Criterion of Applicability of the Theory of Long Waves for Description of Dispersive Tsunami Waves
- Authors: Nosov M.A.1,2, Zarubina A.I.1
-
Affiliations:
- Physics Faculty, Lomonosov Moscow State University
- Institute of Marine Geology and Geophysics, Far Eastern Branch of Russian Academy of Science
- Issue: Vol 59, No 4 (2023)
- Pages: 485-496
- Section: Articles
- URL: https://bakhtiniada.ru/0002-3515/article/view/136936
- DOI: https://doi.org/10.31857/S0002351523040132
- EDN: https://elibrary.ru/YOYESH
- ID: 136936
Cite item
Full Text
Abstract
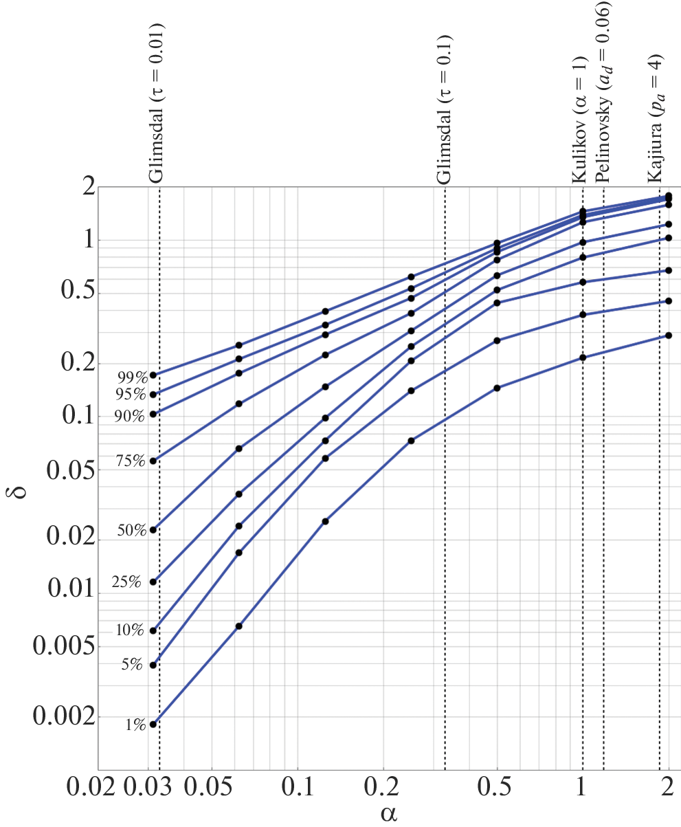
Conditions for the applicability of the dispersionless theory of long waves for reproducing dispersive tsunami waves are analyzed. As a quantitative criterion, the dispersive destruction distance is proposed for use, which is a value that is uniquely determined by the wavelength that dominates in the spectrum of the initial elevation of the water surface in the tsunami source, and the correction factor \(\alpha .\) The physical meaning of the \(\alpha \) value is the fraction of the wavelength by which the dispersive wave packet lags behind the long wave front when propagating over a distance equal to the dispersive destruction distance. Using the model residual displacement of the bottom surface, the geometrical parameters of which vary randomly, under the assumption of instantaneous generation of waves and taking into account the smoothing effect of the water layer, the Monte Carlo method establishes a relationship between the accuracy of wave reproduction by the dispersionless model and the quantity \(\alpha .\) Using the “\(\alpha \) coefficient scale”, the ranking of the criteria that were previously proposed by other authors was performed.
Keywords
About the authors
M. A. Nosov
Physics Faculty, Lomonosov Moscow State University; Institute of Marine Geology and Geophysics, Far Eastern Branch of Russian Academy of Science
Author for correspondence.
Email: m.a.nosov@mail.ru
Russia, 119991, Moscow, Leninskie Gory, 1, bil. 2; Russia, 693022, Yuzhno-Sakhalinsk, Nauki str., 1B,
A. I. Zarubina
Physics Faculty, Lomonosov Moscow State University
Author for correspondence.
Email: zarubina.ai17@physics.msu.ru
Russia, 119991, Moscow, Leninskie Gory, 1, bil. 2
References
- Доброхотов С.Ю., Назайкинский В.Е., Тироцци Б. О методе осреднения для дифференциальных операторов с осциллирующими коэффициентами // Докл. РАН. 2015. Т. 461. № 5. С. 516–520.
- Куликов Е.А., Медведев П.П., Лаппо С.С. Регистрация из космоса цунами 26 декабря 2004 г. в Индийском океане // Докл. РАН. 2005. Т. 401. № 4. С. 537–542.
- Носов М.А. Волны цунами сейсмического происхождения: современное состояние проблемы // Изв. РАН. Физика атмосферы и океана. 2014. Т. 50. № 5. С. 540–540.
- Носов М.А. Применимость длинноволнового приближения к описанию динамики цунами // Ученые записки физического факультета Московского университета. 2017. № 4. С. 1740503.
- Носов М.А., Колесов С.В. Комбинированная численная модель цунами // Математическое моделирование. 2019. Т. 31. № 1. С. 44–62.
- Носов М.А., Семенцов К.А. Расчет начального возвышения в очаге цунами с использованием аналитических решений // Изв. РАН. Физика атмосферы и океана. 2014. Т. 50. № 5. С. 612–612.
- Пелиновский Е.Н. Гидродинамика волн цунами. Нижний Новгород: ИПФ РАН, 1996. 276 с.
- Пелиновский Е.Н. Нелинейная динамика волн цунами. Горький: ИПФ АН СССР, 1982. 216 с.
- Behrens J., Dias F. New computational methods in tsunami science // Phil. Trans. R. Soc. 2015. V. 373. № 2053. P. 20140382.
- Dobrokhotov S.Yu., Grushin V.V., Sergeev S.A., Tirozzi B. Asymptotic theory of linear water waves in a domain with nonuniform bottom with rapidly oscillating sections // Russ. J. Math. Phys. 2016. V. 23. № 4. P. 454–473.
- Gisler G.R. Tsunami simulations // Annu. Rev. Fluid Mech. 2008. V. 40. P. 71–90.
- Glimsdal S., Pedersen G.K., Harbitz C.B. et al. Dispersion of tsunamis: does it really matter? // Nat. Hazard. Earth. Syst. Sci. 2013. V. 13. № 6. P. 1507–1526.
- Grimshaw R.H., Ostrovsky L.A., Shrira V.I., Stepanyants Y.A. Long nonlinear surface and internal gravity waves in a rotating ocean // Surveys in Geophysics. 1998. V. 19. № 4. P. 289–338.
- Kajiura K. The leading wave of a tsunami // Bull. Earthq. Res. Inst. 1963. V. 41. № 3. P 535–571.
- Kajiura K. Tsunami source, energy and directivity of wave radiation // Bull. Earthq. Res. Inst. 1970. V. 48. № 5. P. 835–869.
- Korolev P.Yu., Korolev Yu.P., Loskutov A.V. Analysis of the main characteristics of tsunamis based on data from deep-ocean stations // IOP Conference Series: Earth and Environmental Science. 2019. V. 324. № 1. P. 012 017.
- Kozelkov A., Efremov V., Kurkin A. et al. Three-dimensional numerical simulation of tsunami waves based on the Navier-Stokes equations // Sci. Tsunami Hazards. 2017. V. 36. № 4. P. 183–196.
- Kulikov E.A., Rabinovich A.B., Thomson R.E. et al. The landslide tsunami of November 3, 1994, Skagway harbor, Alaska // J. Geophys. Res.: Oceans. 1996. V. 101. № C3. P. 6609–6615.
- Levin B.W., Nosov M.A. Physics of Tsunamis, Second Edition. Cham-Heidelberg-New York-Dordrecht-London: Springer, 2016. 388 p.
- Madsen P.A., Murray R., Sorensen O.R. A new form of the Boussinesq equations with improved linear dispersion characteristics // Coast. Eng. 1991. V. 15. № 4. P. 371–388.
- Mirchina N.R., Pelinovsky E.N. Nonlinear and dispersive effects for tsunami waves in the open ocean // Int. J. Tsunami Soc. 1982. V. 2. № 4. P. 1073–1081.
- Saito T. Tsunami generation and propagation. Tokyo: Springer Japan, 2019. 274 p.
- Saito T., Kubota T. Tsunami modeling for the deep sea and inside focal areas // Annu. Rev. Earth. Planet. Sci. 2020. V. 48. P. 121–145.
- Shijo R., Tsukuda Y., Sato T. et al. Tsunami Simulation by 3D Model Around a Power Station Due to the 2011 Tohoku Earthquake // Coast. Eng. J. 2016. V. 58. № 4. P. 1 640 014.
- Shuto N. Numerical simulation of tsunamis–Its present and near future // Natural Hazards. 1991. V. 4. № 2. P. 171–191.
- Titov V., Kânoğlu U., Synolakis C. Development of MOST for real-time tsunami forecasting // J. Waterw., Port, Coast., Ocean Eng. 2016. V. 142. № 6. P. 03116004.
- Watada S., Kusumoto S., Satake K. Traveltime delay and initial phase reversal of distant tsunamis coupled with the self-gravitating elastic Earth // J. Geophys. Res.: Solid Earth. 2014. V. 119. № 5. P. 4287–4310.
Supplementary files









