О турбулентной спиральности в приземном слое атмосферы
- Авторы: Соленая О.А.1, Шишов Е.А.1, Чхетиани О.Г.1,2, Азизян Г.В.1, Копров В.М.1
-
Учреждения:
- Институт физики атмосферы им. А.М. Обухова Российской академии наук
- Институт космических исследований Российской академии наук
- Выпуск: Том 59, № 6 (2023)
- Страницы: 675-685
- Раздел: Статьи
- URL: https://bakhtiniada.ru/0002-3515/article/view/162269
- DOI: https://doi.org/10.31857/S0002351523060111
- EDN: https://elibrary.ru/OURINM
- ID: 162269
Цитировать
Полный текст
Аннотация
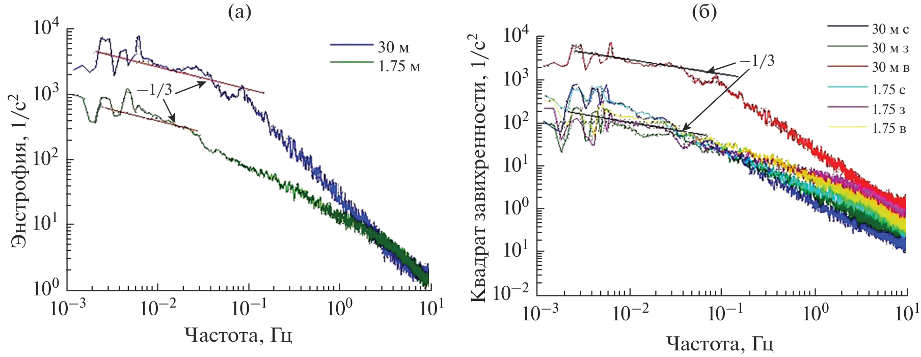
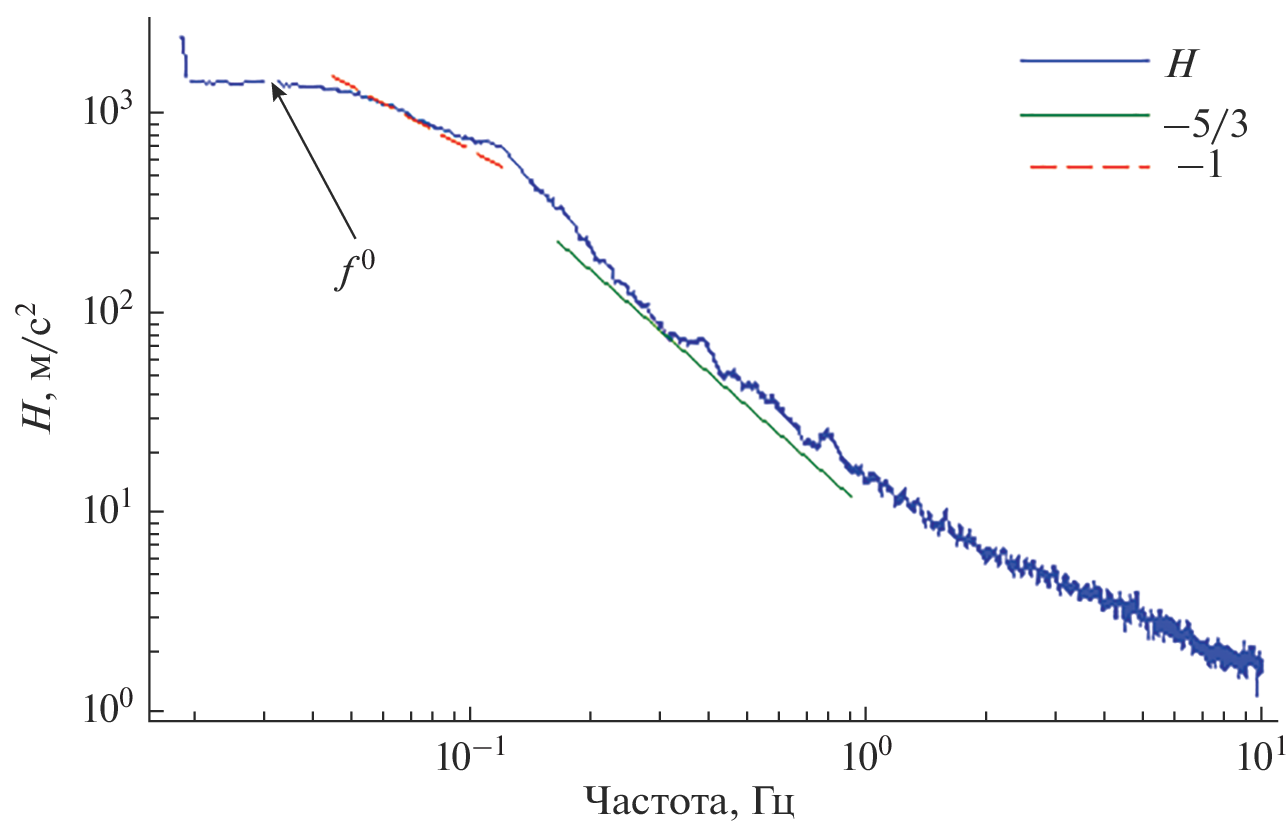
Проведены синхронные измерения завихренности и скорости в пограничном слое атмосферы с помощью оригинального 3-х компонентного акустического циркулиметра, разработанного в ИФА им. А.М. Обухова в 2019–2020 гг. Измерения выполнялись в летнее время на Цимлянской научной станции (в 2021, 2022 гг.) на высотах 1.75 и 30 м. Для разных реализаций турбулентная спиральность в среднем имеет отрицательные значения, что возможно связано с наличием местных (бризовых) ветров. Наблюдаемые спектры турбулентной спиральности демонстрируют наклон, близкий к –5/3, что соответствует переносу спиральности по спектру в сторону малых масштабов (прямому каскаду). Наблюдаются также наклоны спектра –4/3, а в области низких частот – –1, связанные с конвективной составляющей, со сдвигом ветра и субмезомасштабными структурами. Вычислены компоненты турбулентного потока вихря. Значения спиральности согласуются с измеренными ранее и теоретическими оценками, полученными для нейтральных условий.
Ключевые слова
Об авторах
О. А. Соленая
Институт физики атмосферы им. А.М. Обухова Российской академии наук
Автор, ответственный за переписку.
Email: Solenaya.Oksana@gmail.com
Россия, 119017, Москва, Пыжевский пер., 3
Е. А. Шишов
Институт физики атмосферы им. А.М. Обухова Российской академии наук
Email: Solenaya.Oksana@gmail.com
Россия, 119017, Москва, Пыжевский пер., 3
О. Г. Чхетиани
Институт физики атмосферы им. А.М. Обухова Российской академии наук; Институт космических исследований Российской академии наук
Email: Solenaya.Oksana@gmail.com
Россия, 119017, Москва, Пыжевский пер., 3; Россия, 117997, Москва, ул. Профсоюзная, д. 84/32
Г. В. Азизян
Институт физики атмосферы им. А.М. Обухова Российской академии наук
Email: Solenaya.Oksana@gmail.com
Россия, 119017, Москва, Пыжевский пер., 3
В. М. Копров
Институт физики атмосферы им. А.М. Обухова Российской академии наук
Email: Solenaya.Oksana@gmail.com
Россия, 119017, Москва, Пыжевский пер., 3
Список литературы
- Белян А.В., Моисеев С.С., Чхетиани О.Г. О турбулентной вязкости в спиральной турбулентности // Доклады АН. 1994. Т. 334. № 1. С. 34–36.
- Бовшеверов В.М., Гурвич А.С., Кочетков А.Н., Ломадзе С.А. Измерение частотного спектра мелкомасштабной циркуляции скорости в турбулентном потоке // Изв. АН СССР. Физика атмосферы и океана. 1971. Т. 7. № 4. С. 371–376.
- Копров Б.М., Калугин В.В., Тиме Н.С. Турбулентный поток вихря // Изв. АН. Физика атмосферы и океана. 1994. Т. 30. № 1. С. 13–17.
- Копров Б.М., Копров В.М., Пономарев В.М., Чхетиани О.Г. Измерение турбулентной спиральности и ее спектра в пограничном слое атмосферы // Доклады РАН. 2005. Т. 403. № 5. С. 627–630.
- Копров Б.М., Копров В.М., Курганский М.В., Чхетиани О.Г. Спиральность и потенциальный вихрь в приземной турбулентности // Изв. РАН. Физика атмосферы и океана. 2015. Т. 51. № 6. С. 637–647.
- Копров Б.М. Из истории исследований пограничного слоя в Институте физики атмосферы АН СССР Изв. РАН. Физика атмосферы и океана. 2018. Т. 54. № 3. С. 330–343.
- Копров Б.М., Копров В.М., Соленая О.А., Чхетиани О.Г., Шишов Е.А. Методика и результаты измерений турбулентной спиральности в стратифицированном приземном слое // Изв. РАН. Физика атмосферы и океана. 2018. Т. 54. № 5. С. 525–537.
- Курганский М.В. Связь между спиральностью и потенциальным вихрем в сжимаемой вращающейся жидкости // Известия АН СССР. Физика атмосферы и океана. 1989. Т. 25. № 12. С. 1326–1329.
- Курганский М.В. Введение в крупномасштабную динамику атмосферы (Адиабатические инварианты и их применение). СПб.: Гидрометеоиздат, 1993. 168 с.
- Курганский М.В. Спиральность в атмосферных динамических процессах // Изв. РАН. Физика атмосферы и океана. 2017. Т. 53. № 2. С. 147–163.
- Курганский М.В., Максименков Л.О., Хапаев А.А., Чхетиани О.Г. Вертикальный поток спиральности как индекс общей циркуляции атмосферы // Доклады РАН. 2018. Т. 479. № 4. С. 447–451.
- Моисеев С.С., Чхетиани О.Г. Спиральный скейлинг в турбулентности // ЖЭТФ. 1996 Т. 109(6). С. 357–370.
- Новиков Е.А. Поток вихря // Изв. АН СССР. Физика атмосферы и океана. 1972. Т. 8. № 7. С. 459–462.
- Обухов А.М. Структура температурного поля в турбулентном потоке // Изв. АН СССР. Сер. геогр. и геофиз. 1949. Т. 13. № 1. С. 58–69.
- Пономарев В.М., Чхетиани О.Г. Полуэмпирическая модель пограничного слоя атмосферы с параметризацией влияния турбулентной спиральности // Изв. АН СССР. Физика атмосферы и океана. 2005. Т. 41. № 4. С. 464–480.
- Цванг Л.Р. Исследования атмосферной турбулентности на Цимлянской научной станции Института Физики Атмосферы АН СССР // Изв. АН СССР. Физика атмосферы и океана. 1985. Т. 21. № 4. С. 339–348.
- Чхетиани О.Г. О спиральной структуре экмановского пограничного слоя // Изв. РАН. Физика атмосферы и океана. 2001. Т. 37. № 5. С. 614–620.
- Чхетиани О.Г., Копров Б.М., Копров В.М. Потоки завихренности и спиральности в атмосферном пограничном слое / Сб.: “Динамика волновых и обменных процессов в атмосфере”. М.: ГЕОС. 2017. С. 39–57.
- Шишов Е.А., Соленая О.А., Чхетиани О.Г., Азизян Г.В., Копров В.М. Многоточечные измерения температуры и ветра в приземном слое // Изв. РАН. Физика атмосферы и океана. 2021. Т. 57. № 3. С. 286–297.
- Agoua W., Favier B., Delache A., Briard A., Bos W.J.T. Spontaneous generation and reversal of helicity in anisotropic turbulence // Physical Review E. 2021. V. 103. № 6. P. L061101.
- Ali Sk Z., Dey S. Discovery of the zeroth law of helicity spectrum in the pre–inertial range of wall Turbulence // Phys. Fluids 2022. V. 34. P. 071401.
- Betchov R. Semi–Isotropic Turbulence and Helicoidal Flows // Phys. Fluids. 1961. V. 4. P. 925–926.
- Brissaud A., Frisch U., Leorat J., Lesieur M., Mazur A. Helicity cascades in fully developed isotropic turbulence // Phys. Fluids. 1973. V. 16. P. 1363–1364.
- Chen Q., Chen S., Eyink G.L. The Joint Cascade of Energy and Helicity in Three–Dimensional Turbulence // Phys. Fluid. 2003. V. 15. P. 361–374
- Chkhetiani O.G., Gledzer E.B. Helical turbulence with small-scale energy and helicity sources and external intermediate scale noises as the origin of large scale generation // Physica A. 2017. V. 486. P. 416–433.
- Chkhetiani O.G., Kurgansky M.V., Vazaeva N.V. Turbulent Helicity in the Atmospheric Boundary Layer // Bound. Lay. Meteo. 2018. V. 168. № 3. P. 361–385.
- Etling D. Some aspects of helicity in atmospheric flows // Beitr. Phys. Atmos. 1985. V. 58. № 1. P. 88–100.
- Hide R. A note on helicity and potential vorticity // Geophys. Astro. Fluid. 1976. V. 7. № 1. P. 69–79.
- Hide R. Superhelicity, helicity and potential vorticity // Geophys. Astro. Fluid. 1989. V. 48. № 1–3. P. 69–79.
- Koprov B.M., Azizyan G.V., Kalugin V.V. Spectra of velocity circulation in the surface layer of the atmosphere // Bound. Layer Meteor. 1988. V. 42. № 1–2. P. 137–143.
- Kraichnan R.H. Helical turbulence and absolute equilibrium // J. Fluid Mech. 1973. V. 59(4) P. 745–752.
- Lilly D.K. The structure, energetics and propagation of rotating convective storms. Part II. Helicity and storm stabilization // J. Atmos. Sci. 1986. V. 42(2). P. 126–140.
- Moffatt H.K. The degree of knottedness of tangled vortex lines // J. Fluid Mech. 1969. V. 35(1). P. 117–129.
- Moffatt H.K. Magnetic field generation in electrically conducting fluids // Cambridge University Press. 1978. 344 p.
- Shukurov A., Subramanian K. Astrophysical magnetic fields: From galaxies to the early Universe. Cambridge University Press. 2021. 650 p.
- Tan Z, Wu R. Helicity dynamics of atmospheric flow // Adv. Atmos. Sci. 1994. V. 11(2). P. 175–188.
- Taylor G.I. Eddy motion in the atmosphere // Phil. Trans. Roy. Soc. A 1915. V. 215. P. 1–26.
- Taylor G.I. The spectrum of turbulence // Proc. Royal Soc. London. A. 1938. V. 164 (919). P. 476–490.
Дополнительные файлы















