Approximation of Small Amplitude Waves Short in Vertical in the Atmosphere Taking Into Account the Average Wind
- Authors: Kshevetskii S.Р.1, Kurdyaeva Y.А.2, Gavrilov N.М.3
-
Affiliations:
- Immanuel Kant Baltic Federal University
- West Department of Pushkov Institute of Terrestrial Magnetism, Ionosphere and Radio Wave Propagation
- St. Petersburg State University
- Issue: Vol 59, No 1 (2023)
- Pages: 44-54
- Section: Articles
- URL: https://bakhtiniada.ru/0002-3515/article/view/136899
- DOI: https://doi.org/10.31857/S0002351523010078
- EDN: https://elibrary.ru/EHFRZW
- ID: 136899
Cite item
Full Text
Abstract
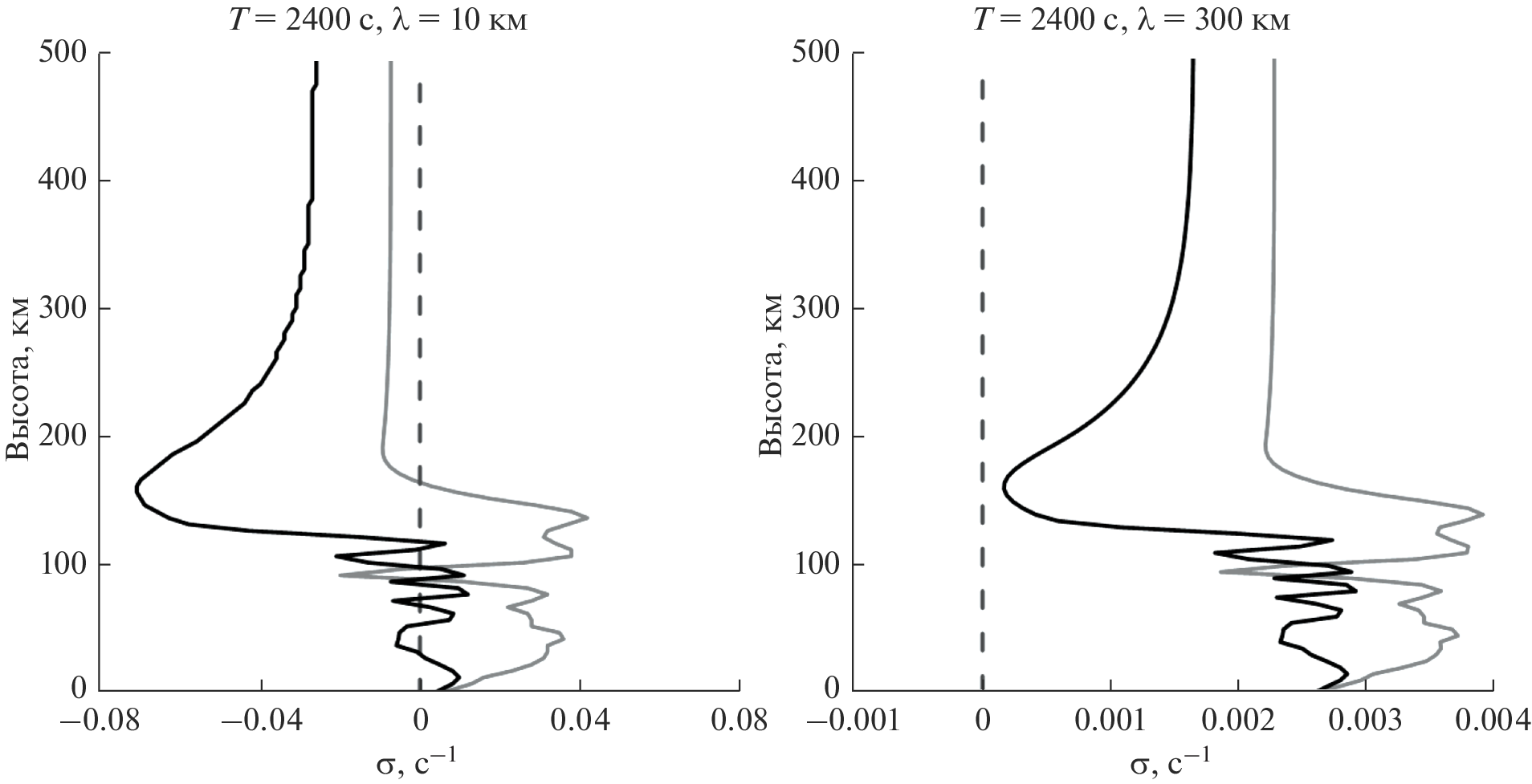
Using the method of different scales, formulas for the hydrodynamic fields of acoustic-gravity waves (AGWs) with vertical wavelengths small compared to the scales of changes in the background temperature and wind fields are derived. These formulas are equivalent to the conventional WKB approximation, but explicitly include the vertical gradients of the background fields. The conditions for the applicability of the obtained formulas for describing the propagation of AGWs from the troposphere to the thermosphere are formulated and analyzed. The absence of singular points (critical levels) in the equations for wave modes in the analyzed height range is one of the conditions for the applicability of approximate formulas. For the wind from the empirical HWM model, singular points are often located below 200 km and are typical for internal gravity waves (IGWs), with lengths of the order of 10 km. As the wavelength increases, the number of singular points decreases. For IGWs with scales on the order of 300 km or more, there are usually no singular points. It is shown that IGWs with periods of less than 20 min propagating upward from tropospheric heights usually have one turning point in the altitude range from 100 to 130 km. The obtained formulas are useful, in particular, for parametrization of AGW effects in numerical models of atmospheric dynamics and energy.
About the authors
S. Р. Kshevetskii
Immanuel Kant Baltic Federal University
Author for correspondence.
Email: SPKshev@gmail.com
Russia, 236041, Kaliningrad, A. Nevskogo Str., 14
Y. А. Kurdyaeva
West Department of Pushkov Institute of Terrestrial Magnetism, Ionosphere and Radio Wave Propagation
Email: SPKshev@gmail.com
Russia, 236016, Kaliningrad, Pionerskaya Str., 61
N. М. Gavrilov
St. Petersburg State University
Email: SPKshev@gmail.com
Russia, 199034, St. Petersburg, Universitetskaya emb., 7/9,
References
- Borchevkina O.P., Kurdyaeva Y.A., Dyakov Y.A., Karpo I.V., Golubko, G.V., Wang P.K., Golubkov M.G. Disturbances of the Thermosphere and the Ionosphere during a Meteorological Storm // Atmosphere. 2021. V. 12. P. 1384. https://doi.org/10.3390/atmos12111384
- Boška J., Šauli P. Observations of gravity waves of meteorological origin in the F-region ionosphere // Physics and Chemistry of the Earth. 2001. V. 26. P. 425–428. https://doi.org/10.1016/S1464-1917(01)00024-1
- Kumar K.V., Ajeet K.M., Kumar S., Singh R. July 22, 2009, Total Solar Eclipse induced gravity waves in the ionosphere as inferred from GPS observations over EIA // Advances in Space Research. 2016. V. 58. P. 1755–1762.
- Рыбнов Ю.С., Соловьев С.П. Cинхронные вариации атмосферного давления и электрического поля при прохождении солнечного терминатора // Геомагнетизм и аэрономия. 2019. Т. 59(2). С. 249–257.
- Захаров В.И., Куницын В.Е. Региональные особенности атмосферных проявлений тропических циклонов по данным наземных GPS-сетей // Геомагнетизм и аэрономия. 2012. Т. 52(4). С. 562.
- Перцев Н.Н., Шалимов С.Л. Генерация атмосферных гравитационных волн в сейсмически активном регионе и их влияние на ионосферу // Геомагнетизм и аэрономия. 1996. Т. 36(2), С. 111–118.
- Клименко М.В., Клименко В.В., Карпов И.В., Захаренкова И.Е. Моделирование сейсмоионосферных эффектов, инициированных внутренними гравитационными волнами // Химическая физика. 2011. Т. 30. (5). С. 41–49.
- Fritts D.C., Vadas S.L. et al. Wan and variable forcing of the middle atmosphere by gravity waves // Journal of Atmospheric and Solar-Terrestrial Physics. 2006. V. 68. P. 247–265.
- Lindzen R.S., Turbulence and stress owing to gravity wave and tidal breakdown // Journal of Geophysical Research. 1981. V. 86. P. 9707–9714.
- Holton J.R. The role of gravity wave induced drag and diffusion in the momentum budget of the mesosphere // Journal of the Atmospheric Sciences. 1982. V. 39. P. 791–799.
- Lindzen R.S., Holton J.R. A Theory of the Quasi-Biennial Oscillation // Journal of the Atmospheric Sciences. 1968. V. 25. P. 1095–1107. https://doi.org/10.1175/1520-0469(1968)025<1095: ATOTQB>2.0.CO;2
- Alexander M.J., Dunkerton T.J. A Spectral Parameterization of Mean-Flow Forcing due to Breaking Gravity Waves // Journal of the Atmospheric Sciences. 1999. V.56(24), P. 4167–4182.
- Weinstock J. Saturated and unsaturated spectra of gravity waves and scale-dependent diffusion //Journal of Atmospheric Sciences. 1990. V. 47(18). P. 2211–2226.
- Medvedev A.S., Klaassen G.P. Vertical evolution of gravity wave spectra and the parameterization of associated wave drag // Journal of Geophysical Research. 1995. V. 100. P. 25841–25853.
- Medvedev A.S., Klaassen G.P. Parameterization of gravity momentum deposition based on a nonlinear theory of wave spectra // Journal of Atmospheric and Solar-Terrestrial Physics. 2000. V. 62. P. 1015–1033.
- Yiğit E., Aylward A., Medvedev A.S. Parameterization of the effects of vertically propagating gravity waves for thermosphere general circulation models: Sensitivity study // Journal of Geophysical Research. 2008. V. 113. D19106. .https://doi.org/10.1029/2008jd010135
- Godin O. Wentzel–Kramers–Brillouin approximation for atmospheric waves // Journal of Fluid Mechanics. 2015. V. 777. P. 260–290. https://doi.org/10.1017/jfm.2015.367
- Gossard E.E., Hooke W.H. Waves in the atmosphere. Elsevier: Amsterdam, 1975, p. 456.
- Jones R.M., Georges T.M. Propagation of acoustic-gravity waves in a temperature- and wind-stratified atmosphere // Journal of the Acoustical Society of America. 1976. V. 59. P. 765–779.
- Fritt D.C., Alexander M.J. Gravity wave dynamics and effects in the middle atmosphere // Reviews of Geophysics. 2003. V. 41. P. 1003.
- Godin O.A. Diffraction of acoustic-gravity waves in the presence of a turning point // The Journal of the Acoustical Society of America. 2016. V. 140. P. 283. https://doi.org/10.1121/1.4955283
- Nayfeh A.H. Introduction to perturbation techniques. A Willey intersience publication. New York. 1981. 535 p.
- Найфэ А.Х. Методы возмущений. Москва. Мир. 1976. 456 с.
- Ostashev V.E., Wilson D.K. Acoustics in Moving Inhomogeneous Media. Second Edition. by CRC Press. 2019. 544 p.
- Brekhovskikh L.M., Godin O.A. Acoustics of Layered Media. Springer. 1998.
- Ostashev V.E. Equation for acoustic and gravity-waves in a stratified moving medium // Soviet Physics Acoustics. 1987. V. 33. P. 95–96.
- Yeh K.C. and Liu C.H. Acoustic-Gravity Waves in the Upper Atmosphere // Reviews of Geophysics and Space Physics. 1974. V. 12. P. 193–216.
- Лайтхилл Дж. Волны в жидкостях. Мир. М. 1981. 598 с.
- Gavrilov N.M., Fukao S.A. Comparison of Seasonal Variations of Gravity Wave Intensity Observed by the MU Radar with a Theoretical Model // Journal of the Atmospheric Sciences. 1999 V. 56(20). P. 3485–3494.
- Федорюк М.В. Асимптотические методы для линейных обыкновенных дифференциальных уравнений. Москва. Наука. 1983. 352 с.
- Федорюк М.В. Асимптотические методы в теории обыкновенных линейных дифференциальных уравнений // Математический сборник. 1969 Т. 79(121), № 4(8). С. 477–516.
- Камке Э. Справочник по обыкновенным дифференциальным уравнениям. Наука. Москва. 1976. 576 с.
- Смирнов В.И. Курс высшей математики. Т. 3, часть 2. М. 1974. 672 с.
- Booker J., Bretherton F. The critical layer for internal gravity waves in a shear flow // Journal of Fluid Mechanics. 1967. V. 27(3). P. 513–539. https://doi.org/10.1017/S0022112067000515
- Drob D.P., Emmert J.T., Meriwether J.W. et al. An update to the Horizontal Wind Model (HWM): The quiet time thermosphere // Earth and Space Science. 2015. V. 2. P. 301–319.
- Polyakova A.S., Perevalova N.P. Comparative analysis of TEC disturbances over tropical cyclone zones in the north-west Pacific Ocean // Advances in Space Research. 2013. V. 52. № 8. P. 1416–1426. https://doi.org/10.1016/j.asr.2013.07.029
- Куличков С.Н., Цыбульская Н.Д., Чунчузов И.П. и др. Исследования внутренних гравитационных волн от атмосферных фронтов в Московском регионе // Известия Российской академии наук. Физика атмосферы и океана. 2017. Т. 53(4). С. 455–469. https://doi.org/10.7868/S0003351517040031
- Дикий Л.А. Теория колебаний земной атмосферы. Ленинград. Гидрометеоиздат, 1969. 194 с.
Supplementary files






