Variations in Surface Concentrations and Total Column of CO2 and CH4 in the Central Part of the European Territory of Russia
- Authors: Visheratin K.N.1, Baranova E.L.1, Bugrim G.I.1, Ivanov V.N.1, Krasnopeeva E.I.1, Sakhibgareev D.G.1, Ustinov V.P.1, Shilkin A.V.1,2
-
Affiliations:
- Research and Production Association “Typhoon”
- Obukhov Institute of Atmospheric Physics, Russian Academy of Sciences
- Issue: Vol 59, No 2 (2023)
- Pages: 200-216
- Section: Articles
- URL: https://bakhtiniada.ru/0002-3515/article/view/136917
- DOI: https://doi.org/10.31857/S0002351523020086
- EDN: https://elibrary.ru/HPXCYM
- ID: 136917
Cite item
Full Text
Abstract
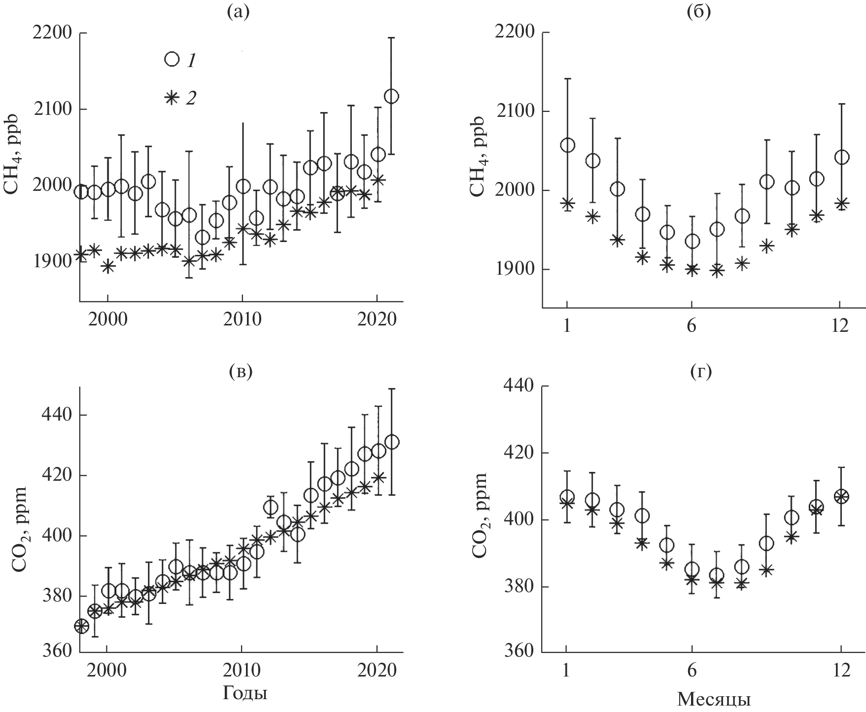
The results of measurements of surface concentrations and the total column of atmospheric carbon dioxide and methane at Obninsk station by the method of IR spectroscopy are presented. The description of the MR-32/MGС equipment for monitoring the gaseous composition of the atmosphere is given. Interannual and seasonal variations and trends in surface concentrations of CO2 and CH4 for 1998-2021 and total column for 2015–2021are analyzed. According to the results of cross-correlation wavelet analysis, the phase of annual variations in the column-averaged CH4 concentrations is ahead of the phase of surface variations by 2–3 months, and the variations in column-averaged CO2 concentrations lag behind the phase of annual variations in surface values by 1–2 months. The minimum surface concentrations of methane in May-A-ugust coincide with the column-averaged concentrations, and for carbon dioxide in the same period they are lower by 20–30 ppm. In the winter months, the minimum surface concentrations of methane and carbon dioxide are higher than column-averaged values by 70–150 ppb and by 6–15 ppm consequently. The measurement results are compared with GOSAT and data from European ground stations.
About the authors
K. N. Visheratin
Research and Production Association “Typhoon”
Author for correspondence.
Email: kvisher@mail.ru
Russia, 249038, Obninsk, Pobedy St., 4
E. L. Baranova
Research and Production Association “Typhoon”
Email: kvisher@mail.ru
Russia, 249038, Obninsk, Pobedy St., 4
G. I. Bugrim
Research and Production Association “Typhoon”
Email: kvisher@mail.ru
Russia, 249038, Obninsk, Pobedy St., 4
V. N. Ivanov
Research and Production Association “Typhoon”
Email: kvisher@mail.ru
Russia, 249038, Obninsk, Pobedy St., 4
E. I. Krasnopeeva
Research and Production Association “Typhoon”
Email: kvisher@mail.ru
Russia, 249038, Obninsk, Pobedy St., 4
D. G. Sakhibgareev
Research and Production Association “Typhoon”
Email: kvisher@mail.ru
Russia, 249038, Obninsk, Pobedy St., 4
V. P. Ustinov
Research and Production Association “Typhoon”
Email: kvisher@mail.ru
Russia, 249038, Obninsk, Pobedy St., 4
A. V. Shilkin
Research and Production Association “Typhoon”; Obukhov Institute of Atmospheric Physics, Russian Academy of Sciences
Email: kvisher@mail.ru
Russia, 249038, Obninsk, Pobedy St., 4; Russia, 119017, Moscow, Pyzhevsky Per., 3
References
- Арефьев В.Н., Дианов–Клоков В.И., Малков И.П. Полевой спектральный комплекс для исследований содержания в атмосфере загрязняющих газов // Труды ИЭМ. М.: Гидрометеоиздат, 1978. Вып. 8(81). С. 73–78.
- Арефьев В.Н., Вишератин К.Н., Кашин Ф.В., Устинов В.П. Аппаратура для измерений спектроскопическим методом интегрального содержания газов в атмосфере // Труды ИЭМ. 1995. Вып. 25(160). С. 119–125.
- Арефьев В.Н., Баранов Ю.И., Баранова Е.Л., Бугрим Г.И., Каменоградский Н.Е., Кашин Ф.В. Изменчивость содержания метана в приземном слое и в толще атмосферы // Изв. РАН. Физика атмосферы и океана. 2004. Т. 40. № 3. С. 403–409.
- Арефьев В.Н., Кашин Ф.В., Акименко Р.М., Баранов Ю.И., Бугрим Г.И., Вишератин К.Н., Кальсин А.В., Каменоградский Н.Е., Сизов Н.И., Устинов В.П., Упэнэк Л.Б. Исследования в области атмосферной спектроскопии // “Проблемы гидрологии и мониторинга окружающей среды”. Сб. науч. тр., Обнинск, 2010. С. 85–104.
- Арефьев В.Н., Каменоградский Н.Е., Кашин Ф.В., Шилкин А.В. Фоновая составляющая концентрации двуокиси углерода в приземном воздухе. (Станция мониторинга “Обнинск”) // Изв. РАН. Физика атмосферы и океана. 2014. Т. 50. № 6. С. 655–662.
- Арефьев В.Н., Акименко Р.М., Кашин Ф.В., Упэнэк Л.Б. Фоновая составляющая концентрации метана в приземном воздухе. (Станция мониторинга “Обнинск”) // Изв. РАН. Физика атмосферы и океана. 2015. Т. 51. № 6. С. 1–9.
- Дианов–Клоков В.И., Юрганов Л.Н. Измерения интегрального содержания примесей СО, СН4 и N2О в атмосфере // Изв. АН СССР. ФАО. 1982. Т. 18. № 7. С. 1159–1167.
- Кабанов Д.М., Сакерин С.М. Результаты исследований общего влагосодержания атмосферы методом оптической гигрометрии. Ч. 1. Aнализ методики и результатов калибровки // Оптика атмосферы и океана. 1995. Т. 8. № 06. С. 852–860.
- Кондратьев К.Я., Крапивин В.Ф. Моделирование глобального круговорота углерода. М.: Физматлит, 2004. 336 с.
- Макарова М.В., Кирнер О., Тимофеев Ю.М., Поберовский А.В., Имхасин Х.Х., Осипов С.И., Макаров Б.К. Годовой ход и долговременный тренд атмосферного метана в районе СанктПетербурга // Изв. РАН. Физика атмосферы и океана. 2015. Т. 51. № 4. С. 493–501.
- Мироненков А.В., Поберовский А.В., Тимофеев Ю.М. Методика интерпретации инфракрасных спектров прямой солнечной радиации для определения общего содержания атмосферных газов // Изв. РАН, Физика атмосферы и океана. 1996. Т. 32. № 2. С. 207–215.
- Ракитин В.С., Еланский Н.Ф., Панкратова Н.В., Скороход А.И., Джола А.В., Штабкин Ю.А., Ван Пусай, Ван Ген Чен, Васильева А.В., Макарова М.В., Гречко Е.И. Исследование трендов общего содержания CO и CH4 над Евразией на основе анализа наземных и орбитальных спектроскопических измерений // Оптика атмосферы и океана. 2017. Т. 30. № 06. С. 449–456. https://doi.org/10.15372/AOO20170601
- Тимофеев Ю.М. Исследование атмосферы Земли методом прозрачности. СПб.: Наука, 2016. 367 с.
- Шашков А.А., Броунштейн А.М., Жуков А.В., Привалов В.И., Фабер Е.В. Спектроскопические методики определения интегрального содержания СО, N2О и СН4 в вертикальном столбе атмосферы // Труды ГГО им. А.И. Воейкова. 1985. Вып. 496. С. 7–23.
- Baranov Yu.I., Baranova E.L., Bougrim G.I., Kashin F.V. Temporal variability of methane, carbon oxide and dioxide and dinitrogen oxide in surface air // Proc. SPIE. 2000. V. 4341. P. 438–442.
- Buschmann M., Deutscher N.M., Sherlock V., Palm M., Warneke T., Notholt J. Retrieval of xCO2 from ground-based mid-infrared (NDACC) solar absorption spectra and comparison to TCCON // Atmos. Meas. Tech. 2016. V. 9. P. 577–585. https://doi.org/10.5194/amt-9-577-2016
- Chen H., Winderlich J., Gerbig C., Hoefer A., Rella C.W., Crosson E.R., Van Pelt A.D., Steinbach J., Kolle O., Beck V., Daub B.C., Gottlieb E.W., Chow V.Y., Santoni G.W., Wofsy S.C. High-accuracy continuous airborne measurements of greenhouse gases (CO2 and CH4) using the cavity ring-down spectroscopy (CRDS) technique // Atmos. Meas. Tech. 2010. V. 3. P. 375–386.
- Dlugokencky E.J., Nisbet E.G., Fisher R., Lowry D. Global atmospheric methane: Budget, changes and dangers // Philos. Trans. R. Soc. A. 2011. V. 369. P. 2058–2072. https://doi.org/10.1098/rsta.2010.0341
- Dlugokencky E.J., Mund J.W., Crotwell A.M., Crotwell M.J., Thoning K.W. Atmospheric Carbon Dioxide Dry Air Mole Fractions from the NOAA GML Carbon Cycle Cooperative Global Air Sampling Network, 1968–2020, Version: 2021-07-30. https://doi.org/10.15138/wkgj-f215
- ESRL, 2021. Earth System Research Laboratory, Global Monitoring Division, Carbon Cycle Greenhouse Gases, http://www.esrl.noaa.gov/.
- Frey M., Sha M.K., Hase F., Kiel M., Blumenstock T., Harig R., Surawicz G., Deutscher N.M., Shiomi K., Franklin J.E., Bösch H., Chen J., Grutter M., Ohyama H., Sun Y., Butz, A., Mengistu Tsidu G., Ene D., Wunch D., Cao Z., Garcia O., Ramonet M., Vogel F., Orphal J. Building the COllaborative Carbon Column Observing Network (COCCON): long-term stability and ensemble performance of the EM27/SUN Fourier transform spectrometer // Atmos. Meas. Tech. 2019. V. 12. P. 1513–1530. https://doi.org/10.5194/amt-12-1513-2019
- Gavrilov N.M., Makarova M.V., Poberovskii A.V., Timofeyev Yu.M. Comparisons of CH4 ground-based FTIR measurements near Saint Petersburg with GOSA-T observations // Atmos. Meas. Tech. 2014. V. 7. P. 1003–1010.
- Ghasemifard H., Vogel F.R., Yuan Y., Luepke M., Chen J., Ries L., Leuchner M., Schunk C., Noreen Vardag S., Menzel A. Pollution Events at the High-Altitude Mountain Site Zugspitze-Schneefernerhaus (2670 m a.s.l.), Germany // Atmosphere. 2019. V. 10(6). P. 330. https://doi.org/10.3390/atmos10060330
- GOSAT, 2021. Greenhouse Gases Observing Satellite, https://data2.gosat.nies.go.jp; https://www.gosat.nies. go.jp/en/about_2_observe.html
- Grinsted A., Moore J.C., Jevrejeva S. Application of the cross wavelet transform and wavelet coherence to geophysical time series // Nonlin. Processes Geophys. 2004. № 11. P. 561–566. https://doi.org/10.5194/npg-11-561-2004
- Hase F., Blumenstock T., Dohe S., Groß J., Kiel M. TCCON data from Karlsruhe, Germany, Release GGG2014R1. 2017. https://doi.org/10.14291/tccon.ggg2020.karlsruhe01.R0
- Haszpra L., Ferenczi Z., Barcza Z. Estimation of greenhouse gas emission factors based on observed covariance of CO2, CH4, N2O and CO mole fractions // Environ Sci. Eur. 2019. P. 31–95. https://doi.org/10.1186/s12302-019-0277-y
- Howarth R.W. Ideas and perspectives: is shale gas a major driver of recent increase in global atmospheric methane? // Biogeosciences. 2019. V. 16. P. 3033–3046. https://doi.org/10.5194/bg-16-3033-2019
- HYSPLIT, 2021. The Hybrid Single-Particle Lagrangian Integrated Trajectory model, https://www.ready.noaa. gov/hypub-bin/trajtype.pl.
- Infraspek. 2021. http://www.infraspek.ru/produktsiya/ spektrometryi/fsm-2203-2/; http://www.infraspek.ru/ produktsiya/kyuvetyi/kyuvetyi-gazovyie/.
- IPCC, 2021. Global Carbon and other Biogeochemical Cycles and Feedbacks. In: Climate Change 2021: The Physical Science Basis. Contribution of Working Group I to the Sixth Assessment Report of the Intergovernmental Panel on Climate Change. Cambridge University Press. 2021.
- Kashin F. Variations of CO2 Mixing Ratios in the Air near the Ground in the European Territory of Russia // J. Environmental Science and Engineering A. 2013. V. 2. № 9. P. 531–536.
- Kivimäki E., Lindqvist H., Hakkarainen J., Laine M., Sussmann R., Tsuruta A., Detmers R., Deutscher N.M., Dlugokencky E.J., Hase F., Hasekamp O., Kivi R., Morino I., Notholt J., Pollard D.F., Roehl C., Schneider M., Sha M.K., Velazco V.A., Warneke T., Wunch D., Yoshida Y., Tamminen J. Evaluation and Analysis of the Seasonal Cycle and Variability of the Trend from GOSAT Methane Retrievals // Remote Sens. 2019. V. 11(7). P. 882. https://doi.org/10.3390/rs11070882
- Kubistin D., Plaß-Dülmer C., Arnold S., Lindauer M., Müller–Williams J. // ICOS RI, 2021. ICOS ATC CO Release, Karlsruhe (30.0 m), 2019-01-31–2021-01-31. https://hdl.handle.net/11676/7l7HG_GiOgS_u3TEuXB6HkFO
- NOAA, 2021. https://www.noaa.gov/news-release/i-ncrease-in-atmospheric-methane-set-another-record-during-2021.
- Olsen S.C., Randerson J.T. Differences between surface and column atmospheric CO2 and implications for carbon cycle research // J. Geophys. Res. 2004. V. 109. D02301. https://doi.org/10.1029/2003JD003968
- Oshchepkov S., Bril A., Yokota T., Yoshida Y., Blumenstock T., Deutscher N.M., Dohe S., Macatangay R., Morino I., Notholt J., Rettinger M., Petri C., Schneider M., Sussman R., Uchino O., Velazco V., Wunch D., Belikov D. Simultaneous retrieval of atmospheric CO2 and light path modification from space-based spectroscopic observations of greenhouse gases: Methodology and application to GOSAT measurements over TCCON sites // Appl. Opt. 2013. V. 52. P. 1339–1350.
- Ostler A., Sussmann R., Rettinger M., Deutscher N.M., Dohe S., Hase F., Jones N., Palm M., Sinnhuber B.-M. Multistation intercomparison of column–averaged methane from NDACC and TCCON: impact of dynamical variability // Atmos. Meas. Tech. 2014. V. 7. P. 4081–4101.
- Rakitin V.S., Skorokhod A.I., Pankratova N.V., Shtabkin Yu.A., Rakitina A.V., Wang G., Vasilieva A.V., Makarova M.V., Wang P. Recent changes of atmospheric composition in background and urban Eurasian regions in XXI-th century // IOP Conf. Series: Earth and Environmental Science. 2020. T. 606. № 1. P. 012 048. https://doi.org/10.1088/1755-1315/606/1/012048
- Rothman L.S., Gordon I.E., Babikov I.E., Barbe A., Benner C.D. et al. The HITRAN 2012 molecular spectroscopic database // J. Quant. Spectrosc. Radiat. Transfer. 2013. V. 130. P. 4–50.
- SFIT4. Version V0.9.4.4. The University Corporation for Atmospheric Research, https://wiki.ucar.edu/di-splay/ sfit4.
- Takeda M., Nakajima H., Murata I., Nagahama T., Morino I., Toon G.C., Weiss R.F., Mühle J., Krummel P.B., Fraser P.J., Wang H.-J. First ground-based Fourier transform infrared (FTIR) spectrometer observations of HFC-23 at Rikubetsu, Japan, and Syowa Station, Antarctica // Atmos. Meas. Tech. 2021. V. 14. P. 5955–5976.https://doi.org/10.5194/amt-14-5955-2021
- TCCON, 2021. https://tccondata.org/; https://tccon-wiki. caltech.edu/Sites.
- Tohjima Y., Kubo M., Minejima C., Mukai H., Tanimoto H., Ganshin A., Maksyutov S., Katsumata K., Machida T., Kita K. Temporal changes in the emissions of CH4 and CO from China estimated from CH4/CO2 and CO/CO2 correlations observed at Hateruma Island // Atmos. Chem. Phys. 2014. V. 14. P. 1663–1677.
- Visheratin K.N., Baranova E.L., Bugrim G.I., Ivanov V.N., Krasnopeeva E.I., Sakhibgareev D.G., Ustinov V.P., Shilkin A.V., Baranov Yu.I., Kashin F.V. MR-32/MGS setup for monitoring gas composition of atmosphere // XXVII International Symposium “Atmospheric and Ocean Optics. Atmospheric Physics”. 2021 july 05–09. Moscow. 2021. https://symp.iao.ru/files/symp/aoo/ 27/presentation_13663.pdf.
- WACCAM, 2013. Whole Atmosphere Community Climate Model, https://www2.acom.ucar. edu/gcm/waccm; ftp://acd.ucar.edu/user/jamesw/IRWG/2013/.
- WDCGG, 2021 World Data Centre for Greenhouse Gases, https://gaw.kishou.go.jp.
- WMO, 2021. The State of Greenhouse Gases in the Atmosphere Based on Global Observations through 2020 // Greenhouse Gas Bulletin. No. 17, 25 October 2021.
- Wong K.W., Fu D., Pongetti T.J., Newman S., Kort E.A., Duren R., Hsu Y.-K., Miller C.E., Yung Y.L., Sander S.P. Mapping CH4: CO2 ratios in Los Angeles with CLARS-FTS from Mount Wilson, California // Atmos. Chem. Phys. 2015. V. 15. P. 241–252. https://doi.org/10.5194/acp-15-241-2015
- Yoshida Y., Ota Y., Eguchi N., Kikuchi N., Nobuta K., Tran H., Morino I., Yokota T. Retrieval algorithm for CO2 and CH4 column abundances from short-wavelength infrared spectral observations by the Greenhouse gases observing satellite // Atmos. Meas. Tech. 2011. V. 4. P.717–734.https://doi.org/10.5194/amt-4-717-2011
Supplementary files












