Внутренние волны в районе пролива Акселоя острова Западный Шпицберген
- Авторы: Морозов Е.Г.1,2,3, Писарев С.В.1
-
Учреждения:
- Институт океанологии им. П.П. Ширшова РАН
- Московский физико-технический институт,
- Морской гидрофизический институт РАН
- Выпуск: Том 59, № 4 (2023)
- Страницы: 497-508
- Раздел: Статьи
- URL: https://bakhtiniada.ru/0002-3515/article/view/136937
- DOI: https://doi.org/10.31857/S0002351523040120
- EDN: https://elibrary.ru/YOULEH
- ID: 136937
Цитировать
Полный текст
Аннотация
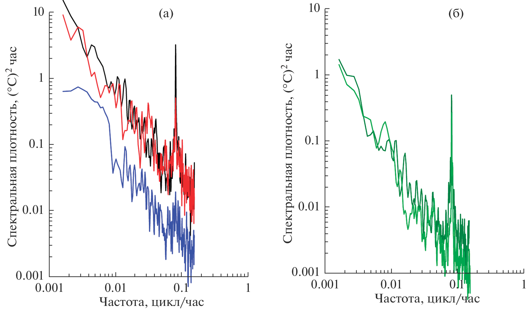
Выполнен анализ измерений температуры, солености и течений на трех заякоренных буйковых станциях, проработавших в течение года в районе сильных приливных течений около пролива Акселоя у устья фиорда Ван Майен на острове Западный Шпицберген. Приливные течения при обтекании подводного поперечного хребта в проливе генерируют интенсивные внутренние волны приливного периода. Над подводным склоном внутренние волны вынужденные. Вертикальные смещения частиц воды достигают 20 м. Волны быстро затухают по мере удаления от пролива и склона. На удалении 12 км от пролива они уже не регистрируются. Приливные течения в проливе достигают скорости 3 м/с и формируют интенсивную струю при вытекании из пролива. Сильная струя течений во время сизигийных приливов прижимает приборы, установленные на буйковых станциях, ко дну. Результаты численного моделирования подтверждают наблюдения о том, что интенсивность вынужденных внутренних волн быстро уменьшается с увеличением расстояния от места генерации.
Об авторах
Е. Г. Морозов
Институт океанологии им. П.П. Ширшова РАН; Московский физико-технический институт, ; Морской гидрофизический институт РАН
Автор, ответственный за переписку.
Email: egmorozov@mail.ru
Россия, 119997, Москва, Нахимовский просп., д. 36; Россия, 141707, Московская область, Долгопрудный, Институтский пер., д. 9,; Россия, 2299011, Севастополь, Капитанская ул. 2
С. В. Писарев
Институт океанологии им. П.П. Ширшова РАН
Email: egmorozov@mail.ru
Россия, 119997, Москва, Нахимовский просп., д. 36
Список литературы
- Власенко В.И. Нелинейная модель генерации бароклинных приливов над протяженными неоднородностями рельефа дна // Морской гидрофизический журн. 1992. № 6. С. 9–16. Physical Oceanography (Morskoy gidrofizicheskiy zhurnal). 1992. V. 3. P. 417–424.
- Зубов Н.Н. Гидрологические работы морского научного института в юго-западной части Баренцева моря летом 1928 г. летом на э/с “Персей” // Труды ГОИН, 1932. Т. 2. В. 4. С. 3–80.
- Kowalik Z., Marchenko A., Brazhnikov D., Marchenko N. Tidal currents in the western Svalbard Fjords // Oceanologia. 2015. V. 57. № 4. P. 318–327. https://doi.org/10.1016/j.oceano.2015.06.003
- Konyaev K.V. Internal tide at the critical latitude // Izv., Atmos. Ocean. Phys. 2000. V. 36. № 3. P. 396–408.
- Konyaev K.V., Plueddemann A., Sabinin K.D. Internal Tide on the Ermak Plateau in the Arctic Ocean // Izv. Atmos. Ocean. Phys. 2000. V. 36. № 4. P. 542–552.
- Kurkina O.E., Talipova T.G. Huge internal waves in the vicinity of the Spitsbergen Island (Barents Sea) // Natural Hazards Earth System Studies. 2011. V. 11. P. 981–986.
- LeBlond P.H., Mysak L.A. Waves in the ocean. Amsterdam: Elsevier oceanographic series. Elsevier, 1978. 602 p.
- Marchenko A., Shestov A., Karulin E., Morozov E., Karulina M., Bogorodsky P., Muzylev S., Onishchenko D., Makshtas A. Field studies of sea water and ice properties in Svalbard fjords // Proceedings of the 21st International Conference on Port and Ocean Engineering under Arctic Conditions July 10–14, 2011 Montréal, Canada. 2011.
- Marchenko A., Kowalik Z., Brazhnikov D., Marchenko N., Morozov E. Characteristics of sea currents in navigational strait Akselsundet in Spitsbergen // Proceedings of the 23rd International Conference on Port and Ocean Engineering under Arctic Conditions June 14–18, 2015 Trondheim, Norway. 2015.
- Marchenko A.V., Morozov E.G., Kozlov I.E., Frey D.I. High-amplitude internal waves southeast of Spitsbergen // Continental Shelf Research. 2021. V. 227. P. 104 523.
- Morozov E.G., Pisarev S.V. Internal tides at the Arctic latitudes (numerical experiments) // Oceanology. 2002. V. 42. № 2. P. 153–161.
- Morozov E.G., Trulsen K., Velarde M.G., Vlasenko V.I. Internal tides in the Strait of Gibraltar // J. Physical Oceanography. 2002. V. 32. P. 3193–3206.
- Morozov E.G., Paka V.T. Internal waves in a high-latitude region // Oceanology. 2010. V. 50. № 5. P. 668–674.
- Morozov E.G., Marchenko A.V., Filchuk K.V., Kowalik Z., Marchenko N.A., Ryzhov I.V. Sea ice evolution and internal wave generation due to a tidal jet in a frozen sea // Applied Ocean Research. 2019. V. 87. P. 179–191.
- Parson A.R., Bourke R.H., Muench R.D., Chiu C.-S., Lynch J.F., Miller J.H., Pluedemann A.J. The Barents Sea Polar Front in summer // J. Geophys. Res. 1996. V. 101. № C6. P. 14201–14221.
- Pisarev S.V. Experimental frequency spectra of internal waves in an ice-covered high-latitude basin // Oceanology. 1989. V. 28. № 5. P. 577–580.
- Pisarev S.V. Some measurements of the spatial and temporal characteristics of internal waves in an ice-covered high-latitude basin // Oceanology. 1991. V. 31. № 1. P. 42–46.
- Pisarev S.V. Spatial and temporal characteristics of internal waves at the edge of the continental shelf in the Arctic basin // Oceanology. 1992. V. 32. № 5. P. 579–583.
- Pisarev S.V. Low-frequency internal waves near the shelf edge of the Arctic basin // Oceanology. 1996. V. 36. № 6. P. 771–778.
- Plueddemannn A.J., Krishfield R., Takizawa T., Hatakeyama K., Honjo S. Upper ocean velocities in the Beaufort Gyre // Geophys. Res. Lett. 1998. V. 25. № 2. P. 183–186.
- Rippeth T.P., Vlasenko V., Stashchuk N., Scannell B.D., Green J.A.M., Lincoln B.J., Bacon S. Tidal conversion and mixing poleward of the critical latitude (an Arctic case study) // Geophysical Research Letters. 2017. V. 44. P. 12,349–12,357. https://doi.org/10.1002/2017GL075310
- Støylen E., Fer I. Tidally induced internal motion in an Arctic fjord // Nonlinear Processes in Geophysics. 2014. V. 21. P. 87–100. https://doi.org/10.5194/npg-21-87-2014
- Støylen E., Weber J.E.H. Mass transport induced by internal Kelvin waves beneath shore-fast ice // J. Geophys. Res. 2010. V. 115. P. C03022. https://doi.org/10.1029/2009JC005298
- Vlasenko V., Stashchuk N., Hutter K. Baroclinic Tides: Theoretical Modeling and Observational Evidence. Cambridge: Cambridge University Press, 2005. 351 p.
Дополнительные файлы
















