Two-Dimensional Surface Periodic Flows of an Incompressible Fluid in Various Models of the Medium
- Authors: Ochirov A.A.1, Chashechkin Y.D.1
-
Affiliations:
- Ishlinsky Institute for Problems in Mechanics RAS
- Issue: Vol 60, No 1 (2024)
- Pages: 3-16
- Section: Articles
- URL: https://bakhtiniada.ru/0002-3515/article/view/261246
- DOI: https://doi.org/10.31857/S0002351524010012
- ID: 261246
Cite item
Full Text
Abstract
A comparative analysis of the properties of two-dimensional infinitesimal periodic perturbations propagating over the incompressible fluid surface in various representations of the medium density profiles is carried out. Stratified and homogeneous in density viscous or ideal liquids are considered. Calculations are carried out by methods of the theory of singular perturbations. Dispersion relations and dependences of phase and group velocities for surface waves in physically observed variables are given. The change in the meaning of dispersion relations during the transition from ideal liquids to viscous and from homogeneous to stratified is shown. Taking into account the influence of electric charge does not qualitatively change the nature of two-dimensional dispersion relations. An increase in the surface density of the electric charge leads to a decrease in the wavelength at a fixed frequency and has no noticeable effect on the fine structure of the periodic flow.
Full Text
1. ВВЕДЕНИЕ
Исследования колебаний и волн в жидкостях, описания которых восходят к доисторическим временам, сохраняют свою актуальность вследствие научной содержательности предмета и важности практических приложений применительно к динамике атмосферы, океана и взаимодействия сред. Результаты изучения волн активно используются в других разделах науки, прежде всего в математике и механике. Исторически исследования были ориентированы на идентификацию и определение свойств отдельных типов волн – вначале гравитационных и акустических, затем внутренних в толще жидкости на поверхностях разрыва плотности или при ее непрерывном изменении, позднее – капиллярных, инерционных и гибридных. На основе описаний отдельных волновых процессов на поверхности однородной жидкости, приведенных в известных трактатах [Лэмб, 1949; Кочин и др., 1963; Ландау, Лифшиц, 1944; Ле Блон, Майсек, 1981] и многих других, составлялись методики проведения экспериментов в лабораторных и натурных условиях и интерпретации их результатов.
Следует отметить, что уже в основополагающих работах и Л. Эйлера [Euler, 1757], и Дж.Г. Стокса [Stokes, 1845, 1847, 1851] отмечалась необходимость учета “гетерогенности жидкости”, обусловленной неоднородностью распределений плотности и ее расслоением в поле силы тяжести. Однако уровень развития математического анализа не позволял включать этот важный факт в изучаемые модели. В последующем изучение природы изменений плотности жидкости в целом, морской воды и атмосферы в частности, успешно развилось и составило особый раздел наук об океане и атмосфере, посвященный составлению и анализу уравнений состояния [Feistel, 2018; Harvey et al., 2023]. В процессе выполнения обширных циклов экспериментальных и теоретических исследований были установлены основные закономерности распределения плотности в окружающей среде, выделены тонкая структура профилей [Федоров, 1976; Попов и др., 1979], идентифицированы механизмы ее формирования.
Постепенно, по мере накопления фактов и развития техники математического анализа, стали все более активно изучаться такие скрытые виды течений, как внутренние волны [Гаврилов, Попов, 2022], существование которых обеспечивается устойчивостью распределения плотности – стратификацией, и дискретной [Chandrasekhar, 1961], и непрерывной [Лайтхилл, 1981]. Постепенно стали проводится оценки влияния неоднородности плотности на поверхностные волны [Очиров, Чашечкин, 2022]. Активно исследуются внутренние волны различных классов и в атмосфере [Зайцева и др., 2022].
Теоретические исследования волн проводятся как на основе полной системы фундаментальных уравнений механики жидкостей [Ландау, Лифшиц, 1944; Chashechkin, 2021a], так и ее редуцированных версий, когда в уравнениях сохраняются только члены, описывающие переменность плотности, но пренебрегается физическими процессами, обеспечивающими ее непостоянство. Учет условия совместности при анализе системы линеаризованных уравнений методами теории сингулярных возмущений [Найфэ, 1984] позволил выделить лигаменты – тонкие компоненты, дополняющие волны в периодических течениях в толще [Chashechkin, 2021b] и на поверхности вязкой стратифицированной жидкости [Chashechkin, Ochirov, 2022]. Поверхностные волны и тонкие структуры поверхностных течений вызывают интерес в связи с переносом вещества [Чашечкин, 2022] в том числе и на микроуровне [Дружинин, 2022].
В настоящей работе проведен сравнительный анализ свойств периодических течений на поверхности жидкости в распространенных представлениях распределения плотности идеальной и вязкой среды с учетом влияния поверхностного электрического заряда.
2. ПОСТАНОВКА ЗАДАЧИ
Результаты математического изучения влияния неоднородности плотности на свойства периодических течений в толще жидкости, проведенного в работе Рэлея [Rayleigh, 1882], в которой была рассчитана предельная частота бегущих внутренних волн или частота собственных колебаний инфинитезимального объема, смещенного по вертикали из положения равновесия (частота плавучести) в непрерывно стратифицированной жидкости, по неизвестным причинам выпали из научного оборота. Важность этого параметра показали экспериментальные исследования колебаний шаров-зондов В. Вяйсяля [Väisälä, 1925] и спектров осцилляций давления атмосферы Д. Брента [Brunt, 1927]. В целях упрощения математического описания в теоретических исследованиях внутренних волн активно используется экспоненциальное распределение плотности с глубиной [Лайтхилл, 1981]. Позднее было найдено преобразование масштабов, позволяющее получать уравнения внутренних волн с постоянными коэффициентами при любом гладком распределении плотности по глубине [Кистович, Чашечкин, 1998].
Математическая формулировка задачи основана на редуцировании системы фундаментальных уравнений [Ландау, Лифшиц, 1944; Chashechkin, 2021a], в которой оставлены только уравнения Навье–Стокса и неразрывности. Также в анализируемой модели отсутствует уравнение состояния, которое заменяется выбранным распределением плотности. Такое упрощение позволяет получить более простые выражения для поверхностных возмущений, но приводит к потере компонентов, отвечающих за волновое возмущение физически наблюдаемых величин (например, температуры и/или солености).
Рассматривается полубесконечная жидкость, занимающая нижнее полупространство в прямоугольной декартовой системе координат , в которой ось направлена в сторону, противоположную направлению действия поля сил тяжести g, а плоскость совпадает с равновесной поверхностью жидкости. Рассматриваются плоские течения, движение жидкости считается независимым от горизонтальной координаты y. Поверхность жидкости характеризуется коэффициентом поверхностного натяжения σ.
При учете влияния поверхностного электрического заряда жидкость считается идеально проводящей (поскольку характерное время волновых процессов намного превышает характерные времена релаксации электрического заряда). На поверхности идеально проводящей жидкости, помещенной в вертикальное электростатическое поле с напряженностью E0, наводится электрический заряд с поверхностной плотностью . Волновое возмущение поверхности вызывает изменение электрического потенциала , который можно представить в виде суммы составляющей и волновой добавки .
В природных условиях отношение изменчивости плотности и ее вариаций q к невозмущенному значению на нулевом уровне в течении обычно является малым [Федоров, 1976], что позволяет представлять ее распределение в виде
, (1)
где функция задает исходную стратификацию, а – волновое возмущение плотности.
Наиболее часто используемые модели исходной стратификации – экспоненциально стра тифицированная жидкость () и линейно стратифицированная жидкость (), которые характеризуются масштабом стратификации . Для сравнения моделей экспоненциально и линейно стратифицированных жидкостей проанализируем изменение градиента плотности с глубиной. В случае экспоненциальной стратификации градиент плотности с глубиной меняется по закону:
. (2)
В случае линейно стратифицированной жидкости величина градиента плотности не зависит от глубины:
. (3)
Для небольших изменений вертикальной координаты различия градиентов плотности в моделях экспоненциально и линейно стратифицированных сред незначительны. Численные оценки показывают, что на глубинах меньших, чем 10% от масштаба стратификации, различия в величинах градиента плотности незаметны, и с высокой степенью точности одна модель может заменяться другой. Для сильно стратифицированной жидкости с частотой плавучести N ~ 1 c–1 масштаб стратификации принимает значение Λ ~ 10 м, а для слабо стратифицированных сред – Λ ~ 100 км.
При сделанных допущениях система уравнений движения вязкой стратифицированной жидкости принимает вид:
(4)
, (5)
где – скорость жидкости, – плотность, уровень определяет положение свободной поверхности, а – плотность на равновесном уровне . Давление жидкости P складывается из атмосферного , гидростатического, волнового и давления, создаваемого электростатическим полем с напряженностью :
. (6)
Система дополняется стандартными граничными условиями: кинематическим, динамическим и на электрический потенциал на свободной поверхности жидкости
(7)
Здесь n и τ – вектора внешней нормали и касательной к свободной поверхности соответственно.
Отыскиваются периодические по горизонтальной координате x решения вида , распространяющиеся в положительном направлении оси Ox. Для периодических возмущений, распространяющихся в противоположном направлении, анализ будет аналогичным с точностью до смены знака в выражении для волнового вектора.
Задача решается в приближении Буссинеска, когда плотность считается постоянной во всех слагаемых, кроме содержащих ускорение свободного падения. Также добавляется условие несжимаемости жидкости. Для описания плоского поля скоростей вводится функция тока ψ:
. (8)
После проведения процедуры сноса граничных условий на равновесный уровень и последующей линеаризации уравнений и граничных условий математическая формулировка задачи принимает вид:
(9)
(10)
В природе, как правило, встречаются жидкости с малой вязкостью или малой частотой плавучести, а также среды, у которых оба эти параметра малы. Малые параметры в таких системах обеспечивают малость множителей при слагаемых, содержащих старшие производные. В этом случае система (9) относится к классу сингулярно возмущенных систем уравнений [Найфэ, 1984], а ее полное решение отыскивается методом теории сингулярных возмущений с учетом условия совместности.
3. РЕШЕНИЕ ЛИНЕАРИЗОВАННОЙ ЗАДАЧИ
Решение линеаризованной задачи (9)–(10) ищется в виде периодических возмущений:
(11)
Здесь – амплитуды соответствующих величин, а символом C.C. обозначены комплексно сопряженные слагаемые. Символом обозначена положительно определенная частота периодического движения, а символами – компоненты волновых векторов , которые могут быть комплексными.
Перекрестное дифференцирование уравнений (9) позволяет получить следующее уравнение для функции тока и возмущения плотности:
. (12)
Использование уравнение неразрывности позволяет перейти от (12) к выражению, содержащему только функцию тока:
. (13)
В модели линейно стратифицированной среды () или для малых z по сравнению с в модели экспоненциально стратифицированной среды выражение (13) упрощается и при нулевой вязкости сводится к уравнению Соболева [Соболев, 1954].
Подстановка вида решения (11) в уравнение Лапласа для добавки к электрическому потенциалу (9) и в уравнение (13) приводит к дисперсионным соотношениям, связывающим компоненты волнового вектора волны с частотой ω:
, (14)
. (15)
В модели экспоненциально стратифицированной жидкости () дисперсионное соотношение (15) принимает вид:
. (16)
Из естественного условия затухания добавки к электрическому потенциалу с удалением от свободной поверхности следует, что физически реализуется только один корень в (14):
. (17)
Дисперсионное соотношение (16) удобно анализировать в безразмерных переменных, если в качестве характерных параметров выбрать собственные масштабы задачи: временнóй – обратную частоту плавучести , и пространственный – вязкий волновой масштаб [Chashechkin, 2021b]. Отношение собственных масштабов среды – вязкого и вязкого волнового определяет малый параметр задачи . В новых переменных дисперсионное соотношение (16) перепишется следующим образом:
, (18)
где и – безразмерная частота и компоненты волнового вектора.
Решения уравнения (18) находятся в виде регулярного и сингулярного разложения по малому параметру ε, который присутствует при старшей степени [Найфэ, 1984]. Для различия корней введено обозначение для сингулярного решения – , а для регулярного – k*z:
(19)
(19)
Вид приближенных решений (19) наглядно демонстрирует различия между регулярными и сингулярными решениями. При положительно определенной частоте волнового движения и соответственно. Следовательно, решение kz описывает волновую часть периодического движения, а kl – лигаментную, определяющую тонкую структуру сопутствующих волне возмущений. Выбор корней в (19) определяется условиями физической реализации затухания движения с глубиной и с увеличением горизонтальной координаты. Для волны, бегущей в положительном направление x:
. (20)
С учетом сингулярного решения kl решение задачи первого порядка малости принимает вид:
(21)
Из граничных условий (10) найдем связь между амплитудными множителями:
(22)
и дисперсионное соотношение, связывающее компоненты волнового вектора в периодическом возмущении с частотой ω:
.(23)
Здесь символом обозначен нормированный на значение плотности на равновесном уровне коэффициент поверхностного натяжения жидкости, а символом – параметр Тонкса–Френкеля, играющий роль безразмерного электрического заряда на свободной поверхности, который также характеризует отношение энергии электростатического поля к доступной потенциальной поверхностной энергии. В безразмерном виде дисперсионное уравнение (23) записывается:
(24)
Здесь символом обозначен безразмерный параметр, определяемый отношением собственных физических величин задачи: капиллярной постоянной и микромасштаба Стокса . Этот параметр оказывается малым для слабо вязких жидкостей. Подставляя в (24) приближенные значения (19) и оставляя только главные члены, получим дисперсионное уравнение:
(25)
В явном виде корни дисперсионного уравнения (25) приведены в приложении А. Физически реализуемые решения выбираются исходя из условия затухания возмущений с удалением от свободной поверхности и с удалением от начала координат Im(kx)≥0 в направлении распространения волны.
В приближении однородной жидкости задача упрощается, но при этом из основных уравнений сама среда фактически исключается, поскольку плотность сокращается и не входит в дисперсионные соотношения (15), которые принимают вид:
. (26)
Уравнение (26) также имеет два вида решений. Регулярные решения описывают волновое движение , сингулярные решения определяют присоединенный лигамент :
(27)
Соотношения между мнимыми и действительными частями в волновых и лигаментных решениях для однородной жидкости аналогичны соотношениям в стратифицированной среде. Дисперсионное соотношение (26) и решение (27) может быть получено из соответствующих выражений (15), (19) в пределе ().
Выражения (23) остаются в силе с точностью до поправки на соотношения (27), т. е. дисперсионное уравнение (23) описывает компоненты течения в однородной жидкости, если соотношения между волновыми векторами упрощаются до связи (27). С учетом (27) дисперсионное уравнение (23) в размерном виде записывается:
(28)
В модели однородной жидкости параметры обезразмеривания отличаются от введенных ранее из-за исключения части собственных параметров задачи, характеризующих стратификацию. Набор оставшихся физических переменных позволяет определить следующие характерные масштабы: времени – и длины – и . Отношение естественным образом формирует малый параметр, характеризующий периодические течения на поверхности однородной жидкости. Дисперсионные соотношения (27)–(28) в безразмерных переменных принимают вид [Очиров, Чашечкин, 2023]:
(29)
(30)
Подставляя (29) в (30) и оставляя только главные члены, получим приближенное дисперсионное уравнение с точностью до слагаемых порядка :
(31)
В явном виде нетривиальные корни дисперсионного уравнения (31) записываются следующим образом:
(32)
Физически реализуемые решения выбираются исходя из условия затухания течения с глубиной и с удалением от начала координат Im(kx)≥0 в направлении распространения волны.
Добавление поверхностного электрического заряда усложняет математические выкладки по определению дисперсионных соотношений, но не добавляет качественно новых решений.
4. МОДЕЛЬ НЕЗАРЯЖЕННОЙ ВЯЗКОЙ ЖИДКОСТИ
Подробное исследование динамики волн и сопутствующих лигаментов в вязких однородно стратифицированных жидкостях было проведено в работе [Chashechkin, Ochirov, 2022]. В модели незаряженной жидкости остаются справедливыми дисперсионные соотношения (15), (18)–(19), а уравнение (23) преобразуется к виду:
(33)
и в безразмерном виде запишется:
(34)
Подставляя в (34) значения (19), связывающие компоненты волнового вектора, и оставляя только главные члены разложения, получим дисперсионное уравнение:
(35)
Решения уравнения (35) в явном виде приведены в приложении Б.
В вязкой однородной жидкости с постоянной плотностью сохраняется сингулярный компонент течения, остаются справедливыми соотношения между компонентами волнового вектора (27)–(29). Дисперсионное уравнение (33) качественно остается прежним, но из-за отсутствия заряда заметно упрощается:
(36)
и согласуется с приведенном в [Кистович, Чашечкин, 2007].
Характерные масштабы: времени – и длины – – позволяют привести (36) к безразмерному виду:
(37)
Подставляя (29) в (37) и оставляя только главные члены, получим приближенное дисперсионное уравнение:
(38)
Нетривиальные корни уравнения (38) записываются следующим образом:
(39)
Физически реализуемые решения выбираюся исходя из условия затухания течения с глубиной и с удалением от начала координат в направлении распространения волны. Решения (29), (39) описывают компоненты периодических поверхностных течений в модели однородной вязкой незаряженной жидкости. Решения (29), (32) определяют набор возмущений в модели однородной вязкой жидкости, по поверхности которой распределен электрический заряд. Модели равномерно стратифицированной вязкой жидкости соответствуют решения (19), (35) для незаряженной, а (19), (25) – жидкости с поверхностным электрическим зарядом.
В описании каждой модели присутствуют регулярные компоненты решения, в которых мнимая часть компонентов волнового вектора много меньше действительной части. Эти решения описывают волны, вызывающие смещения свободной поверхности жидкости. При учете диссипации в каждой модели в решении появляются сингулярные компоненты, в которых мнимая и действительная части волнового вектора близки по своим абсолютным значениям. Сингулярные решения описывают тонкие лигаменты (в случае стратифицированной жидкости – высокоградиентные прослойки и волокна), сопровождающие поверхностные волны.
5. ПРИБЛИЖЕНИЕ ИДЕАЛЬНОЙ ЖИДКОСТИ
В идеальной жидкости определяющие уравнения предельно редуцируются и дисперсионные соотношения вырождаются – в них сохраняется только волновой компонент, а сингулярное решение пропадает. Связь между компонентами волнового вектора в таком приближении принимает вид [Очиров, Чашечкин, 2022]:
. (40)
Или для экспоненциально стратифицированной жидкости:
. (41)
Уравнение (41) также получается в пределе из выражения (16). Зависимость компонентов волнового вектора от частоты определяется редуцированным дисперсионным уравнением
, (42)
которое также можно получить из (23) серией предельных переходов , . Выражая из (41) связь между и :
(43)
где , и подставляя (43) в (42) с учетом условия физической реализации корней, получаем дисперсионное уравнение:
(44)
Корни уравнения (44) легко находятся:
(45)
Анализ показывает, что физически реализуемым оказывается только один корень , который описывает волновой компонент периодического поверхностного течения в стратифицированной жидкости. Он также может быть получен при помощи предельных переходов в соответствующих решениях более полной задачи. Решение (44) в отсутствие стратификации переходит в хорошо известные дисперсионные соотношения для капиллярно-гравитационных волн [Лэмб, 1949], [Ландау, Лифшиц, 1944]. Решения (45) соответствуют приведенным в [Очиров, Чашечкин, 2022] и могут быть получены из моделей вязкой жидкости при выполнении предельного перехода .
6. ПОСТРОЕНИЕ ДИСПЕРСИОННЫХ ЗАВИСИМОСТЕЙ
Исследуем полученные дисперсионные зависимости. Наиболее полная из рассматриваемых моделей учитывает влияние вязкости, стратификации и поверхностного электрического заряда. Полные решения дисперсионных соотношений (19), (24) в рассматриваемой модели содержат регулярные (волновые) и сингулярные (лигаментные) компоненты течения. Полученные соотношения равномерно сходятся к соотношениям (19), (34) в модели незаряженной жидкости.
Численные расчеты показывают, что увеличение значения зарядового параметра W приводит к уменьшению длины волны при заданной частоте в области капиллярно-гравитационных волн и не оказывает заметного влияния в области гравитационных и капиллярных волн. Графики зависимости длины волны от частоты волнового движения в диапазоне 0,001 < ω < <10000 c–1 для жидкости с параметрами воды (ρ00=1г/см3, σ = 72 эрг/см3, ν = 0.01 Ст) при различных значениях параметра W, определяющего поверхностный электрический заряд, и частоты плавучести приведены на рис. 1.
Рис. 1. Зависимость длины волны от частоты ω для жидкости с параметрами воды, параметры (N, c–1,W) для кривых 1–5: (1; 0), (0.01; 0); (0.001; 0); (1; 1); (1; 1.5).
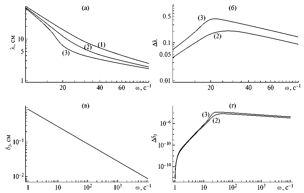
Численные расчеты показывают, что поверхностный электрический заряд оказывает заметное влияние на волновой компонент в области капиллярно-гравитационных волн и не оказывает значимого влияния на лигаменты периодического поверхностного течения. Зависимости длины волны λ и масштаба лигамента δi от частоты ω, при разных значениях параметра W, приведены на рис. 2а и в, соответственно. Зависимости относительного изменения длины волны и масштаба лигамента на незаряженной (λ и δl) и заряженной (λW и δlW) поверхности от частоты ω показаны на рис. 2б и 2г соответственно.
Рис. 2. Зависимости масштабов компонентов периодического течения от частоты для жидкости с параметрами воды: а – длина волны при разных значениях поверхностного заряда, кривые 1–3: W = 0; 1; 1.5; б – относительная разность длин волн, кривые 2, 3: W = 1; 1.5, в – масштаб лигаментного компонента, г – относительная разность масштабов лигаментов, кривые 2, 3: W = 1; 1.5.
Оценки влияния стратификации и поверхностного электрического заряда на фазовые и групповые скорости показывают, что с увеличением заряда уменьшаются минимальные значения групповой и фазовой скорости. Также происходит смещение положения их минимальных значений в сторону более низких частот и больших длин волн (рис. 3а, 3в). На рис. 3б, 3г показано влияние стратификации на групповую и фазовые скорости волнового компонента. Численные расчеты показывают, что ни поверхностный электрический заряд, ни стратификация не оказывают заметного влияния на аналоги фазовой и групповой скорости лигаментного компонента поверхностного течения (рис. 4а, 4б).
Рис. 3. Графики групповых (сплошные линии) и фазовых (пунктирные линии) скоростей волн: а, б – в зависимости от частоты ω, параметры (N, c–1, W) для кривых 1–6 на (а): (1; 0), (1; 1); (1; 1.5); (1; 0), (1; 1); (1; 1.5); для кривых 1–6 на (б): (1; 0), (0.01; 0); (0.001; 0); (1; 0), (0.01; 0); (0.001; 0); в, г в зависимости от длины волны λ; параметры (N, c–1, W) для кривых 1–6 на (в): (1; 0), (1; 1); (1; 1.5); (1; 0), (1; 1); (1; 1.5), для кривых 1–6 на (г): (1; 0), (0.01; 0); (0.001; 0); (1; 0), (0.01; 0); (0.001; 0) соответственно.
Рис. 4. Зависимости групповых и фазовых скоростей лигаментного компонента периодического течения в сильно стратифицированной жидкости, N=1c–1, с параметрами воды: а – от частоты ω; б – от масштаба лигамента δl.
Учет поверхностного электрического заряда в рассматриваемой модели приводит к усложнению выражений, но не изменяет качественную картину течений. Влияние заряда ограничено узкой областью капиллярно-гравитационных волн и заметно только в слабовязких жидкостях в волновых компонентах течения. В модели однородной жидкости (29), (30) и (29), (37) сохраняются лигаментные компоненты, качественно картина не меняется. В модели идеальной жидкости (43), (45) сингулярные решения отсутствуют, и лигаментные компоненты течения пропадают из рассмотрения.
ЗАКЛЮЧЕНИЕ
Развиваемый подход, направленный на построение полных решений сингулярно возмущенных уравнений инфинитезимальных периодических возмущений на поверхности жидкости c вещественной частотой ω и комплексным волновым числом k, включает описание волн, задающих смещения свободной поверхности, и лигаментов – тонких компонентов, являющихся неотъемлемой частью рассматриваемых течений. Сингулярные компоненты периодических течений не рассматриваются в известных трактатах [Лэмб, 1949; Кочин и др., 1963; Ландау, Лифшиц, 1944; Ле Блон, Майсек, 1981]. Соотношения (19) и (24); (19) и (34); (29) и (30); (29) и (37); (43) и (45), приведенные к зависимости вещественных скалярных параметров течения – периода Tω от длины волны λω – λω(Tω) = Tω(λω) или обращенному выражению λω = λω (Tω), определяют требования к методике лабораторного эксперимента в части выбора размеров области наблюдения, длительности регистрации, временного и пространственного разрешения инструментов в различных моделях распределения плотности
гетерогенной, однородной или заряженной жидкости при анализе влияния действия диссипативных факторов и эффектов стратификации. Тонкие компоненты могут влиять на процессы переноса физических величин, в частности, солености или температуры.
Работа выполнена при финансовой поддержке Российского научного фонда (проект 19-19-00598-П “Гидродинамика и энергетика капли и капельных струй: формирование, движение, распад, взаимодействие с контактной поверхностью”, https://rscf.ru/project/19–19–00598/).
Приложение А.
Уравнение (25) распадается на три независимых уравнения:
, (А.1)
, (А.2)
(А.3)
Решения уравнений (А.1–А.3) имеют вид:
, (А.4)
, (А.5)
(А.6)
(А.7)
(А.8)
(А.9)
Приложение Б.
Уравнение (36) распадается на три независимых уравнения:
(Б.1)
(Б.2)
(Б.3)
Решения уравнений (Б.1–Б.3) запишутся следующим образом:
(Б.4)
(Б.5)
(Б.6)
(Б.7)
(Б.8)
(Б.9)
,
About the authors
A. A. Ochirov
Ishlinsky Institute for Problems in Mechanics RAS
Author for correspondence.
Email: otchirov@mail.ru
Russian Federation, prosp. Vernadskogo, 101, bld. 1, Moscow, 119526
Yu. D. Chashechkin
Ishlinsky Institute for Problems in Mechanics RAS
Email: yulidch@gmail.com
Russian Federation, prosp. Vernadskogo, 101, bld. 1, Moscow, 119526
References
- Гаврилов Н.М., Попов А.А. Моделирование сезонных изменений интенсивности внутренних гравитационных волн в нижней термосфере // Изв. РАН. Физика атмосферы и океана. 2022. Т. 58. № . 1. С. 79–91.
- Дружинин О.А. О переносе микропузырьков поверхностными волнами // Изв. РАН. Физика атмосферы и океана. 2022. T. 58. № 5. С. 591–600.
- Зайцева Д.В., Каллистратова В.С., Люлюкин Р.Д. и др. Субмезомасштабные волнообразные структуры в атмосферном пограничном слое и их параметры по данным содарных измерений в Подмосковье // Изв. РАН. Физика атмосферы и океана. 2022. Т. 59. № . 3. С. 275–285.
- Кистович А.В., Чашечкин Ю.Д. Динамика гравитационно-капиллярных волн на поверхности неоднородно нагретой жидкости // Изв. РАН. Физика атмосферы и океана. 2007. Т. 43. № 1. С. 109–116.
- Кистович Ю.В., Чашечкин Ю.Д. Линейная теория распространения пучков внутренних волн в произвольно стратифицированной жидкости // Прикладная механика и техническая физика. 1998. Т. 39. № 5. С. 88–98.
- Кочин Н.Е., Кибель И.А., Розе И.В. Теоретическая гидромеханика, ч. I. М.: Государственное Издательство Физико-математической литературы, 1963. 585 с.
- Лайтхилл Дж. Волны в жидкостях. M.: Мир, 1981. 598 с.
- Ландау Л.Д., Лифшиц Е.М. Механика сплошных сред. Гидродинамика и теория упругости. Т. 3. М. – Л.: ОГИЗ. ГИТТЛ, 1944.
- Ле Блон П., Майсек Л. Волны в океане в 2 томах. М.: Мир, 1981. 846 с.
- Лэмб Г. Гидродинамика. М.-Л.: ГИТТЛ, 1949. 928 с.
- Найфэ А. Введение в методы возмущений М.: Мир, Москва, 1984. 535 с.
- Очиров А.А., Чашечкин Ю.Д. Волновое движение в вязкой однородной жидкости с поверхностным электрическим зарядом // Прикладная математика и механика. 2023. Т. 87. № 3. С. 379– 391.
- Очиров А.А., Чашечкин Ю.Д. Двумерные периодические волны в невязкой непрерывно стратифицированной жидкости // Изв. РАН. Физика атмосферы и океана. 2022. Т. 58. № 5. С. 524–533.
- Попов Н.И., Федоров К.Н., Орлов В.М. Морская вода. Справочное руководство. М.: Наука, 1979. 327 с.
- Соболев С.Л. Об одной новой задаче математической физики // Изв. АН СССР. Сер. мат. 1954. Т. 18. № 1. С. 3–50.
- Федоров К.Н. Тонкая техмохалинная структура океана. Л.: Гидрометеоиздат, 1976. 184 с.
- Чашечкин Ю.Д. Перенос вещества окрашенной капли в слое жидкости с бегущими плоскими гравитационно-капиллярными волнами // Изв. РАН. Физика атмосферы и океана. 2022. T. 58. № 2. C. 218–229.
- Brunt D. The period of simple vertical oscillations in the atmosphere // Q. J. R. Meteorol. Soc. 1927. V. 53. P. 30–32.
- Chandrasekhar S. Hydrodynamic and hydromagnetic stability, International Series of Monographs on Physics. Oxford: Clarendon Press, 1961. 685 p.
- Chashechkin Yu.D. Conventional partial and new complete solutions of the fundamental equations of fluid mechanics in the problem of periodic internal waves with accompanying ligaments generation // Mathematics. 2021. V. 9(6). № 586.
- Chashechkin Y.D. Foundations of engineering mathematics applied for fluid flows // Axioms. 2021. V. 10. № 4. P. 286.
- Сhashechkin Yu.D., Ochirov A.A. Periodic waves and ligaments on the surface of a viscous exponentially stratified fluid in a uniform gravity field // Axi oms. 2022. V. 11(8). P. 402.
- Euler L. Principes généraux du mouvement des fluids // Mémoires L’académie Des. Sci. Berl. 1757. V. 11. P. 274–315.
- Feistel R. Thermodynamic properties of seawater, ice and humid air: TEOS-10, before and beyond // Ocean. Sci. 2018. V. 14. P. 471–502.
- Harvey A.H., Hrubý J., Meier K. Improved and always improving: reference formulations for thermophysical properties of water // Journal of physical and chemical reference data. 2023. V. 52. 011501.
- Rayleigh R. Investigation of the character of the equilibrium of an incompressible heavy fluid of variable density // Proceedings of the London mathematical society. 1882. V. 1. № . 1. P. 170–177.
- Stokes G.G. On the Effect of the Internal Friction of Fluids on the Motion of Pendulums // Trans. Cambridge Phil. Soc. 1851. V. 9 P. 1–141.
- Stokes G.G. On the theories of the internal friction of fluids in motion, and of the equilibrium and motion of elastic bodies // Trans. Camb. Phil. Soc. 1845. V. 8. P. 287–305.
- Stokes G.G. On the theory of oscillatory waves // Trans. Cambridge Phil. Soc. 1847. V. 8. P. 441–455.Väisälä V. Uber die Wirkung der Windschwankungen auf die Pilotbeoachtungen // Soc. Sci. Fenn. Commentat. Phys. Math. 1925. V. 2. P. 19–37.
Supplementary files







