Соотношение вторых и третьих турбулентных моментов в городском пограничном слое атмосферы на примере данных микрометеорологической мачты МГУ
- Авторы: Дрозд И.Д.1,2,3, Артамонов А.Ю.2, Барсков К.В.2, Гавриков А.В.2,4, Пашкин А.Д.2, Репина И.А.2,3,5, Степаненко В.М.1,2,3,5
-
Учреждения:
- Московский государственный университет им. М.В. Ломоносова, Географический факультет
- Институт физики атмосферы им. А.М. Обухова РАН
- Московский государственный университет им. М.В. Ломоносова, Научно-исследовательский вычислительный центр
- Институт океанологии им. П.П. Ширшова РАН
- Московский центр фундаментальной и прикладной математики
- Выпуск: Том 59, № 4 (2023)
- Страницы: 509-522
- Раздел: Статьи
- URL: https://bakhtiniada.ru/0002-3515/article/view/136938
- DOI: https://doi.org/10.31857/S0002351523040156
- EDN: https://elibrary.ru/ZDJNCZ
- ID: 136938
Цитировать
Полный текст
Аннотация
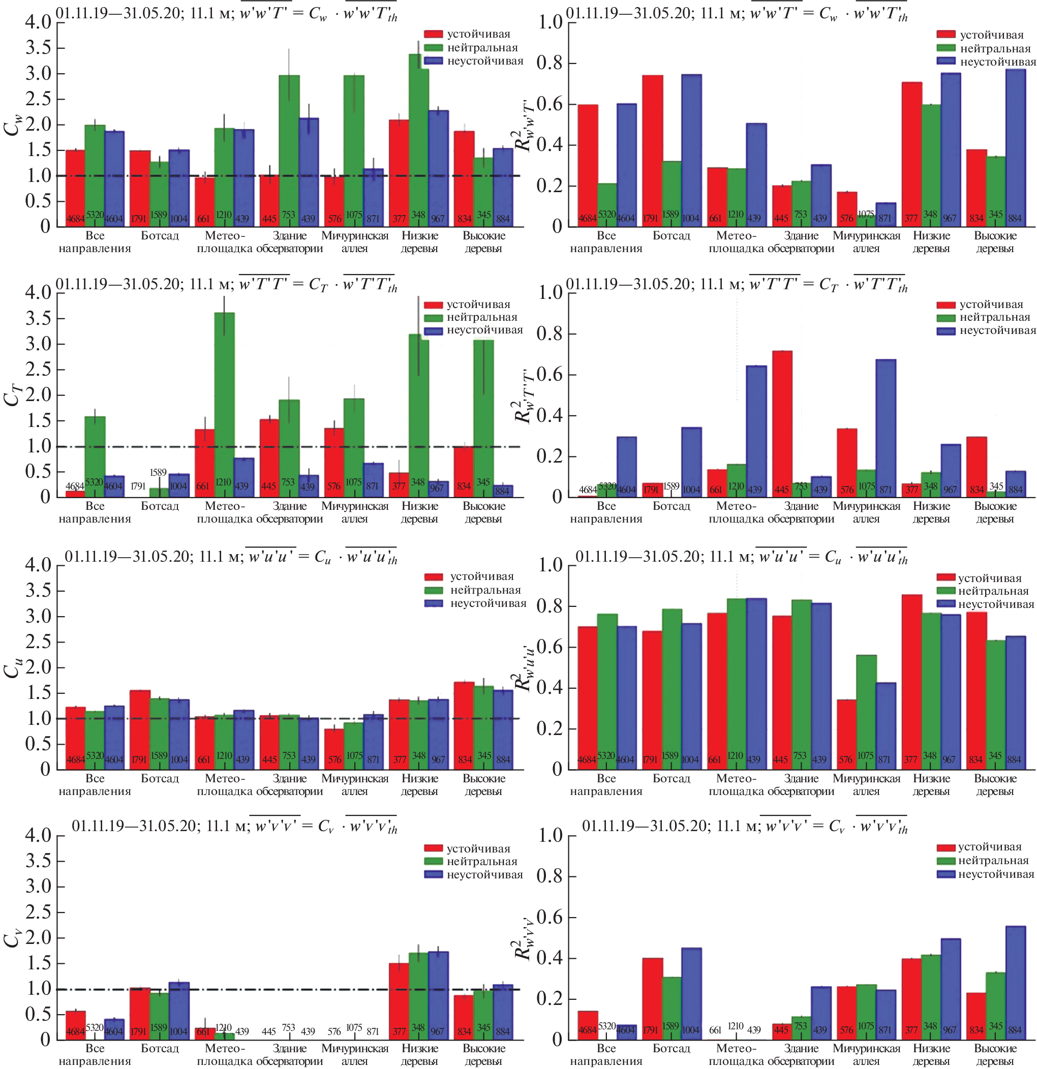
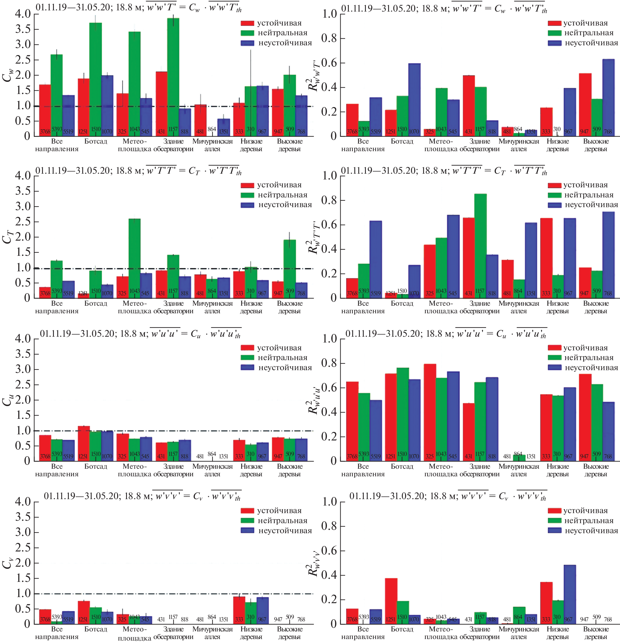
Данная работа посвящена тестированию гипотезы о наличии диагностической связи между вторыми и третьими моментами гидродинамических величин \({{c}_{1}}\) и \({{c}_{2}}\) в пограничном слое атмосферы над геометрически сложной поверхностью: \(\overline {w{\kern 1pt} 'c_{1}^{'}c_{2}^{'}} = C{{S}_{{{{c}_{1}}}}}{{\sigma }_{{{{c}_{1}}}}}\overline {w{\kern 1pt} 'c_{2}^{'}} .\) Для проверки данного соотношения использовался семимесячный ряд высокочастотных наблюдений на микрометеорологической мачте, установленной в Метеорологической обсерватории МГУ им. М.В. Ломоносова. Исходя из статистического распределения третьих моментов, были определены оптимальные методы для анализа достоверности исследуемой зависимости. Впервые на большом ряде данных была получена статистически обоснованная оценка оправдываемости тестируемой гипотезы в условиях городской подстилающей поверхности. Исследовано влияние условий стратификации, а также характера подстилающей поверхности в области формирования потока на выполнение связи между вторыми и третьими моментами. Установлено, что для третьих моментов \(\overline {w{\kern 1pt} 'w{\kern 1pt} 'T{\kern 1pt} '} ,\) \(\overline {w{\kern 1pt} 'T{\kern 1pt} 'T{\kern 1pt} '} ,\) \(\overline {w{\kern 1pt} 'u{\kern 1pt} 'u{\kern 1pt} '} \) и \(\overline {w{\kern 1pt} 'v{\kern 1pt} 'v{\kern 1pt} '} \) соотношение вторых и третьих моментов справедливо в 80% случаев.
Об авторах
И. Д. Дрозд
Московский государственный университет им. М.В. Ломоносова, Географический факультет; Институт физики атмосферы им. А.М. Обухова РАН; Московский государственный университет им. М.В. Ломоносова,Научно-исследовательский вычислительный центр
Автор, ответственный за переписку.
Email: drozdil.msu@gmail.com
Россия, 119234, Москва, ул. Ленинские Горы, 1, стр.1; Россия, 119017, Москва, Пыжевский пер., 3; Россия, 119234, Москва, ул. Ленинские Горы, 1, стр. 4
А. Ю. Артамонов
Институт физики атмосферы им. А.М. Обухова РАН
Email: drozdil.msu@gmail.com
Россия, 119017, Москва, Пыжевский пер., 3
К. В. Барсков
Институт физики атмосферы им. А.М. Обухова РАН
Email: drozdil.msu@gmail.com
Россия, 119017, Москва, Пыжевский пер., 3
А. В. Гавриков
Институт физики атмосферы им. А.М. Обухова РАН; Институт океанологии им. П.П. Ширшова РАН
Email: drozdil.msu@gmail.com
Россия, 119017, Москва, Пыжевский пер., 3; Россия, 117218, Москва, Нахимовский просп., 36
А. Д. Пашкин
Институт физики атмосферы им. А.М. Обухова РАН
Email: drozdil.msu@gmail.com
Россия, 119017, Москва, Пыжевский пер., 3
И. А. Репина
Институт физики атмосферы им. А.М. Обухова РАН; Московский государственный университет им. М.В. Ломоносова,Научно-исследовательский вычислительный центр; Московский центр фундаментальной и прикладной математики
Email: drozdil.msu@gmail.com
Россия, 119017, Москва, Пыжевский пер., 3; Россия, 119234, Москва, ул. Ленинские Горы, 1, стр. 4; Россия, 119234, Москва, ул. Ленинские горы, 1, стр. 1
В. М. Степаненко
Московский государственный университет им. М.В. Ломоносова, Географический факультет; Институт физики атмосферы им. А.М. Обухова РАН; Московский государственный университет им. М.В. Ломоносова,Научно-исследовательский вычислительный центр; Московский центр фундаментальной и прикладной математики
Email: drozdil.msu@gmail.com
Россия, 119234, Москва, ул. Ленинские Горы, 1, стр.1; Россия, 119017, Москва, Пыжевский пер., 3; Россия, 119234, Москва, ул. Ленинские Горы, 1, стр. 4; Россия, 119234, Москва, ул. Ленинские горы, 1, стр. 1
Список литературы
- Артамонов А.Ю., Варенцов М.И., Гавриков А.В., Пашкин А.Д., Репина И.А., Степаненко В.М. Микрометеорологическая мачта в МО МГУ // Эколого-климатические характеристики атмосферы Москвы в 2018 г. по данным Метеорологической обсерватории МГУ им. М.В. Ломоносова. 2019. С. 157–161.
- Барсков К.В., Глазунов А.В., Репина И.А., Степаненко В.М., Лыкосов В.Н., Маммарелла И. О применимости теории подобия для устойчиво-стратифицированного атмосферного пограничного слоя над поверхностями сложной структуры // Изв. РАН. Физика атмосферы и океана. 2018. Т. 54. № 5. С. 544–554.
- Монин А.С., Обухов А.М. Основные закономерности турбулентного перемешивания в приземном слое атмосферы // Труды ГЕОФИАН. 1954. № 24(151). С. 163–187.
- Монин А.С., Яглом А.М. Статистическая гидромеханика. М.: Наука, 1965, 640 с.
- Пашкин А.Д., Репина И.А., Степаненко В.М., Богомолов В.Ю., Смирнов С.В., Тельминов А.Е. Связь статистических характеристик турбулентности с когерентными структурами по результатам пульсационных измерений в городском каньоне // Процессы в геосредах. 2021. № 1(27). С. 1020–1027.
- Abdella K., McFarlane N. A new second-order turbulence closure scheme for the planetary boundary layer // J. Atmos. Sci. 1997. V. 54. № 14. P. 1850–1867.
- Barskov K., Chechin D., Drozd I., Artamonov A., Pashkin A., Gavrikov A., Stepanenko V., Varentsov M., Repina I. Relationships Between Second and Third Moments in the Surface Layer Under Different Stratification over Grassland and Urban Landscapes // Boundary-Layer Meteorology. 2022. P. 1–28.
- Barskov K., Stepanenko V., Repina I., Artamonov A., Gavrikov A. Two regimes of turbulent fluxes above a frozen small lake surrounded by forest // Boundary-Layer Meteorology. 2019. V. 173. № 3. P. 311–320.
- Drozd I., Gavrikov A., Stepanenko V. Comparative characteristics of gap filling methods in high-frequency data of micrometeorological measurements // IOP Conference Series: Earth and Environmental Science. IOP Publishing, 2022a. V. 1023. № 1. P. 012009.
- Drozd I., Repina I., Gavrikov A., Stepanenko V., Artamonov A., Pashkin A., Varentsov A. Atmospheric turbulence structure above urban nonhomogeneous surface // Russian J. Earth Sci. 2022b. V. 22. № 5. P. 12.
- Grachev A.A., Andreas E.L., Fairall C.W., Guest P.S., Persson P.O.G. Similarity theory based on the Dougherty–Ozmidov length scale // Quarterly J. Royal Meteorological Society. 2015. V. 141(690). P. 1845–1856.
- Grachev A.A., Leo L.S., Fernando H.J., Fairall C.W., Creegan E., Blomquist B.W., … Hocut C.M. Air–sea/land interaction in the coastal zone // Boundary-layer meteorology. 2018. V. 167(2). P. 181–210.
- Johansson C., Smedman A-S., Högström U., Brasseur J.G., Khanna S. Critical test of the validity of Monin–Obukhov similarity during convective conditions // J. Atmos. Sci. 2001. V. 58. № 12. P. 1549–1566.
- Kadivar M., Tormey D., McGranaghan G. A review on turbulent flow over rough surfaces: Fundamentals and theories // International J. Thermofluids. 2021. V. 10. P. 100 077.
- Kaimal J.C., Finnigan J.J. Atmospheric boundary layer flows: their structure and measurement. Oxford: Oxford University Press, 1994. 304 p.
- Lahiri S.N. Theoretical comparisons of block bootstrap methods // The Annals of Statistics. 1999. V. 27. P. 386–404.
- Stiperski I., Calaf M. Generalizing Monin-Obukhov similarity theory (1954) for complex atmospheric turbulence // arXiv preprint arXiv:2206.14592. 2022.
- Tong C., Nguyen K.X. Multipoint Monin–Obukhov similarity and its application to turbulence spectra in the convective atmospheric surface layer // J. Atmos. Sci. 2015. V. 72. P. 4337–4348.
- Wilson J.D. Monin-Obukhov functions for standard deviations of velocity // Boundary-Layer Meteorol. 2008. V. 129. № 3. P. 353–369.
- Wyngaard J.C. Turbulence in the atmosphere. N.Y.: Cambridge University Press, 2010. 393 p.
- Zilitinkevich S., Gryanik V., Lykossov V., Mironov D. Third-order transport and nonlocal turbulence closures for convective boundary layers // J. Atmos. Sci. 1999. V. 56. P. 3463–3477.
- Zilitinkevich S.S. Third-order transport due to internal waves and non-local turbulence in the stably stratified surface layer // Quarterly J. Royal Meteorological Society. 2002. V. 128(581). P. 913–925.
Дополнительные файлы











