбанизированной территории по первому и второму алгоритмам при температуре наружного воздуха, равной средней температуре отопительного сезона tот с продолжительностью dот
Город | tот, °C | dот, сут | Административные границы | Урбанизированная территория | ||
Алгоритм 1 | Алгоритм 2 | Алгоритм 1 | Алгоритм 2 | |||
Москва* | –2.2 | 204 | 6.1 | 14.0 | 20.1 | 48.4 |
Новая Москва** | –2.2 | 204 | 0.7 | 1.2 | 15.9 | 38.8 |
Санкт-Петербург | –1.2 | 211 | 3.0 | 6.5 | 17.5 | 41.3 |
Новосибирск | –7.9 | 222 | 3.1 | 7.3 | 18.3 | 51.9 |
Екатеринбург | –5.5 | 220 | 1.2 | 2.8 | 17.8 | 47.3 |
Казань | –4.7 | 207 | 2.2 | 4.6 | 17.7 | 44.6 |
Нижний Новгород | –3.6 | 209 | 3.6 | 7.7 | 15.6 | 39.0 |
Челябинск | –6.6 | 212 | 2.5 | 5.5 | 17.5 | 45.5 |
Красноярск | –6.6 | 234 | 2.7 | 8.1 | 17.5 | 60.8 |
Самара | –4.7 | 196 | 2.3 | 4.8 | 17.0 | 41.4 |
Уфа | –5.9 | 209 | 1.4 | 3.2 | 18.1 | 48.6 |
Ростов-на-Дону | 0 | 167 | 3.2 | 4.7 | 19.9 | 39.1 |
Омск | –8.1 | 216 | 2.2 | 4.6 | 16.5 | 43.4 |
Краснодар | 2.7 | 146 | 2.9 | 4.5 | 19.5 | 36.3 |
Воронеж | –2.4 | 190 | 2.1 | 3.7 | 17.7 | 37.9 |
Пермь | –5.4 | 225 | 1.3 | 2.8 | 16.1 | 42.9 |
Волгоград | –2.3 | 176 | 1.3 | 2.1 | 16.1 | 35.1 |
*,** см. Табл. 1
Свода правил при средней температуре отопительного сезона tот [Свод правил, Тепловая защита зданий] приведены плотность АПТ и полный за отопительный период АПТ. Плотность АПТ с урбанизированной территории в 4–17 раз больше, чем с административной, для Москвы и Санкт-Петербурга такое превышение составляет порядка 6–7 раз, максимальное различие (более 12 раз) в Екатеринбурге, Уфе, Перми и Волгограде, минимальное (4–5 раз) в Нижнем Новгороде. Полный АПТ с урбанизированной территории по обоим алгоритмам для Москвы и Санкт-Петербурга порядка 80–90% по сравнению с территорией, ограниченной административными границами. По первому алгоритму такими минимальными значениями характеризуются Ростов-на-Дону (51%) и Волгоград (47%), по второму – Волгоград (62%). Кроме столиц максимальная доля АПТ с урбанизированной территории приходится на Екатеринбург, соответственно 74 и 82%, как по первому, так и по второму алгоритмам. Для остальных городов АПТ с урбанизированной территории составляет 55–65% и 67–80% по обоим алгоритмам. За исключением Москвы и Санкт-Петербурга энергия, генерируемая рассматриваемыми городами с административной территории, находится в интервалах 13.5–29.7 1015 Дж по первому и 20.6–70.7 1015 Дж по второму алгоритмам.
Таблица 4. Плотность АПТ во время отопительного периода по первому и второму алгоритмам
Город | Административные границы Q1, Вт/(м²·°C) | Урбанизированная территория | ||||||
Q2, Вт/м² | ||||||||
Q1, Вт/(м²·°C) | 0 °C | –10 °C | 0 °C | –10 °C | ||||
Алг. 1 | Алг. 2 | Алг. 1 | Алг. 2 | Алгоритм 1 | Алгоритм 2 | |||
Москва* | 0.27 | 0.63 | 0.90 | 2.18 | 18.1 | 27.1 | 43.6 | 65.4 |
Новая Москва** | 0.03 | 0.05 | 0.72 | 1.75 | 14.4 | 21.5 | 34.9 | 52.4 |
Санкт-Петербург | 0.14 | 0.31 | 0.83 | 1.95 | 16.5 | 24.8 | 39.0 | 58.5 |
Новосибирск | 0.11 | 0.26 | 0.66 | 1.86 | 13.1 | 19.7 | 37.2 | 55.9 |
Екатеринбург | 0.05 | 0.11 | 0.70 | 1.85 | 14.0 | 20.9 | 37.1 | 55.6 |
Казань | 0.09 | 0.19 | 0.72 | 1.80 | 14.3 | 21.5 | 36.1 | 54.1 |
Нижний Новгород | 0.15 | 0.33 | 0.66 | 1.65 | 13.2 | 19.8 | 33.0 | 49.6 |
Челябинск | 0.10 | 0.21 | 0.66 | 1.71 | 13.2 | 19.8 | 34.2 | 51.3 |
Красноярск | 0.10 | 0.30 | 0.66 | 2.29 | 13.2 | 19.8 | 45.7 | 68.6 |
Самара | 0.09 | 0.20 | 0.69 | 1.67 | 13.8 | 20.7 | 33.5 | 50.2 |
Уфа | 0.05 | 0.12 | 0.70 | 1.88 | 13.9 | 20.9 | 37.5 | 56.3 |
Ростов-на-Дону | 0.16 | 0.24 | 0.99 | 1.95 | 19.9 | 29.8 | 39.1 | 58.6 |
Омск | 0.08 | 0.16 | 0.59 | 1.54 | 11.7 | 17.6 | 30.9 | 46.3 |
Краснодар | 0.17 | 0.26 | 1.13 | 2.10 | 22.5 | 33.8 | 42.0 | 62.9 |
Воронеж | 0.09 | 0.16 | 0.79 | 1.69 | 15.8 | 23.7 | 33.8 | 50.7 |
Пермь | 0.05 | 0.11 | 0.63 | 1.69 | 12.7 | 19.0 | 33.8 | 50.7 |
Волгоград | 0.06 | 0.09 | 0.72 | 1.57 | 14.4 | 21.6 | 31.4 | 47.2 |
Q1 – АПТ при разности температуры в tвн–tнар = 1 °C; Q2 – АПТ при наружной температуре воздуха tнар равной 0 °C и –10 °C;*,** см. Табл. 1
АПТ с урбанизированной территории для первого и второго алгоритмов приведены в табл. 4, где Q1 (Вт/(м² · °C)) – АПТ с одного квадратного метра при tвн – tнар = 1 °C; Q2 (Вт/м²) – плотность АПТ при наружной температуре воздуха, равной 0 °C и -10 °C. Краснодар и Ростов-на-Дону характеризуются максимальными значениями Q1, далее следуют Москва и Санкт-Петербург, а для остальных рассматриваемых городов Q1 находится в диапазоне 0.6–0.7 Вт/(м² · °C). Величина Q1 по первому алгоритму примерно в два раза меньше, чем по второму алгоритму. Это связано с тем, что требуемое сопротивления теплопередаче ограждающих конструкций обеспечивает меньшее значение АПТ по сравнению с нормируемым значением . Умножив Q1 на фактическую разность температур между внутренним и наружным воздухом (см. (2) и (7)), можно оценить соответствующую плотность АПТ.
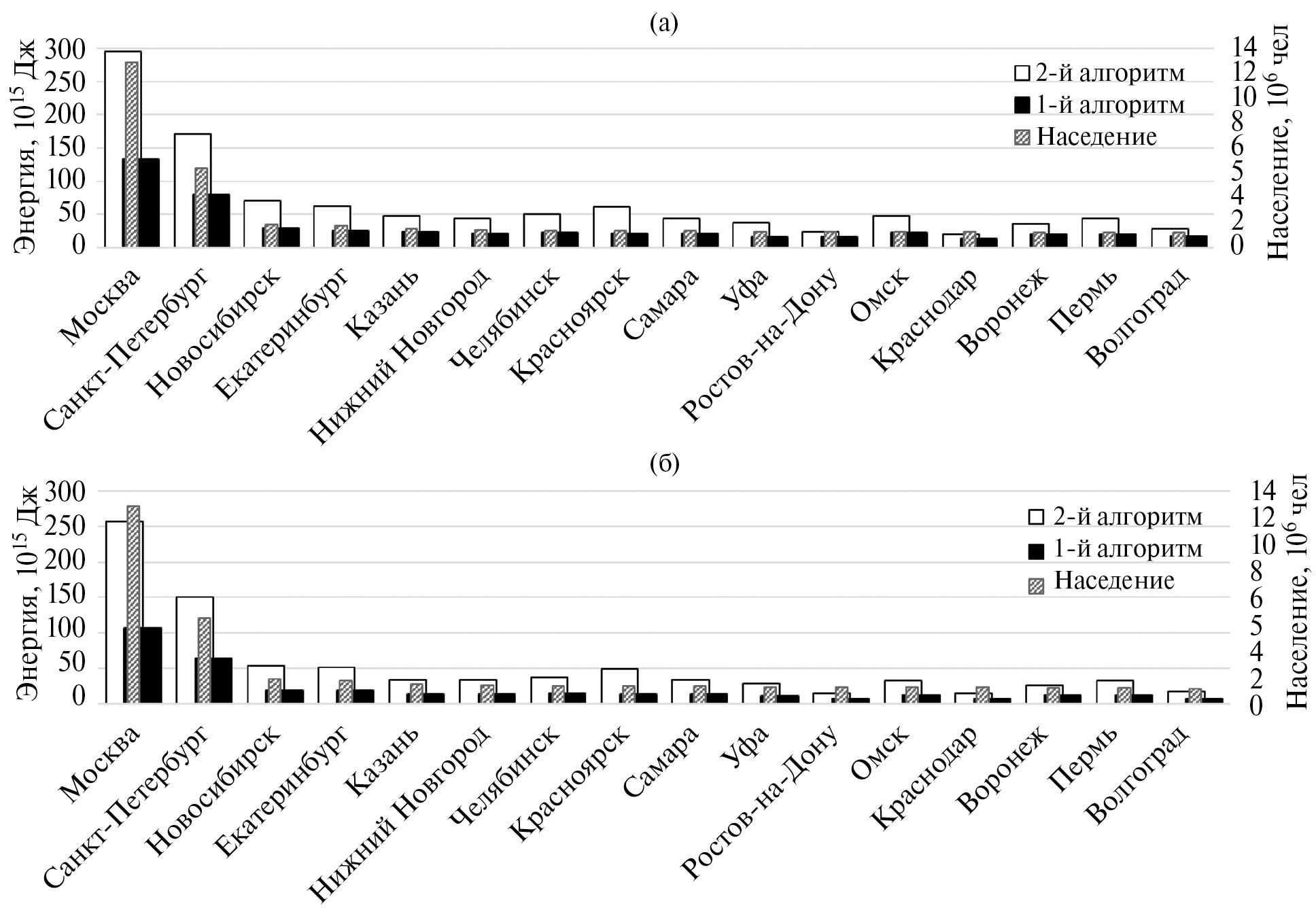
Рис. 2. (а) — антропогенная энергия, обусловленная отоплением и вентиляцией, за отопительный период QΣ с территории в рамках административных границ при tнар = tот; (б) — антропогенная энергия, обусловленная отоплением и вентиляцией, за отопительный период QΣ для урбанизированной территории при tнар = tот
На рис. 2 представлена гистограмма эмиссии энергии из-за отопления и вентиляции QΣ (см. (12)) за отопительный период при tнар = tот с территории в рамках административных границ (а) и урбанизированных территорий (б) российских мегаполисов.
Распределения плотности АПТ с урбанизированных территорий рассматриваемых городов при наружной температуре воздуха, равной средней температуре отопительного периода tот, приведены в табл. 5.
Таблица 5. Распределение (в %) плотности АПТ с урбанизированной территории при наружной температуре воздуха tнар, равной средней температуре отопительного периода tот (см. табл. 3), по первому и второму алгоритмам
Плотность АПТ (Вт/м²) | Алгоритм 1 | Алгоритм 2 | ||||||||
0–5 | 5–20 | 20–50 | 50–100 | >100 | 0–5 | 5–20 | 20–50 | 50–100 | >100 | |
Москва* | 13.2 | 48.9 | 32.0 | 5.7 | 0.2 | 14.8 | 20.4 | 28.0 | 24.6 | 12.2 |
Новая Москва** | 19.3 | 57.4 | 19.0 | 4.1 | 0.1 | 19.1 | 27.8 | 26.2 | 17.0 | 9.9 |
Санкт-Петербург | 14.3 | 54.3 | 28.2 | 3.1 | 0.1 | 15.3 | 22.1 | 30.5 | 24.8 | 7.3 |
Новосибирск | 13.2 | 52.3 | 31.3 | 3.2 | 0.1 | 13.5 | 19.4 | 27.1 | 25.7 | 14.3 |
Екатеринбург | 14.9 | 54.3 | 27.1 | 3.6 | 0.2 | 15.2 | 20.9 | 28.3 | 23.8 | 11.7 |
Казань | 12.9 | 54.7 | 29.8 | 2.6 | 0.0 | 14.0 | 22.1 | 29.1 | 24.8 | 10.1 |
Нижний Новгород | 16.2 | 57.9 | 24.6 | 1.3 | 0.0 | 15.9 | 23.0 | 30.0 | 24.3 | 6.7 |
Челябинск | 11.9 | 57.1 | 29.1 | 1.9 | 0.0 | 13.3 | 19.9 | 27.6 | 29.7 | 9.5 |
Красноярск | 14.6 | 54.0 | 28.5 | 2.8 | 0.1 | 12.7 | 17.5 | 24.0 | 26.3 | 19.4 |
Самара | 15.6 | 53.8 | 27.7 | 2.8 | 0.1 | 15.9 | 24.3 | 28.6 | 22.4 | 8.8 |
Уфа | 14.0 | 51.7 | 31.4 | 2.8 | 0.1 | 14.6 | 20.6 | 27.2 | 25.0 | 12.6 |
Ростов-на-Дону | 10.3 | 51.5 | 33.6 | 4.4 | 0.2 | 13.8 | 24.3 | 34.8 | 20.9 | 6.2 |
Омск | 14.0 | 55.5 | 29.1 | 1.3 | 0.0 | 14.8 | 21.2 | 27.9 | 26.9 | 9.3 |
Краснодар | 12.1 | 52.4 | 30.0 | 5.4 | 0.1 | 16.2 | 27.8 | 32.1 | 16.7 | 7.2 |
Воронеж | 13.9 | 56.2 | 26.1 | 3.8 | 0.1 | 15.6 | 27.9 | 28.2 | 21.4 | 6.9 |
Пермь | 15.8 | 56.8 | 25.2 | 2.2 | 0.0 | 15.7 | 21.7 | 29.1 | 24.5 | 9.0 |
Волгоград | 16.8 | 54.0 | 27.7 | 1.4 | 0.0 | 18.1 | 24.3 | 30.8 | 21.7 | 5.1 |
*,** см. Табл. 1
Она показывает, какой процент урбанизированной территории генерирует АПТ в диапазонах 0–5, 5–20, 20–50, 50–100 (Вт/м²) и более 100 Вт/м². В расчете по первому алгоритму по совокупности изучаемых городов: 10–20% урбанизированной территории генерируют АПТ до 5 Вт/м², 49–58% создают 5–20 Вт/м², 19–34% порождают 20–50 Вт/м², 1–6% приводят к потоку тепла 50–100 Вт/м² и менее 0.1% производят более 100 Вт/м². При расчете по второму алгоритму гистограмма распределения плотности АПТ смещается вправо: 13–16% площади урбанизированной территории обеспечивают до 5 Вт/м², 18–28% до 17–28 Вт/м², 24–35% до 20–50 Вт/м², 17–30% до 50–100 Вт/м² и от 5–19% территории генерируют более 100 Вт/м².
В таблице 6 приведены результаты расчета гистограммы распределения суммарного АПТ (в %) QΣ с урбанизированной территории за отопительный период для городских участков, характеризуемых плотностью АПТ (Вт/м²), указанной в табл. 5, при наружной температуре воздуха (см. табл. 3) по первому и второму алгоритмам. Приведенные оценки показывают, какой процент QΣ генерируются городскими участками с рассматриваемой плотностью АПТ. В рамках первого алгоритма урбанизированная территории, создающая АПТ с плотностью: 0–5 Вт/м² производит 1–3% от суммарного АПТ QΣ; 5–20 Вт/м² создают 31–48% QΣ; 20–50 Вт/м² порождают 19–34% QΣ; 50–100 Вт/м² производят 1–6% QΣ и АПТ с плотностью более 100 Вт/м² производят 0–0.1% QΣ. При расчете по второму алгоритму гистограмма распределения суммарного АПТ QΣ смещается вправо: 0–5 Вт/м² составляет 13–16% от суммарного АПТ QΣ; 5–20 Вт/м² приходится на 18–28% QΣ; 20–50 Вт/м² составляют 24–35% от QΣ; 50–100 Вт/м² обеспечивают 17–30% QΣ и АПТ с плотностью более 100 Вт/м² приводит к 5–19% суммарного АПТ QΣ.
На рис. 3–6 показаны карты распределения плотности АПТ на урбанизированных территориях Москвы, Санкт-Петербурга, Новосибирска и Екатеринбурга при наружной температуре воздуха tнар, равной tот, по а) алгоритму 1 и б) алгоритму 2.
Рис. 3. Карты распределения плотности АПТ (Вт/м²) с урбанизированных территорий Москвы при наружной температуре воздуха tнар, равной средней температуре отопительного периода tот, по алгоритму 1 (слева) и алгоритму 2 (справа).
Рис. 4. То же, что на рис. 3, для Санкт-Петербурга.
Рис. 5. То же, что на рис. 3, для Новосибирска.
Рис. 6. То же, что на рис. 3, для Екатеринбурга.
Приведенные карты показывают, что центры городов характеризуются максимальным тепловым загрязнением, позволяют определить районы с максимальными значениями АПТ и сформулировать для них мероприятия по усовершенствованию энергоснабжения или теплоизоляции соответствующих зданий. Эти результаты будут полезны при определении краевых условий для уравнения переноса тепла в городской атмосфере. Карты плотности АПТ для остальных рассматриваемых городов будут опубликованы в Трудах ГГО им. А. И. Воейкова.
Таблица 6. Распределение (в %)*** суммарного АПТ QΣ с урбанизированной территории за отопительный период для городских участков, генерирующих АПТ с указанной в табл. 5 плотностью, при наружной температуре воздуха tнар, равной tот(см. табл. 3), по первому и второму алгоритмам
Плотность АПТ (Вт/м²) | Алгоритм 1 | Алгоритм 2 | ||||||||
0–5 | 5–20 | 20–50 | 50–100 | >100 | 0–5 | 5–20 | 20–50 | 50–100 | >100 | |
Москва* | 1.6 | 31.2 | 47.5 | 18.2 | 1.5 | 0.6 | 5.0 | 19.6 | 35.9 | 38.9 |
Новая Москва** | 3.1 | 43.9 | 36.2 | 16.2 | 0.7 | 0.9 | 8.5 | 22.1 | 30.6 | 37.9 |
Санкт-Петербург | 2.0 | 39.7 | 46.5 | 11.3 | 0.5 | 0.7 | 6.4 | 25.1 | 41.0 | 26.7 |
Новосибирск | 1.8 | 36.6 | 50.1 | 10.9 | 0.6 | 0.5 | 4.5 | 17.9 | 34.9 | 42.2 |
Екатеринбург | 2.1 | 39.5 | 44.3 | 12.8 | 1.3 | 0.6 | 5.4 | 20.4 | 34.9 | 38.8 |
Казань | 1.9 | 39.6 | 49.1 | 9.3 | 0.2 | 0.6 | 6.0 | 22.1 | 38.5 | 32.9 |
Нижний Новгород | 1.7 | 47.6 | 45.4 | 5.2 | 0.1 | 0.8 | 7.1 | 26.0 | 42.3 | 23.9 |
Челябинск | 1.7 | 43.1 | 48.3 | 6.6 | 0.3 | 0.5 | 5.3 | 20.6 | 45.2 | 28.3 |
Красноярск | 2.1 | 39.1 | 48.2 | 10.1 | 0.5 | 0.4 | 3.4 | 13.5 | 31.1 | 51.6 |
Самара | 2.3 | 40.1 | 46.7 | 10.3 | 0.7 | 0.7 | 7.0 | 23.3 | 37.3 | 31.7 |
Уфа | 1.9 | 36.6 | 50.8 | 9.9 | 0.7 | 0.5 | 5.1 | 19.0 | 35.8 | 39.6 |
Ростов-на-Дону | 1.4 | 33.4 | 49.8 | 14.6 | 0.8 | 0.7 | 7.5 | 30.5 | 36.6 | 24.6 |
Омск | 2.2 | 43.1 | 50.0 | 4.7 | 0.1 | 0.6 | 5.9 | 21.8 | 43.1 | 28.5 |
Краснодар | 1.6 | 34.1 | 46.1 | 17.7 | 0.4 | 0.9 | 9.2 | 29.4 | 31.8 | 28.6 |
Воронеж | 2.0 | 40.5 | 43.4 | 13.3 | 0.7 | 0.8 | 9.0 | 24.5 | 39.2 | 26.5 |
Пермь | 2.4 | 44.5 | 44.2 | 8.6 | 0.2 | 0.7 | 6.1 | 23.0 | 39.6 | 30.7 |
Волгоград | 2.6 | 42.6 | 49.0 | 5.7 | 0.1 | 0.9 | 8.3 | 29.6 | 41.8 | 19.4 |
*,** см. Табл. 1;*** Соответствующий суммарный АПТ QΣ приведен в табл. 3
Среднее значение АПТ по Москве составляет порядка 55.9 Вт/м² [Гинзбург и др., 2011]. По оценкам, полученным по модели COSMO-CLM [Гинзбург, Докукин, 2021] АТП в разных районах Москвы находится в интервале 27–75 Вт/м²: в окрестности МКАД примерно 27 Вт/м²; на некоторых территориях, примыкающих к Садовому кольцу, в 70–75 Вт/м²; на остальных территориях 40–45 Вт/м²; для разных районов Санкт-Петербурга на побережье Финского залива и на территориях, примыкающих к центру города, порядка 27–30 Вт/м², а в центральных районах 45–55 Вт/м². Эти оценки, основанные на учете суммарного энергопотребления, являются оценками сверху, они согласуются с предлагаемой методикой, если учесть, что полученные нами результаты являются оценками снизу.
ЗАКЛЮЧЕНИЕ
Рассмотренные в статье методы расчета АПТ основаны на предположении, что все здания городов России соответствуют современным строительным нормам по теплоизоляции, что в действительности не всегда так, особенно в случае старых зданий. В настоящее время всем новым зданиям и зданиям, прошедшим реконструкцию или капитальный ремонт, присваивают класс энергоэффективности, используя который можно повысить точность оценки АПТ во втором алгоритме, т. к. в его основе лежит нормируемая (базовая) характеристика, отклонение от которой определяет класс энергоэффективности.
Предложенный в данной работе подход позволяет с высоким разрешением оценивать распределение АПТ по территории города и необходимые энергозатраты на отопление зданий при различных внутренней и наружной температурах воздуха, а также анализировать степень избыточного отопления при неэффективном управлении энергоснабжающими организациями, вычисляя АПТ по реальным значениям температуры. Это должно позволить в дальнейшем оценить экономический и экологический эффекты от использования различных строительных материалов.
Существует линейная зависимость между сгенерированной антропогенной энергией (в 1015Дж) за отопительный период при температуре наружного воздуха tнар, равной tот, и количеством населения в рассматриваемых городах (в миллионах человек). Коэффициент линейной регрессии равен 9.864 ГДж/чел (R² = 0.97) по первому алгоритму и 22.12 ГДж/чел (R² = 0.97) по второму алгоритму. Если из выборки исключить обе столицы, то коэффициент регрессии удваивается по первому и утраивается по второму алгоритму (коэффициент детерминации уменьшается до уровня 0.6). В свою очередь наблюдается линейная зависимость между численностью населения и объемами зданий городской застройки (коэффициент линейной регрессии 167.4 м3/чел, R² = 0.98). Отсюда можно сделать вывод, что бо́льшая энергоэффективность городской застройки в столицах, скорее всего, создается за счет эффективного коэффициента компактности зданий (отношение площади внутренних поверхностей ограждающих конструкций к заключенному в них отапливаемому объему), т. е. более высотной застройкой – незначительным количеством малоэтажных зданий.
Этот же вывод подтверждается «вторичной» линейной зависимостью между антропогенной энергией и суммарным объемом зданий города. В этом случае коэффициент линейной регрессии по первому алгоритму равен 58.93 МДж/м3 (R² = 0.99) и 132.1 МДж/м3 (R² = 0.98) по второму. При удалении из выборки Москвы и Санкт-Петербурга эти коэффициенты увеличиваются в 1.29 и 1.74 раза, что так же объясняется увеличением эффективного коэффициента компактности зданий.
Города с миллионным населением, кроме Москвы и Санкт-Петербурга, в течение отопительного периода при температуре наружного воздуха tнар, равной tот, генерируют антропогенную энергию при расчете по обоим алгоритмам в диапазоне от нижней границы 13.5–20.6 1015 Дж до верхней границы 29.7–70.7 1015 Дж, объединенная Москва производит от 132.1 до 291.4 1015 Дж, а Санкт-Петербург от 79.3 до 171.7 1015 Дж. Заметим, что население Москвы в 2.32 раза больше населения Санкт-Петербург, но при этом Москва создает антропогенное тепло в 1.7 раза больше северной столицы. Такое соотношение можно объяснить тем, что суммарный объем зданий в Москве в 1.7 раза больше, чем Санкт-Петербурге, а отсюда следует, что количество антропогенной энергии, в конечном счете, определяется общим объемом зданий города.
Карты плотности АПТ (рис. 3–6) позволяют уточнить составляющие уравнения теплового баланса при моделировании региональной атмосферы или городского пограничного слоя.
Исследование выполнено при поддержке важнейшего инновационного проекта государственного значения (ВИП ГЗ) «Единая национальная система мониторинга климатически активных веществ» (распоряжение Правительства РФ от 29 октября 2022 г. № 3240-р) в рамках НИР «Расширение системы климатического и экологического мониторинга и прогнозирования на территории России в целях обеспечения адаптационных решений в отраслевом и региональном разрезе, включая борьбу с опустыниванием».
About the authors
V. A. Frolkis
Voeikov Main Geophysical Observatory; Saint Petersburg State University of Economy
Author for correspondence.
Email: vfrolkis@gmail.com
Russian Federation, Karbysheva str., 7, Saint Petersburg, 194021; Sadovaya str., 21, Saint Petersburg, 191023
I. A. Evsikov
Saint Petersburg State University of Architecture and Civil Engineering; Voeikov Main Geophysical Observatory
Email: shtudila@ya.ru
Russian Federation, Vtoraya Krasnoarmeiskaya str., 4, Saint Petersburg, 190005; Karbysheva str., 7, Saint Petersburg, 194021
A. S. Ginzburg
Obukhov Institute of Atmospheric Physics, Russian Academy of Sciences
Email: gin@ifaran.ru
Russian Federation, Pyzhevsky per., 3, Moscow, 119017
References
- Визуальная среда программирования Grasshopper–URL: https://www.grasshopper3d.com/ (дата обращения: 30.03.2024).
- Гинзбург А. С., Белова И. Н., Расплетина Н. В. Антропогенные потоки тепла в городских агломерациях // ДАН. 2011. Т. 439. № 2. С. 256–259.
- Гинзбург А. С., Докукин С. А. Влияние теплового загрязнения атмосферы на климат города (оценки с помощью модели COSMO-CLM) // Известия Российской академии наук. Физика атмосферы и океана. 2021. Т. 57, № 1. С. 53–66.doi: 10.31857/S000235152101005.
- Гинзбург А. С., Евсиков И. А., Фролькис В. А. Зависимость антропогенного потока тепла от температуры воздуха (на примере Санкт-Петербурга) // Известия РАН, сер. Физика атмосферы и океана. 2021. Т. 57. № 5. С. 526–538.
- Гинзбург А. С., Решетарь О. А., Белова И. Н. Влияние климатических факторов на энергопотребление в отопительный сезон // Теплоэнергетика. 2016. № 9. С. 20–27.
- Горшков А.С, Ливчак В. И. История, эволюция и развитие нормативных требований к ограждающим конструкциям // Строительство уникальных зданий и сооружений. 2015. № 3(30). С. 7–37.
- Межгосударственный стандарт. Здания жилые и общественные. Параметры микроклимата в помещениях (ГОСТ 30494–2011). – URL: http://docs.cntd.ru/document/1200095053 (дата обращения: 30.03.2024).
- Подкопаева Е.В, Шехватова А. Н., Семенова Э. Е. Исследование ограждающих кон-струкций общественных зданий // Научный журнал. Инженерные системы и сооружения. 2020. № 3–4 (41–42). С. 6–11.
- Свод правил. Тепловая защита зданий (СП 50.13330.2012). URL: http://docs.cntd.ru/document/ 1200095525 (дата обращения: 30.03.2024).
- Свод правил. Строительная климатология (СП 131.13330.2012). URL: http://docs.cntd.ru/document/ 1200095546 (дата обращения: 30.03.2024).
- Фролькис В. А., Гинзбург А. С., Евсиков И. А. Оценка антропогенного потока тепла, создающего городской покрывающий слой, на основе «OpenStreetMap» // Сборник трудов. «Международный симпозиум атмосферная радиация и динамика» (МСАРД-21), СПб., 29 июня-02 июля 2021. СПб.: изд-во ВВМ, 2021. C. 128–134.
- Фролькис В. А., Евсиков И. А. Расчет антропогенного потока тепла за период отопительного сезона в мегаполисе (на примере Санкт-Петербурга) // ENVIROMIS2022. С. 395–398.
- Яндекс Карты – URL: https://n.maps.yandex.ru/ (дата обращения: 30.03.2024).
- Allen L., Lindberg F., Grimmond C. S.B. Global city scale urban anthropogenic heat flux: model and variability // Int. J. Climatol. 2011. V. 31. P. 1990–2005.
- Chen W., Zhou Y., Xie Y., Chen G., Ding K. J., Li D. Estimating spatial and temporal patterns of urban building anthropogenic heat using a bottom-up city building heat emission model // Resources, Conservation and Recycling. 2022. V.177
- Ginzburg A., Raspletina N. Anthropogenic heat fluxes estimation for metropolitan areas and urban regions // In: Geophys. Res. Abstr. EGU General Assembly. Vienna, 2008. V. 10. EGU2008_A_02526; SRef_ID: 1607_7962/gra/.
- Hidalgo J., Masson V., Baklanov A., Pigeon G., Gimeno L. Advances in Urban Climate Modeling // Annals of the New York Academy of Sciences. 2008. V.1146(1). P. 354–374. https://doi.org/10.1196/annals.1446.015 (дата обращения: 30.03.2024). http://docs.cntd.ru/document/1200095525 (дата обращения: 30.03.2024).
- Jin L., Schubert S., Fenner D., Meier F., Schneider C. Integration of a Building Energy Model in an Urban Climate Model and its Application // Boundary-Layer Meteorology. 2021. V.178(2), 249–281. https://doi.org/10.1007/S10546–020–00569-Y/TABLES/6.
- OpenStreetMap – URL: https://www.openstreetmap.org (дата обращения: 01.11.2023).
- Rhinoceros – URL: https://www.rhino3d.com/ (дата обращения: 01.11.2023).
- Varentsov M., Konstantinov P., Baklanov A., Esau I., Miles V., Davy R. Anthropogenic and natural drivers of a strong winter urban heat island in a typical Arctic city // Atmos. Chem. Phys. 2018. V.18. P. 17573–1758.
- Varentsov M., Samsonov T., Demuzere M. Impact of Urban Canopy Parameters on a Megacity’s Modelled Thermal Environment // Atmosphere. 2020. V 11(12). 1349. https://doi.org/10.3390/atmos11121349
Supplementary files









