Variability of Jet Streams in the Atmosphere of the Northern Hemisphere in Recent Decades (1980–2021)
- Authors: Bezotecheskaya Е.А.1,2, Chkhetiani О.G.1, Mokhov I.I.1,3
-
Affiliations:
- Obukhov Institute of Atmospheric Physics, Russian Academy of Sciences
- Arctic and Antarctic Research Institute
- Lomonosov Moscow State University
- Issue: Vol 59, No 3 (2023)
- Pages: 265-274
- Section: Articles
- URL: https://bakhtiniada.ru/0002-3515/article/view/136903
- DOI: https://doi.org/10.31857/S0002351523030021
- EDN: https://elibrary.ru/TNGRAK
- ID: 136903
Cite item
Full Text
Abstract
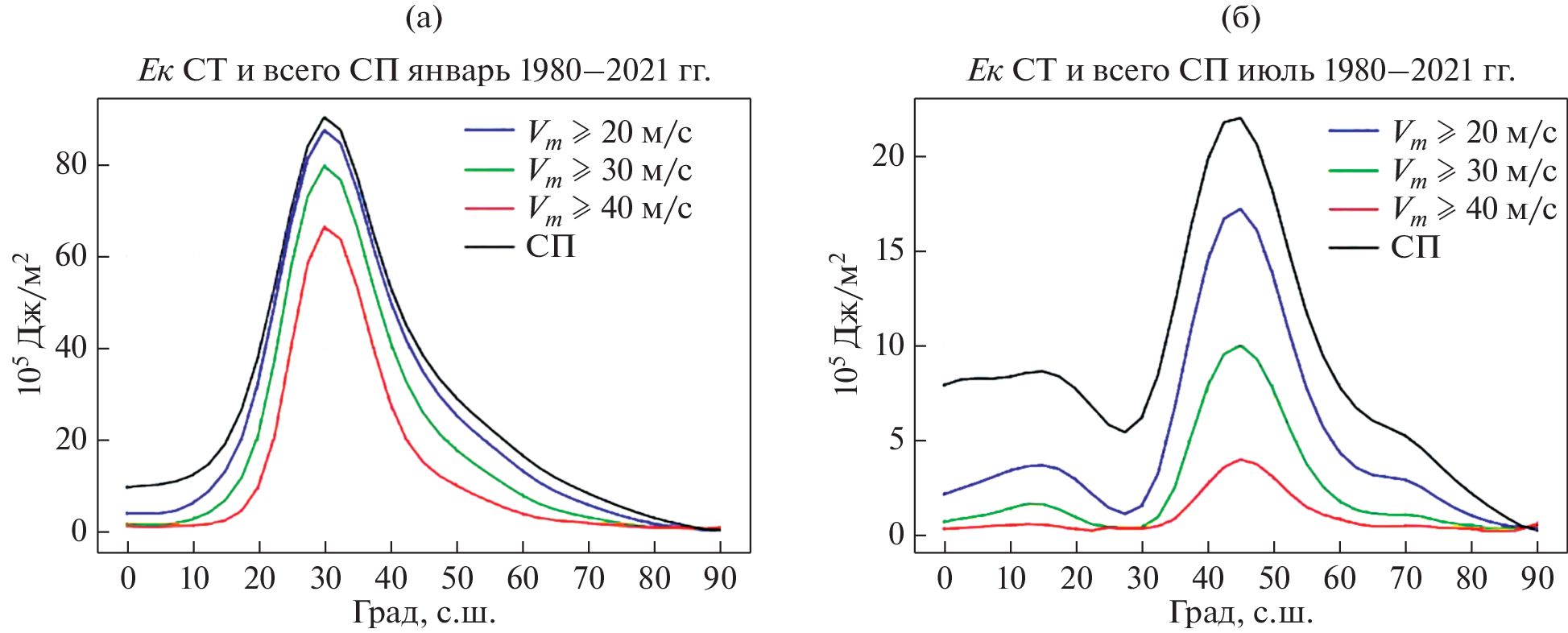
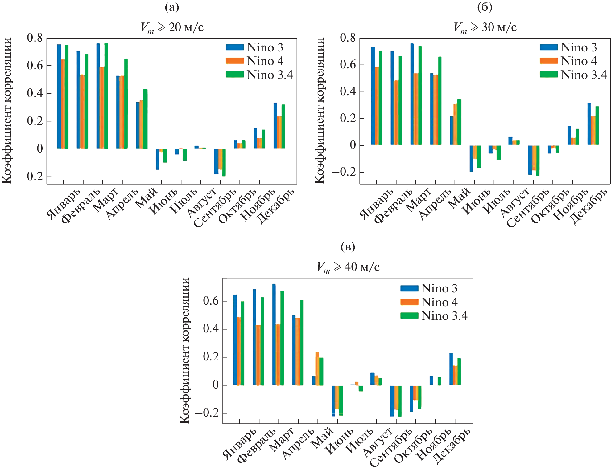
Based on the reanalysis data quantitative estimates of the kinetic energy of the high-altitude jet streams of the Northern Hemisphere (EK JS NH) and its changes in the annual cycle and interannual variability for the period 1980–2021 were obtained under different conditions for the minimum wind speed Vm in the JS area. Adequate estimates are made for the share of the total kinetic energy of the atmosphere of the Northern Hemisphere associated with JS (PEк JS). The share of the volume of atmospheric layers in the JS area in the NH in the total analyzed atmospheric layer of 500–100 hPa (PV JS) was also estimated. Significant changes were noted in summer including significant weakening trends of EК, PEк and PV in July and August at Vm ≥ 20 and Vm ≥ 30 m/s. In winter significant changes were noted only for PV – a decreasing trend at Vm ≥ 20 and Vm ≥ 30 m/s. Seasonal features of JS connection with El Niño phenomena are noted which are most significantly manifested from January to April.
About the authors
Е. А. Bezotecheskaya
Obukhov Institute of Atmospheric Physics, Russian Academy of Sciences; Arctic and Antarctic Research Institute
Author for correspondence.
Email: eadurneva@aari.ru
Russia, 119017, Moscow, Pyzhevsky per., 3; Russia, 199397, Saint-Petersburg, Bering st., 38
О. G. Chkhetiani
Obukhov Institute of Atmospheric Physics, Russian Academy of Sciences
Email: eadurneva@aari.ru
Russia, 119017, Moscow, Pyzhevsky per., 3
I. I. Mokhov
Obukhov Institute of Atmospheric Physics, Russian Academy of Sciences; Lomonosov Moscow State University
Email: eadurneva@aari.ru
Russia, 119017, Moscow, Pyzhevsky per., 3; Russia, 199991, Moscow, Leninskie Gory, 1-2, GSP-1
References
- Воробьев В.И. Струйные течения в высоких и умеренных широтах. Л.: Гидрометеоиздат, 1960. 234 с.
- Джорджио В.А. Струйное течение // Труды Ташкентской геофизической обсерватории. Л.: Гидрометеоиздат. 1956. № 12(13). С. 3–101.
- Джорджио В.А., Петренко Н.В. Физическая природа струйных течений в атмосфере // Физика атмосферы и авиационная метеорология. Научные труды. Ташкент: ФАН. 1967. № 289. С. 44–97.
- Дюкарев Е.А., Ипполитов И.И., Кабанов М.В., Логинов С.В. Изменчивость субтропического струйного течения в тропосфере Северного полушария во второй половине 20 в. // Оптика атмосферы и океана. 2008. Т.21. № 10. С. 869–875.
- Лайхтман Д.Л. Динамическая метеорология. Л.: Гидрометеоиздат, 1976. 608 с.
- Мохов И.И. Диагностика структуры климатической системы. СПб.: Гидрометеоиздат, 1993. 271 с.
- Мохов И.И. Особенности формирования летней жары 2010 г. на европейской территории России в контексте общих изменений климата и его аномалий // Изв. РАН. Физика атмосферы и океана. 2011. Т. 47. № 6. С. 709–716.
- Мохов И.И. Российские климатические исследования в 2015–2018 гг. // Изв. РАН. Физика атмосферы и океана. 2020. Т. 56. № 4. С. 376–396.
- Мохов И.И. Изменения климата: причины, риски, последствия, проблемы адаптации и регулирования // Вестник РАН. 2022. Т. 92. № 1. С. 3–14.
- Обухов А.М., Курганский М.В., Татарская М.С. Динамические условия возникновения засух и других крупномасштабных погодных аномалий // Метеорология и гидрология. 1984. № 10. С. 5–13.
- Хромов С.П., Мамонтова Л.И. Метеорологический словарь. Л.: Гидрометеоиздат, 1955. 456 с.
- Archer C.L., Caldeira K. Historical trends in the jet streams // Geophys. Res. Lett. 2008. V. 35. P. L08803. https://doi.org/10.1029/2008GL033614
- Francis J.A., Vavrus S.J. Evidence for a wavier jet stream in response to rapid Arctic warming // Environ. Res. Lett. 2015. V. 10. P. 014005. https://doi.org/10.1088/1748-9326/10/1/014005
- Hall R., Erdélyi R., Hanna E., Jones J.M., Scaife A.A. Drivers of North Atlantic polar front jet stream variability // Int. J. Climatol. 2015. V. 35. P. 1697–1720.
- IPCC, 2021: Climate Change 2021: The Physical Science Basis. Contribution of Working Group I to the Sixth Assessment Report of the Intergovernmental Panel on Climate Change / [Masson-Delmotte V., et al. (eds.)]. Cambridge Univ. Press. 2021.
- Lupo A.R., Jensen A.D., Mokhov I.I., Timazhev A., Eichler T., Efe B. Changes in global blocking character during recent decades // Atmosphere. 2019. V. 10. № 2. P. 92.
- Ma L., Woollings T., Williams R.G., Smith D., Dunstone N. How does the winter jet stream affect surface temperature, heat flux and sea ice in the North Atlantic? // J. Climate. 2020. V. 33. № 9. P. 3711–3730.
- Palmén E., Newton C. Atmospheric Circulation Systems: Their Structure and Physical Interpretation. N.Y. and London: Academic Press, 1969. 603 p.
- Pena-Ortiz C., Gallego D., Ribera P., Ordonez P., Alvarez–Castro M. Del C. Observed trends in the global jet stream characteristics during the second half of the 20th century // J. Geophys. Res.: Atmospheres. 2013. V. 118. № 7. P. 2702–2713.
- Rex D.F. Blocking action in the middle troposphere and its effect upon regional climate. Tellus. 1950. V. 2. № 3. P. 196–211.
- Strong C., Davis R. Winter jet stream trends over the Northern Hemisphere // Q. J. R. Meteorol. Soc. 2007. № 133. P. 2109–2115.
- Strong C., Davis R. Variability in the position and strength of winter jet stream cores related to Northern Hemisphere teleconnections // J. Climate. 2008. V. 21. № 3. P. 584–592.
Supplementary files











