Logical classification based on finding regular representative elementary classifiers

Cover Page

Cite item

Full Text

Abstract

An approach to the supervised classification problem based on the apparatus of discrete mathematics (logical methods of data analysis) is considered. The possibility of time costs reducing at the stage of correct logical classifier training is investigated. New models of classifiers are proposed. These models are based on finding frequently occurring fragments of a special type in the descriptions of precedents — regular elementary classifiers. Descriptions of classifier models are given using the concepts of logical functions theory. To construct sought fragments, the authors have developed and implemented an original algorithm. The effectiveness of proposed classifier models has been experimentally substantiated and confirmed by theoretical estimates of their training complexity. An upper asymptotic estimate of the typical number of regular elementary classifiers is obtained.

Full Text

Введение. Задача классификации по прецедентам является одной из основных задач интеллектуального анализа данных и формулируется следующим образом. Исследуется некоторое множество объектов М, описываемых в системе числовых признаков x 1 , ,  x n MathType@MTEF@5@5@+= feaahGart1ev3aqatCvAUfeBSjuyZL2yd9gzLbvyNv2Caerbov2D09 MBdbqedmvETj2BSbqeeuuDJXwAKbsr4rNCHbGeaGqik8fkY=xipgYl h9vqqj=hEeeu0xXdi9arFj0xirFj0dXdbba91qpK0=yr0RYxfr=Jbb f9q8aq0=yq=He9q8qqQ8frFve9Fve9Ff0dmeaabaqaciaacaGaaeqa baqabeGadaaakeaaqaaaaaaaaaWdbiaadIhapaWaaSbaaSqaa8qaca aIXaaapaqabaGcpeGaaiilaiaaKdkacqGHMacVcaGGSaGaaqoOaiaa dIhapaWaaSbaaSqaa8qacaWGUbaapaqabaaaaa@3B9B@ . Известно, что М редставимо в виде объединения l MathType@MTEF@5@5@+= feaahGart1ev3aqatCvAUfeBSjuyZL2yd9gzLbvyNv2Caerbov2D09 MBdbqedmvETj2BSbqeeuuDJXwAKbsr4rNCHbGeaGqik8fkY=xipgYl h9vqqj=hEeeu0xXdi9arFj0xirFj0dXdbba91qpK0=yr0RYxfr=Jbb f9q8aq0=yq=He9q8qqQ8frFve9Fve9Ff0dmeaabaqaciaacaGaaeqa baqabeGadaaakeaaqaaaaaaaaaWdbiaadYgaaaa@321C@  подмножеств K 1 ,, K l MathType@MTEF@5@5@+= feaahGart1ev3aqatCvAUfeBSjuyZL2yd9gzLbvyNv2Caerbov2D09 MBdbqedmvETj2BSbqeeuuDJXwAKbsr4rNCHbGeaGqik8fkY=xipgYl h9vqqj=hEeeu0xXdi9arFj0xirFj0dXdbba91qpK0=yr0RYxfr=Jbb f9q8aq0=yq=He9q8qqQ8frFve9Fve9Ff0dmeaabaqaciaacaGaaeqa baqabeGadaaakeaaqaaaaaaaaaWdbiaadUeapaWaaSbaaSqaa8qaca aIXaaapaqabaGcpeGaaiilaiabgAci8kaacYcacaWGlbWdamaaBaaa leaapeGaamiBaaWdaeqaaaaa@3833@ , называемых классами. Дан набор объектов из М, о которых известно, каким классам они принадлежат. Это прецеденты или обучающие объекты. Требуется на базе анализа множества прецедентов построить алгоритм, определяющий класс любого объекта из М.

Дискретный или логический подход к задаче классификации предполагает, что каждый признак имеет ограниченное число допустимых значений, каждое из которых кодируется целым числом. Рассматриваемый подход имеет целью построение корректных моделей классификаторов, обеспечивающих безошибочное распознавание прецедентов.

Одними из известных направлений логической классификации являются LAD (logical analysis of data) и CVP (correct voting procedures). Каждое из направлений базируется на поиске таких фрагментов описаний прецедентов, которые позволяют отличать прецеденты из разных классов. В LAD искомые фрагменты называют логическими закономерностями, а в CVP представительными элементарными классификаторами. Различным образом определяется понятие информативности фрагмента. В первом случае ищутся «максимальные» логические закономерности и решается сложная в вычислительном плане оптимизационная задача линейного программирования. Во втором случае ищутся «тупиковые» (в некотором смысле минимальные) представительные элементарные классификаторы, при этом возникают труднорешаемые дискретные перечислительные задачи. Направление LAD предложено в [1] и в основном развивается за рубежом. В России это направление представлено работами [2, 3]. Для направления CVP основополагающими являются публикации отечественных ученых [4-10].

Логические классификаторы наиболее эффективны в случае целочисленной информации низкой значности. Их описание может быть дано с использованием аппарата функций k MathType@MTEF@5@5@+= feaahGart1ev3aqatCvAUfeBSjuyZL2yd9gzLbvyNv2Caerbov2D09 MBdbqedmvETj2BSbqeeuuDJXwAKbsr4rNCHbGeaGqik8fkY=xipgYl h9vqqj=hEeeu0xXdi9arFj0xirFj0dXdbba91qpK0=yr0RYxfr=Jbb f9q8aq0=yq=He9q8qqQ8frFve9Fve9Ff0dmeaabaqaciaacaGaaeqa baqabeGadaaakeaaqaaaaaaaaaWdbiaadUgaaaa@321B@  - значной логики ( k2 MathType@MTEF@5@5@+= feaahGart1ev3aqatCvAUfeBSjuyZL2yd9gzLbvyNv2Caerbov2D09 MBdbqedmvETj2BSbqeeuuDJXwAKbsr4rNCHbGeaGqik8fkY=xipgYl h9vqqj=hEeeu0xXdi9arFj0xirFj0dXdbba91qpK0=yr0RYxfr=Jbb f9q8aq0=yq=He9q8qqQ8frFve9Fve9Ff0dmeaabaqaciaacaGaaeqa baqabeGadaaakeaaqaaaaaaaaaWdbiaadUgacqGHLjYScaaIYaaaaa@349D@  ). Тогда представительный элементарный классификатор (логическая закономерность) класса K является элементарной конъюнкцией над переменными x 1 , ,  x n MathType@MTEF@5@5@+= feaahGart1ev3aqatCvAUfeBSjuyZL2yd9gzLbvyNv2Caerbov2D09 MBdbqedmvETj2BSbqeeuuDJXwAKbsr4rNCHbGeaGqik8fkY=xipgYl h9vqqj=hEeeu0xXdi9arFj0xirFj0dXdbba91qpK0=yr0RYxfr=Jbb f9q8aq0=yq=He9q8qqQ8frFve9Fve9Ff0dmeaabaqaciaacaGaaeqa baqabeGadaaakeaaqaaaaaaaaaWdbiaadIhapaWaaSbaaSqaa8qaca aIXaaapaqabaGcpeGaaiilaiaaKdkacqGHMacVcaGGSaGaaqoOaiaa dIhapaWaaSbaaSqaa8qacaWGUbaapaqabaaaaa@3B9B@ , принимающей значение 1 на описании хотя бы одного прецедента из класса K и значения 0 на описаниях всех прецедентов из других классов [6].

Поиск тупиковых представительных элементарных классификаторов класса K основан, как правило, на первоначальном анализе множества прецедентов из других классов и сводится к решению сложной перечислительной задачи, называемой монотонной дуализацией, или к обобщениям этой задачи [6, 8]. Фактически сначала строятся элементарные конъюнкции над переменными x 1 , ,  x n MathType@MTEF@5@5@+= feaahGart1ev3aqatCvAUfeBSjuyZL2yd9gzLbvyNv2Caerbov2D09 MBdbqedmvETj2BSbqeeuuDJXwAKbsr4rNCHbGeaGqik8fkY=xipgYl h9vqqj=hEeeu0xXdi9arFj0xirFj0dXdbba91qpK0=yr0RYxfr=Jbb f9q8aq0=yq=He9q8qqQ8frFve9Fve9Ff0dmeaabaqaciaacaGaaeqa baqabeGadaaakeaaqaaaaaaaaaWdbiaadIhapaWaaSbaaSqaa8qaca aIXaaapaqabaGcpeGaaiilaiaaKdkacqGHMacVcaGGSaGaaqoOaiaa dIhapaWaaSbaaSqaa8qacaWGUbaapaqabaaaaa@3B9B@ , принимающие значение 0 на описаниях тех прецедентов, которые не принадлежат классу K, и теряющие это свой­ство при удалении хотя бы одного сомножителя. Затем из найденных конъюнкций отбираются те, которые не менее p MathType@MTEF@5@5@+= feaahGart1ev3aqatCvAUfeBSjuyZL2yd9gzLbvyNv2Caerbov2D09 MBdbqedmvETj2BSbqeeuuDJXwAKbsr4rNCHbGeaGqik8fkY=xipgYl h9vqqj=hEeeu0xXdi9arFj0xirFj0dXdbba91qpK0=yr0RYxfr=Jbb f9q8aq0=yq=He9q8qqQ8frFve9Fve9Ff0dmeaabaqaciaacaGaaeqa baqabeGadaaakeaaqaaaaaaaaaWdbiaadchaaaa@3220@  ( p MathType@MTEF@5@5@+= feaahGart1ev3aqatCvAUfeBSjuyZL2yd9gzLbvyNv2Caerbov2D09 MBdbqedmvETj2BSbqeeuuDJXwAKbsr4rNCHbGeaGqik8fkY=xipgYl h9vqqj=hEeeu0xXdi9arFj0xirFj0dXdbba91qpK0=yr0RYxfr=Jbb f9q8aq0=yq=He9q8qqQ8frFve9Fve9Ff0dmeaabaqaciaacaGaaeqa baqabeGadaaakeaaqaaaaaaaaaWdbiaadchaaaa@3220@   k2 MathType@MTEF@5@5@+= feaahGart1ev3aqatCvAUfeBSjuyZL2yd9gzLbvyNv2Caerbov2D09 MBdbqedmvETj2BSbqeeuuDJXwAKbsr4rNCHbGeaGqik8fkY=xipgYl h9vqqj=hEeeu0xXdi9arFj0xirFj0dXdbba91qpK0=yr0RYxfr=Jbb f9q8aq0=yq=He9q8qqQ8frFve9Fve9Ff0dmeaabaqaciaacaGaaeqa baqabeGadaaakeaaqaaaaaaaaaWdbiaadUgacqGHLjYScaaIYaaaaa@349D@  1) раз принимают значение 1 на описаниях прецедентов класса K, т. е. отбираются тупиковые p MathType@MTEF@5@5@+= feaahGart1ev3aqatCvAUfeBSjuyZL2yd9gzLbvyNv2Caerbov2D09 MBdbqedmvETj2BSbqeeuuDJXwAKbsr4rNCHbGeaGqik8fkY=xipgYl h9vqqj=hEeeu0xXdi9arFj0xirFj0dXdbba91qpK0=yr0RYxfr=Jbb f9q8aq0=yq=He9q8qqQ8frFve9Fve9Ff0dmeaabaqaciaacaGaaeqa baqabeGadaaakeaaqaaaaaaaaaWdbiaadchaaaa@3220@  -представительные элементарные классификаторы класса K (здесь p MathType@MTEF@5@5@+= feaahGart1ev3aqatCvAUfeBSjuyZL2yd9gzLbvyNv2Caerbov2D09 MBdbqedmvETj2BSbqeeuuDJXwAKbsr4rNCHbGeaGqik8fkY=xipgYl h9vqqj=hEeeu0xXdi9arFj0xirFj0dXdbba91qpK0=yr0RYxfr=Jbb f9q8aq0=yq=He9q8qqQ8frFve9Fve9Ff0dmeaabaqaciaacaGaaeqa baqabeGadaaakeaaqaaaaaaaaaWdbiaadchaaaa@3220@  -настраиваемый параметр). В данной модели классификатора, обозначаемой далее A 0 MathType@MTEF@5@5@+= feaahGart1ev3aqatCvAUfeBSjuyZL2yd9gzLbvyNv2Caerbov2D09 MBdbqedmvETj2BSbqeeuuDJXwAKbsr4rNCHbGeaGqik8fkY=xipgYl h9vqqj=hEeeu0xXdi9arFj0xirFj0dXdbba91qpK0=yr0RYxfr=Jbb f9q8aq0=yq=He9q8qqQ8frFve9Fve9Ff0dmeaabaqaciaacaGaaeqa baqabeGadaaakeaaqaaaaaaaaaWdbiaadgeapaWaaSbaaSqaa8qaca aIWaaapaqabaaaaa@3305@ , вычисление оценки принадлежности распознаваемого объекта классу K существляется на основе проведения классической процедуры «голосования» [2], в которой участвуют все отобранные элементарные классификаторы.

В настоящей работе предлагаются и исследуются модели A 1 MathType@MTEF@5@5@+= feaahGart1ev3aqatCvAUfeBSjuyZL2yd9gzLbvyNv2Caerbov2D09 MBdbqedmvETj2BSbqeeuuDJXwAKbsr4rNCHbGeaGqik8fkY=xipgYl h9vqqj=hEeeu0xXdi9arFj0xirFj0dXdbba91qpK0=yr0RYxfr=Jbb f9q8aq0=yq=He9q8qqQ8frFve9Fve9Ff0dmeaabaqaciaacaGaaeqa baqabeGadaaakeaaqaaaaaaaaaWdbiaadgeapaWaaSbaaSqaa8qaca aIXaaapaqabaaaaa@3306@ , A 2 MathType@MTEF@5@5@+= feaahGart1ev3aqatCvAUfeBSjuyZL2yd9gzLbvyNv2Caerbov2D09 MBdbqedmvETj2BSbqeeuuDJXwAKbsr4rNCHbGeaGqik8fkY=xipgYl h9vqqj=hEeeu0xXdi9arFj0xirFj0dXdbba91qpK0=yr0RYxfr=Jbb f9q8aq0=yq=He9q8qqQ8frFve9Fve9Ff0dmeaabaqaciaacaGaaeqa baqabeGadaaakeaaqaaaaaaaaaWdbiaadgeapaWaaSbaaSqaa8qaca aIYaaapaqabaaaaa@3307@ , A 3 MathType@MTEF@5@5@+= feaahGart1ev3aqatCvAUfeBSjuyZL2yd9gzLbvyNv2Caerbov2D09 MBdbqedmvETj2BSbqeeuuDJXwAKbsr4rNCHbGeaGqik8fkY=xipgYl h9vqqj=hEeeu0xXdi9arFj0xirFj0dXdbba91qpK0=yr0RYxfr=Jbb f9q8aq0=yq=He9q8qqQ8frFve9Fve9Ff0dmeaabaqaciaacaGaaeqa baqabeGadaaakeaaqaaaaaaaaaWdbiaadgeapaWaaSbaaSqaa8qaca aIZaaapaqabaaaaa@3308@  корректных логических классификаторов, обучение которых осуществляется путем поиска для каждого класса K так называемых правильных p MathType@MTEF@5@5@+= feaahGart1ev3aqatCvAUfeBSjuyZL2yd9gzLbvyNv2Caerbov2D09 MBdbqedmvETj2BSbqeeuuDJXwAKbsr4rNCHbGeaGqik8fkY=xipgYl h9vqqj=hEeeu0xXdi9arFj0xirFj0dXdbba91qpK0=yr0RYxfr=Jbb f9q8aq0=yq=He9q8qqQ8frFve9Fve9Ff0dmeaabaqaciaacaGaaeqa baqabeGadaaakeaaqaaaaaaaaaWdbiaadchaaaa@3220@  -представительных элементарных классификаторов, т. е. таких представительных элементарных классификаторов этого класса, которые имеют ранг p MathType@MTEF@5@5@+= feaahGart1ev3aqatCvAUfeBSjuyZL2yd9gzLbvyNv2Caerbov2D09 MBdbqedmvETj2BSbqeeuuDJXwAKbsr4rNCHbGeaGqik8fkY=xipgYl h9vqqj=hEeeu0xXdi9arFj0xirFj0dXdbba91qpK0=yr0RYxfr=Jbb f9q8aq0=yq=He9q8qqQ8frFve9Fve9Ff0dmeaabaqaciaacaGaaeqa baqabeGadaaakeaaqaaaaaaaaaWdbiaadchaaaa@3220@  ( p MathType@MTEF@5@5@+= feaahGart1ev3aqatCvAUfeBSjuyZL2yd9gzLbvyNv2Caerbov2D09 MBdbqedmvETj2BSbqeeuuDJXwAKbsr4rNCHbGeaGqik8fkY=xipgYl h9vqqj=hEeeu0xXdi9arFj0xirFj0dXdbba91qpK0=yr0RYxfr=Jbb f9q8aq0=yq=He9q8qqQ8frFve9Fve9Ff0dmeaabaqaciaacaGaaeqa baqabeGadaaakeaaqaaaaaaaaaWdbiaadchaaaa@3220@   k2 MathType@MTEF@5@5@+= feaahGart1ev3aqatCvAUfeBSjuyZL2yd9gzLbvyNv2Caerbov2D09 MBdbqedmvETj2BSbqeeuuDJXwAKbsr4rNCHbGeaGqik8fkY=xipgYl h9vqqj=hEeeu0xXdi9arFj0xirFj0dXdbba91qpK0=yr0RYxfr=Jbb f9q8aq0=yq=He9q8qqQ8frFve9Fve9Ff0dmeaabaqaciaacaGaaeqa baqabeGadaaakeaaqaaaaaaaaaWdbiaadUgacqGHLjYScaaIYaaaaa@349D@  1) и не менее p раз принимают значение 1 на описаниях прецедентов класса K. При этом классификатор A1 действует по схеме классификатора A0, но в голосовании участвуют только те тупиковые p -представительные элементарные классификаторы класса K, которые имеют ранг p. Классификаторы A2 и A3 действуют по иной схеме. Первоначально анализируются описания прецедентов класса K и строятся элементарные конъюнкции, которые не менее p раз принимают значение 1 на описаниях прецедентов этого класса и имеют ранг p. Такие конъюнкции называются правильными элементарными классификаторами. Затем просматриваются прецеденты из других классов и в A2 из найденных конъюнкций отбираются представительные элементарные классификаторы класса K, а в A3 отбираются тупиковые представительные элементарные классификаторы класса K. Процедура вычисления оценки принадлежности распознаваемого объекта классу K такая же, как и в алгоритме A0.Таким образом, на этапе обучения модель A1 решает задачу монотонной дуализации, а модели A2 и A3 осуществляют поиск правильных элементарных классификаторов, базирующийся на предложенном в работе оригинальном алгоритме. Идея применения методов поиска часто встречающихся фрагментов в данных на этапе обучения логического классификатора была анонсирована авторами в [11].

Экспериментальное сравнение рассматриваемых алгоритмов на реальных и случайных модельных данных свидетельствует о целесообразности (в плане сокращения временных затрат) предлагаемого подхода к построению логических классификаторов. Получены теоретические результаты, характеризующие сложность обучения классификаторов A2 и A3 для случая, когда число прецедентов класса K существенно больше числа признаков n. В экспериментах значение параметра p выбиралось согласно оценке типичного ранга правильного элементарного классификатора.

1. Основные понятия. Описание классификаторов A1, A2 и A3. Пусть E k n ,  k2 MathType@MTEF@5@5@+= feaahGart1ev3aqatCvAUfeBSjuyZL2yd9gzLbvyNv2Caerbov2D09 MBdbqedmvETj2BSbqeeuuDJXwAKbsr4rNCHbGeaGqik8fkY=xipgYl h9vqqj=hEeeu0xXdi9arFj0xirFj0dXdbba91qpK0=yr0RYxfr=Jbb f9q8aq0=yq=He9q8qqQ8frFve9Fve9Ff0dmeaabaqaciaacaGaaeqa baqabeGadaaakeaaqaaaaaaaaaWdbiaadweapaWaa0baaSqaa8qaca WGRbaapaqaa8qacaWGUbaaaOGaaiilaiaaKdkacaa5GcGaam4Aaiab gwMiZkaaikdaaaa@3B7B@  - множество наборов вида α 1 ,,  α n   MathType@MTEF@5@5@+= feaahGart1ev3aqatCvAUfeBSjuyZL2yd9gzLbvyNv2Caerbov2D09 MBdbqedmvETj2BSbqeeuuDJXwAKbsr4rNCHbGeaGqik8fkY=xipgYl h9vqqj=hEeeu0xXdi9arFj0xirFj0dXdbba91qpK0=yr0RYxfr=Jbb f9q8aq0=yq=He9q8qqQ8frFve9Fve9Ff0dmeaabaqaciaacaGaaeqa baqabeGadaaakeaaqaaaaaaaaaWdbmaabmaapaqaa8qacqaHXoqypa WaaSbaaSqaa8qacaaIXaaapaqabaGcpeGaaiilaiabgAci8kaacYca caa5GcGaeqySde2damaaBaaaleaapeGaamOBaaWdaeqaaaGcpeGaay jkaiaawMcaaiaaKdkaaaa@3EA1@ , где α i 0, 1, , k1 MathType@MTEF@5@5@+= feaahGart1ev3aqatCvAUfeBSjuyZL2yd9gzLbvyNv2Caerbov2D09 MBdbqedmvETj2BSbqeeuuDJXwAKbsr4rNCHbGeaGqik8fkY=xipgYl h9vqqj=hEeeu0xXdi9arFj0xirFj0dXdbba91qpK0=yr0RYxfr=Jbb f9q8aq0=yq=He9q8qqQ8frFve9Fve9Ff0dmeaabaqaciaacaGaaeqa baqabeGadaaakeaaqaaaaaaaaaWdbiabeg7aH9aadaWgaaWcbaWdbi aadMgaa8aabeaak8qacqGHiiIZdaGadaWdaeaapeGaaGimaiaacYca caa5GcGaaGymaiaacYcacaa5GcGaeyOjGWRaaiilaiaaKdkacaWGRb GaeyOeI0IaaGymaaGaay5Eaiaaw2haaaaa@443D@ .

Элементарной конъюнкцией над переменными x 1 , ...,  x n   MathType@MTEF@5@5@+= feaahGart1ev3aqatCvAUfeBSjuyZL2yd9gzLbvyNv2Caerbov2D09 MBdbqedmvETj2BSbqeeuuDJXwAKbsr4rNCHbGeaGqik8fkY=xipgYl h9vqqj=hEeeu0xXdi9arFj0xirFj0dXdbba91qpK0=yr0RYxfr=Jbb f9q8aq0=yq=He9q8qqQ8frFve9Fve9Ff0dmeaabaqaciaacaGaaeqa baqabeGadaaakeaaqaaaaaaaaaWdbiaadIhapaWaaSbaaSqaa8qaca aIXaaapaqabaGcpeGaaiilaiaaKdkacaGGUaGaaiOlaiaac6cacaGG SaGaaqoOaiaadIhapaWaaSbaaSqaa8qacaWGUbaapaqabaGcpeGaaq oOaaaa@3DC3@  называется функция вида x j 1 σ 1  &&  x j r σ r   MathType@MTEF@5@5@+= feaahGart1ev3aqatCvAUfeBSjuyZL2yd9gzLbvyNv2Caerbov2D09 MBdbqedmvETj2BSbqeeuuDJXwAKbsr4rNCHbGeaGqik8fkY=xipgYl h9vqqj=hEeeu0xXdi9arFj0xirFj0dXdbba91qpK0=yr0RYxfr=Jbb f9q8aq0=yq=He9q8qqQ8frFve9Fve9Ff0dmeaabaqaciaacaGaaeqa baqabeGadaaakeaaqaaaaaaaaaWdbiaadIhapaWaa0baaSqaa8qaca WGQbWdamaaBaaameaapeGaaGymaaWdaeqaaaWcbaWdbiabeo8aZ9aa daWgaaadbaWdbiaaigdaa8aabeaaaaGcpeGaaqoOaiaacAcacqGHMa cVcaGGMaGaaqoOaiaadIhapaWaa0baaSqaa8qacaWGQbWdamaaBaaa meaapeGaamOCaaWdaeqaaaWcbaWdbiabeo8aZ9aadaWgaaadbaWdbi aadkhaa8aabeaaaaGcpeGaaqoOaaaa@45CF@ , где σ i 0, 1, k1 MathType@MTEF@5@5@+= feaahGart1ev3aqatCvAUfeBSjuyZL2yd9gzLbvyNv2Caerbov2D09 MBdbqedmvETj2BSbqeeuuDJXwAKbsr4rNCHbGeaGqik8fkY=xipgYl h9vqqj=hEeeu0xXdi9arFj0xirFj0dXdbba91qpK0=yr0RYxfr=Jbb f9q8aq0=yq=He9q8qqQ8frFve9Fve9Ff0dmeaabaqaciaacaGaaeqa baqabeGadaaakeaaqaaaaaaaaaWdbiabeo8aZ9aadaWgaaWcbaWdbi aadMgaa8aabeaak8qacqGHiiIZdaGadaWdaeaapeGaaGimaiaacYca caa5GcGaaGymaiaacYcacaa5GcGaeyOjGWRaam4AaiabgkHiTiaaig daaiaawUhacaGL9baaaaa@422B@ , x j i x 1 ,,  x n MathType@MTEF@5@5@+= feaahGart1ev3aqatCvAUfeBSjuyZL2yd9gzLbvyNv2Caerbov2D09 MBdbqedmvETj2BSbqeeuuDJXwAKbsr4rNCHbGeaGqik8fkY=xipgYl h9vqqj=hEeeu0xXdi9arFj0xirFj0dXdbba91qpK0=yr0RYxfr=Jbb f9q8aq0=yq=He9q8qqQ8frFve9Fve9Ff0dmeaabaqaciaacaGaaeqa baqabeGadaaakeaaqaaaaaaaaaWdbiaadIhapaWaaSbaaSqaa8qaca WGQbWdamaaBaaameaapeGaamyAaaWdaeqaaaWcbeaak8qacqGHiiIZ daGadaWdaeaapeGaamiEa8aadaWgaaWcbaWdbiaaigdaa8aabeaak8 qacaGGSaGaeyOjGWRaaiilaiaaKdkacaWG4bWdamaaBaaaleaapeGa amOBaaWdaeqaaaGcpeGaay5Eaiaaw2haaaaa@41A8@  при i= 1, r ¯ MathType@MTEF@5@5@+= feaahGart1ev3aqatCvAUfeBSjuyZL2yd9gzLbvyNv2Caerbov2D09 MBdbqedmvETj2BSbqeeuuDJXwAKbsr4rNCHbGeaGqik8fkY=xipgYl h9vqqj=hEeeu0xXdi9arFj0xirFj0dXdbba91qpK0=yr0RYxfr=Jbb f9q8aq0=yq=He9q8qqQ8frFve9Fve9Ff0dmeaabaqaciaacaGaaeqa baqabeGadaaakeaaqaaaaaaaaaWdbiaadMgacqGH9aqppaWaa0aaae aapeGaaGymaiaacYcacaa5GcGaamOCaaaaaaa@3737@ , и при r2 MathType@MTEF@5@5@+= feaahGart1ev3aqatCvAUfeBSjuyZL2yd9gzLbvyNv2Caerbov2D09 MBdbqedmvETj2BSbqeeuuDJXwAKbsr4rNCHbGeaGqik8fkY=xipgYl h9vqqj=hEeeu0xXdi9arFj0xirFj0dXdbba91qpK0=yr0RYxfr=Jbb f9q8aq0=yq=He9q8qqQ8frFve9Fve9Ff0dmeaabaqaciaacaGaaeqa baqabeGadaaakeaaqaaaaaaaaaWdbiaadkhacqGHLjYScaaIYaaaaa@34A4@  выполнено x j q x j t MathType@MTEF@5@5@+= feaahGart1ev3aqatCvAUfeBSjuyZL2yd9gzLbvyNv2Caerbov2D09 MBdbqedmvETj2BSbqeeuuDJXwAKbsr4rNCHbGeaGqik8fkY=xipgYl h9vqqj=hEeeu0xXdi9arFj0xirFj0dXdbba91qpK0=yr0RYxfr=Jbb f9q8aq0=yq=He9q8qqQ8frFve9Fve9Ff0dmeaabaqaciaacaGaaeqa baqabeGadaaakeaaqaaaaaaaaaWdbiaadIhapaWaaSbaaSqaa8qaca WGQbWdamaaBaaameaapeGaamyCaaWdaeqaaaWcbeaak8qacqGHGjsU caWG4bWdamaaBaaaleaapeGaamOAa8aadaWgaaadbaWdbiaadshaa8 aabeaaaSqabaaaaa@3A35@ , t= 1, r ¯ MathType@MTEF@5@5@+= feaahGart1ev3aqatCvAUfeBSjuyZL2yd9gzLbvyNv2Caerbov2D09 MBdbqedmvETj2BSbqeeuuDJXwAKbsr4rNCHbGeaGqik8fkY=xipgYl h9vqqj=hEeeu0xXdi9arFj0xirFj0dXdbba91qpK0=yr0RYxfr=Jbb f9q8aq0=yq=He9q8qqQ8frFve9Fve9Ff0dmeaabaqaciaacaGaaeqa baqabeGadaaakeaaqaaaaaaaaaWdbiaadshacqGH9aqppaWaa0aaae aapeGaaGymaiaacYcacaa5GcGaamOCaaaaaaa@3742@ , q= 1, r ¯ MathType@MTEF@5@5@+= feaahGart1ev3aqatCvAUfeBSjuyZL2yd9gzLbvyNv2Caerbov2D09 MBdbqedmvETj2BSbqeeuuDJXwAKbsr4rNCHbGeaGqik8fkY=xipgYl h9vqqj=hEeeu0xXdi9arFj0xirFj0dXdbba91qpK0=yr0RYxfr=Jbb f9q8aq0=yq=He9q8qqQ8frFve9Fve9Ff0dmeaabaqaciaacaGaaeqa baqabeGadaaakeaaqaaaaaaaaaWdbiaadghacqGH9aqppaWaa0aaae aapeGaaGymaiaacYcacaa5GcGaamOCaaaaaaa@373F@ , tq MathType@MTEF@5@5@+= feaahGart1ev3aqatCvAUfeBSjuyZL2yd9gzLbvyNv2Caerbov2D09 MBdbqedmvETj2BSbqeeuuDJXwAKbsr4rNCHbGeaGqik8fkY=xipgYl h9vqqj=hEeeu0xXdi9arFj0xirFj0dXdbba91qpK0=yr0RYxfr=Jbb f9q8aq0=yq=He9q8qqQ8frFve9Fve9Ff0dmeaabaqaciaacaGaaeqa baqabeGadaaakeaaqaaaaaaaaaWdbiaadshacqGHGjsUcaWGXbaaaa@34E1@ . Для краткости знак & MathType@MTEF@5@5@+= feaahGart1ev3aqatCvAUfeBSjuyZL2yd9gzLbvyNv2Caerbov2D09 MBdbqedmvETj2BSbqeeuuDJXwAKbsr4rNCHbGeaGqik8fkY=xipgYl h9vqqj=hEeeu0xXdi9arFj0xirFj0dXdbba91qpK0=yr0RYxfr=Jbb f9q8aq0=yq=He9q8qqQ8frFve9Fve9Ff0dmeaabaqaciaacaGaaeqa baqabeGadaaakeaaqaaaaaaaaaWdbiaacAcaaaa@31D5@  опускается. Конъюнкция B=  x j 1 σ 1   x j r σ r MathType@MTEF@5@5@+= feaahGart1ev3aqatCvAUfeBSjuyZL2yd9gzLbvyNv2Caerbov2D09 MBdbqedmvETj2BSbqeeuuDJXwAKbsr4rNCHbGeaGqik8fkY=xipgYl h9vqqj=hEeeu0xXdi9arFj0xirFj0dXdbba91qpK0=yr0RYxfr=Jbb f9q8aq0=yq=He9q8qqQ8frFve9Fve9Ff0dmeaabaqaciaacaGaaeqa baqabeGadaaakeaaqaaaaaaaaaWdbiaadkeacqGH9aqpcaa5GcGaam iEa8aadaqhaaWcbaWdbiaadQgapaWaaSbaaWqaa8qacaaIXaaapaqa baaaleaapeGaeq4Wdm3damaaBaaameaapeGaaGymaaWdaeqaaaaak8 qacqGHMacVcaa5GcGaamiEa8aadaqhaaWcbaWdbiaadQgapaWaaSba aWqaa8qacaWGYbaapaqabaaaleaapeGaeq4Wdm3damaaBaaameaape GaamOCaaWdaeqaaaaaaaa@44A8@  обращается в 1 на тех наборах α 1 ,,  α n MathType@MTEF@5@5@+= feaahGart1ev3aqatCvAUfeBSjuyZL2yd9gzLbvyNv2Caerbov2D09 MBdbqedmvETj2BSbqeeuuDJXwAKbsr4rNCHbGeaGqik8fkY=xipgYl h9vqqj=hEeeu0xXdi9arFj0xirFj0dXdbba91qpK0=yr0RYxfr=Jbb f9q8aq0=yq=He9q8qqQ8frFve9Fve9Ff0dmeaabaqaciaacaGaaeqa baqabeGadaaakeaaqaaaaaaaaaWdbmaabmaapaqaa8qacqaHXoqypa WaaSbaaSqaa8qacaaIXaaapaqabaGcpeGaaiilaiabgAci8kaacYca caa5GcGaeqySde2damaaBaaaleaapeGaamOBaaWdaeqaaaGcpeGaay jkaiaawMcaaaaa@3D1B@  из E k n MathType@MTEF@5@5@+= feaahGart1ev3aqatCvAUfeBSjuyZL2yd9gzLbvyNv2Caerbov2D09 MBdbqedmvETj2BSbqeeuuDJXwAKbsr4rNCHbGeaGqik8fkY=xipgYl h9vqqj=hEeeu0xXdi9arFj0xirFj0dXdbba91qpK0=yr0RYxfr=Jbb f9q8aq0=yq=He9q8qqQ8frFve9Fve9Ff0dmeaabaqaciaacaGaaeqa baqabeGadaaakeaaqaaaaaaaaaWdbiaadweapaWaa0baaSqaa8qaca WGRbaapaqaa8qacaWGUbaaaaaa@3443@ , в которых α j i =  σ i MathType@MTEF@5@5@+= feaahGart1ev3aqatCvAUfeBSjuyZL2yd9gzLbvyNv2Caerbov2D09 MBdbqedmvETj2BSbqeeuuDJXwAKbsr4rNCHbGeaGqik8fkY=xipgYl h9vqqj=hEeeu0xXdi9arFj0xirFj0dXdbba91qpK0=yr0RYxfr=Jbb f9q8aq0=yq=He9q8qqQ8frFve9Fve9Ff0dmeaabaqaciaacaGaaeqa baqabeGadaaakeaaqaaaaaaaaaWdbiabeg7aH9aadaWgaaWcbaWdbi aadQgapaWaaSbaaWqaa8qacaWGPbaapaqabaaaleqaaOWdbiabg2da 9iaaKdkacqaHdpWCpaWaaSbaaSqaa8qacaWGPbaapaqabaaaaa@3B09@ , i= 1, r ¯ MathType@MTEF@5@5@+= feaahGart1ev3aqatCvAUfeBSjuyZL2yd9gzLbvyNv2Caerbov2D09 MBdbqedmvETj2BSbqeeuuDJXwAKbsr4rNCHbGeaGqik8fkY=xipgYl h9vqqj=hEeeu0xXdi9arFj0xirFj0dXdbba91qpK0=yr0RYxfr=Jbb f9q8aq0=yq=He9q8qqQ8frFve9Fve9Ff0dmeaabaqaciaacaGaaeqa baqabeGadaaakeaaqaaaaaaaaaWdbiaadMgacqGH9aqppaWaa0aaae aapeGaaGymaiaacYcacaa5GcGaamOCaaaaaaa@3737@ . Множество наборов из E k n MathType@MTEF@5@5@+= feaahGart1ev3aqatCvAUfeBSjuyZL2yd9gzLbvyNv2Caerbov2D09 MBdbqedmvETj2BSbqeeuuDJXwAKbsr4rNCHbGeaGqik8fkY=xipgYl h9vqqj=hEeeu0xXdi9arFj0xirFj0dXdbba91qpK0=yr0RYxfr=Jbb f9q8aq0=yq=He9q8qqQ8frFve9Fve9Ff0dmeaabaqaciaacaGaaeqa baqabeGadaaakeaaqaaaaaaaaaWdbiaadweapaWaa0baaSqaa8qaca WGRbaapaqaa8qacaWGUbaaaaaa@3443@ , на которых B MathType@MTEF@5@5@+= feaahGart1ev3aqatCvAUfeBSjuyZL2yd9gzLbvyNv2Caerbov2D09 MBdbqedmvETj2BSbqeeuuDJXwAKbsr4rNCHbGeaGqik8fkY=xipgYl h9vqqj=hEeeu0xXdi9arFj0xirFj0dXdbba91qpK0=yr0RYxfr=Jbb f9q8aq0=yq=He9q8qqQ8frFve9Fve9Ff0dmeaabaqaciaacaGaaeqa baqabeGadaaakeaaqaaaaaaaaaWdbiaadkeaaaa@31F2@  принимает значение 1, обозначается через N B MathType@MTEF@5@5@+= feaahGart1ev3aqatCvAUfeBSjuyZL2yd9gzLbvyNv2Caerbov2D09 MBdbqedmvETj2BSbqeeuuDJXwAKbsr4rNCHbGeaGqik8fkY=xipgYl h9vqqj=hEeeu0xXdi9arFj0xirFj0dXdbba91qpK0=yr0RYxfr=Jbb f9q8aq0=yq=He9q8qqQ8frFve9Fve9Ff0dmeaabaqaciaacaGaaeqa baqabeGadaaakeaaqaaaaaaaaaWdbiaad6eapaWaaSbaaSqaa8qaca WGcbaapaqabaaaaa@331F@ , а через B n,k MathType@MTEF@5@5@+= feaahGart1ev3aqatCvAUfeBSjuyZL2yd9gzLbvyNv2Caerbov2D09 MBdbqedmvETj2BSbqeeuuDJXwAKbsr4rNCHbGeaGqik8fkY=xipgYl h9vqqj=hEeeu0xXdi9arFj0xirFj0dXdbba91qpK0=yr0RYxfr=Jbb f9q8aq0=yq=He9q8qqQ8frFve9Fve9Ff0dmeaabaqaciaacaGaaeqa baqabeGadaaakeaatuuDJXwAK1uy0HwmaeHbfv3ySLgzG0uy0Hgip5 wzaGabaabaaaaaaaaapeGae8hlHi0aaeWaa8aabaWdbiaad6gacaGG SaGaam4AaaGaayjkaiaawMcaaaaa@4003@  - множество всех элементарных конъюнкций рассматриваемого вида. Не ограничивая общности, можно считать, что объекты из исследуемого множества М описаны признаками, каждый из которых принимает значения из множества 0, 1, , k1 MathType@MTEF@5@5@+= feaahGart1ev3aqatCvAUfeBSjuyZL2yd9gzLbvyNv2Caerbov2D09 MBdbqedmvETj2BSbqeeuuDJXwAKbsr4rNCHbGeaGqik8fkY=xipgYl h9vqqj=hEeeu0xXdi9arFj0xirFj0dXdbba91qpK0=yr0RYxfr=Jbb f9q8aq0=yq=He9q8qqQ8frFve9Fve9Ff0dmeaabaqaciaacaGaaeqa baqabeGadaaakeaaqaaaaaaaaaWdbmaacmaapaqaa8qacaaIWaGaai ilaiaaKdkacaaIXaGaaiilaiaaKdkacqGHMacVcaGGSaGaaqoOaiaa dUgacqGHsislcaaIXaaacaGL7bGaayzFaaaaaa@3FB8@ .

Пусть K{ K 1 , K l } MathType@MTEF@5@5@+= feaahGart1ev3aqatCvAUfeBSjuyZL2yd9gzLbvyNv2Caerbov2D09 MBdbqedmvETj2BSbqeeuuDJXwAKbsr4rNCHbGeaGqik8fkY=xipgYl h9vqqj=hEeeu0xXdi9arFj0xirFj0dXdbba91qpK0=yr0RYxfr=Jbb f9q8aq0=yq=He9q8qqQ8frFve9Fve9Ff0dmeaabaqaciaacaGaaeqa baqabeGadaaakeaaqaaaaaaaaaWdbiaadUeacqGHiiIZcaGG7bGaam 4sa8aadaWgaaWcbaWdbiaaigdaa8aabeaak8qacaGGSaGaeyOjGWRa am4sa8aadaWgaaWcbaWdbiaadYgaa8aabeaak8qacaGG9baaaa@3BF1@ . Зададим на множестве прецедентов двузначную частичную (не всюду определенную) функцию f K x 1 ,,  x n MathType@MTEF@5@5@+= feaahGart1ev3aqatCvAUfeBSjuyZL2yd9gzLbvyNv2Caerbov2D09 MBdbqedmvETj2BSbqeeuuDJXwAKbsr4rNCHbGeaGqik8fkY=xipgYl h9vqqj=hEeeu0xXdi9arFj0xirFj0dXdbba91qpK0=yr0RYxfr=Jbb f9q8aq0=yq=He9q8qqQ8frFve9Fve9Ff0dmeaabaqaciaacaGaaeqa baqabeGadaaakeaaqaaaaaaaaaWdbiaadAgapaWaaSbaaSqaa8qaca WGlbaapaqabaGcpeWaaeWaa8aabaWdbiaadIhapaWaaSbaaSqaa8qa caaIXaaapaqabaGcpeGaaiilaiabgAci8kaacYcacaa5GcGaamiEa8 aadaWgaaWcbaWdbiaad6gaa8aabeaaaOWdbiaawIcacaGLPaaaaaa@3E06@ , которая принимает значение 1 на наборах, являющихся описаниями прецедентов класса К, и значение 0 на наборах, описывающих остальные обучающие объекты. Функция f K x 1 ,,  x n MathType@MTEF@5@5@+= feaahGart1ev3aqatCvAUfeBSjuyZL2yd9gzLbvyNv2Caerbov2D09 MBdbqedmvETj2BSbqeeuuDJXwAKbsr4rNCHbGeaGqik8fkY=xipgYl h9vqqj=hEeeu0xXdi9arFj0xirFj0dXdbba91qpK0=yr0RYxfr=Jbb f9q8aq0=yq=He9q8qqQ8frFve9Fve9Ff0dmeaabaqaciaacaGaaeqa baqabeGadaaakeaaqaaaaaaaaaWdbiaadAgapaWaaSbaaSqaa8qaca WGlbaapaqabaGcpeWaaeWaa8aabaWdbiaadIhapaWaaSbaaSqaa8qa caaIXaaapaqabaGcpeGaaiilaiabgAci8kaacYcacaa5GcGaamiEa8 aadaWgaaWcbaWdbiaad6gaa8aabeaaaOWdbiaawIcacaGLPaaaaaa@3E06@  называется характеристической функцией класса К. Решение задачи классификации заключается в доопределении f K MathType@MTEF@5@5@+= feaahGart1ev3aqatCvAUfeBSjuyZL2yd9gzLbvyNv2Caerbov2D09 MBdbqedmvETj2BSbqeeuuDJXwAKbsr4rNCHbGeaGqik8fkY=xipgYl h9vqqj=hEeeu0xXdi9arFj0xirFj0dXdbba91qpK0=yr0RYxfr=Jbb f9q8aq0=yq=He9q8qqQ8frFve9Fve9Ff0dmeaabaqaciaacaGaaeqa baqabeGadaaakeaaqaaaaaaaaaWdbiaadAgapaWaaSbaaSqaa8qaca WGlbaapaqabaaaaa@3340@  на наборах, не входящих в обучающую выборку.

Далее U K MathType@MTEF@5@5@+= feaahGart1ev3aqatCvAUfeBSjuyZL2yd9gzLbvyNv2Caerbov2D09 MBdbqedmvETj2BSbqeeuuDJXwAKbsr4rNCHbGeaGqik8fkY=xipgYl h9vqqj=hEeeu0xXdi9arFj0xirFj0dXdbba91qpK0=yr0RYxfr=Jbb f9q8aq0=yq=He9q8qqQ8frFve9Fve9Ff0dmeaabaqaciaacaGaaeqa baqabeGadaaakeaaqaaaaaaaaaWdbiaadwfapaWaaSbaaSqaa8qaca WGlbaapaqabaaaaa@332F@  и Z K MathType@MTEF@5@5@+= feaahGart1ev3aqatCvAUfeBSjuyZL2yd9gzLbvyNv2Caerbov2D09 MBdbqedmvETj2BSbqeeuuDJXwAKbsr4rNCHbGeaGqik8fkY=xipgYl h9vqqj=hEeeu0xXdi9arFj0xirFj0dXdbba91qpK0=yr0RYxfr=Jbb f9q8aq0=yq=He9q8qqQ8frFve9Fve9Ff0dmeaabaqaciaacaGaaeqa baqabeGadaaakeaaqaaaaaaaaaWdbiaadQfapaWaaSbaaSqaa8qaca WGlbaapaqabaaaaa@3334@  обозначают соответственно множества прецедентов, на которых функция f K MathType@MTEF@5@5@+= feaahGart1ev3aqatCvAUfeBSjuyZL2yd9gzLbvyNv2Caerbov2D09 MBdbqedmvETj2BSbqeeuuDJXwAKbsr4rNCHbGeaGqik8fkY=xipgYl h9vqqj=hEeeu0xXdi9arFj0xirFj0dXdbba91qpK0=yr0RYxfr=Jbb f9q8aq0=yq=He9q8qqQ8frFve9Fve9Ff0dmeaabaqaciaacaGaaeqa baqabeGadaaakeaaqaaaaaaaaaWdbiaadAgapaWaaSbaaSqaa8qaca WGlbaapaqabaaaaa@3340@  равна 1 и 0. Положим U K = m 1 MathType@MTEF@5@5@+= feaahGart1ev3aqatCvAUfeBSjuyZL2yd9gzLbvyNv2Caerbov2D09 MBdbqedmvETj2BSbqeeuuDJXwAKbsr4rNCHbGeaGqik8fkY=xipgYl h9vqqj=hEeeu0xXdi9arFj0xirFj0dXdbba91qpK0=yr0RYxfr=Jbb f9q8aq0=yq=He9q8qqQ8frFve9Fve9Ff0dmeaabaqaciaacaGaaeqa baqabeGadaaakeaaqaaaaaaaaaWdbmaaemaapaqaa8qacaWGvbWdam aaBaaaleaapeGaam4saaWdaeqaaaGcpeGaay5bSlaawIa7aiabg2da 9iaad2gapaWaaSbaaSqaa8qacaaIXaaapaqabaaaaa@3997@ ,   Z K = m 2 MathType@MTEF@5@5@+= feaahGart1ev3aqatCvAUfeBSjuyZL2yd9gzLbvyNv2Caerbov2D09 MBdbqedmvETj2BSbqeeuuDJXwAKbsr4rNCHbGeaGqik8fkY=xipgYl h9vqqj=hEeeu0xXdi9arFj0xirFj0dXdbba91qpK0=yr0RYxfr=Jbb f9q8aq0=yq=He9q8qqQ8frFve9Fve9Ff0dmeaabaqaciaacaGaaeqa baqabeGadaaakeaaqaaaaaaaaaWdbmaaemaapaqaa8qacaa5GcGaam Owa8aadaWgaaWcbaWdbiaadUeaa8aabeaaaOWdbiaawEa7caGLiWoa cqGH9aqpcaWGTbWdamaaBaaaleaapeGaaGOmaaWdaeqaaaaa@3B23@ , 1p m 1 MathType@MTEF@5@5@+= feaahGart1ev3aqatCvAUfeBSjuyZL2yd9gzLbvyNv2Caerbov2D09 MBdbqedmvETj2BSbqeeuuDJXwAKbsr4rNCHbGeaGqik8fkY=xipgYl h9vqqj=hEeeu0xXdi9arFj0xirFj0dXdbba91qpK0=yr0RYxfr=Jbb f9q8aq0=yq=He9q8qqQ8frFve9Fve9Ff0dmeaabaqaciaacaGaaeqa baqabeGadaaakeaaqaaaaaaaaaWdbiaaigdacqGHKjYOcaWGWbGaey izImQaamyBa8aadaWgaaWcbaWdbiaaigdaa8aabeaaaaa@384C@  (здесь и далее W MathType@MTEF@5@5@+= feaahGart1ev3aqatCvAUfeBSjuyZL2yd9gzLbvyNv2Caerbov2D09 MBdbqedmvETj2BSbqeeuuDJXwAKbsr4rNCHbGeaGqik8fkY=xipgYl h9vqqj=hEeeu0xXdi9arFj0xirFj0dXdbba91qpK0=yr0RYxfr=Jbb f9q8aq0=yq=He9q8qqQ8frFve9Fve9Ff0dmeaabaqaciaacaGaaeqa baqabeGadaaakeaaqaaaaaaaaaWdbmaaemaapaqaa8qacaWGxbaaca GLhWUaayjcSdaaaa@3548@  - мощность множества W MathType@MTEF@5@5@+= feaahGart1ev3aqatCvAUfeBSjuyZL2yd9gzLbvyNv2Caerbov2D09 MBdbqedmvETj2BSbqeeuuDJXwAKbsr4rNCHbGeaGqik8fkY=xipgYl h9vqqj=hEeeu0xXdi9arFj0xirFj0dXdbba91qpK0=yr0RYxfr=Jbb f9q8aq0=yq=He9q8qqQ8frFve9Fve9Ff0dmeaabaqaciaacaGaaeqa baqabeGadaaakeaaqaaaaaaaaaWdbiaadEfaaaa@3207@  ).

Элементарным классификатором (ЭК) ранга r называется элементарная конъюнкция из B n,k   MathType@MTEF@5@5@+= feaahGart1ev3aqatCvAUfeBSjuyZL2yd9gzLbvyNv2Caerbov2D09 MBdbqedmvETj2BSbqeeuuDJXwAKbsr4rNCHbGeaGqik8fkY=xipgYl h9vqqj=hEeeu0xXdi9arFj0xirFj0dXdbba91qpK0=yr0RYxfr=Jbb f9q8aq0=yq=He9q8qqQ8frFve9Fve9Ff0dmeaabaqaciaacaGaaeqa baqabeGadaaakeaatuuDJXwAK1uy0HwmaeHbfv3ySLgzG0uy0Hgip5 wzaGabaabaaaaaaaaapeGae8hlHi0aaeWaa8aabaWdbiaad6gacaGG SaGaam4AaaGaayjkaiaawMcaaiaaKdkaaaa@4189@ , зависящая от r переменных. ЭК B MathType@MTEF@5@5@+= feaahGart1ev3aqatCvAUfeBSjuyZL2yd9gzLbvyNv2Caerbov2D09 MBdbqedmvETj2BSbqeeuuDJXwAKbsr4rNCHbGeaGqik8fkY=xipgYl h9vqqj=hEeeu0xXdi9arFj0xirFj0dXdbba91qpK0=yr0RYxfr=Jbb f9q8aq0=yq=He9q8qqQ8frFve9Fve9Ff0dmeaabaqaciaacaGaaeqa baqabeGadaaakeaaqaaaaaaaaaWdbiaadkeaaaa@31F2@  называется покрытием для Z K MathType@MTEF@5@5@+= feaahGart1ev3aqatCvAUfeBSjuyZL2yd9gzLbvyNv2Caerbov2D09 MBdbqedmvETj2BSbqeeuuDJXwAKbsr4rNCHbGeaGqik8fkY=xipgYl h9vqqj=hEeeu0xXdi9arFj0xirFj0dXdbba91qpK0=yr0RYxfr=Jbb f9q8aq0=yq=He9q8qqQ8frFve9Fve9Ff0dmeaabaqaciaacaGaaeqa baqabeGadaaakeaaqaaaaaaaaaWdbiaadQfapaWaaSbaaSqaa8qaca WGlbaapaqabaaaaa@3334@ , если N B Z K = MathType@MTEF@5@5@+= feaahGart1ev3aqatCvAUfeBSjuyZL2yd9gzLbvyNv2Caerbov2D09 MBdbqedmvETj2BSbqeeuuDJXwAKbsr4rNCHbGeaGqik8fkY=xipgYl h9vqqj=hEeeu0xXdi9arFj0xirFj0dXdbba91qpK0=yr0RYxfr=Jbb f9q8aq0=yq=He9q8qqQ8frFve9Fve9Ff0dmeaabaqaciaacaGaaeqa baqabeGadaaakeaaqaaaaaaaaaWdbiaad6eapaWaaSbaaSqaa8qaca WGcbaapaqabaGcpeGaeyykICSaamOwa8aadaWgaaWcbaWdbiaadUea a8aabeaak8qacqGH9aqpcqGHfiIXaaa@3979@  . ЭК B MathType@MTEF@5@5@+= feaahGart1ev3aqatCvAUfeBSjuyZL2yd9gzLbvyNv2Caerbov2D09 MBdbqedmvETj2BSbqeeuuDJXwAKbsr4rNCHbGeaGqik8fkY=xipgYl h9vqqj=hEeeu0xXdi9arFj0xirFj0dXdbba91qpK0=yr0RYxfr=Jbb f9q8aq0=yq=He9q8qqQ8frFve9Fve9Ff0dmeaabaqaciaacaGaaeqa baqabeGadaaakeaaqaaaaaaaaaWdbiaadkeaaaa@31F2@ , являющийся покрытием для Z K MathType@MTEF@5@5@+= feaahGart1ev3aqatCvAUfeBSjuyZL2yd9gzLbvyNv2Caerbov2D09 MBdbqedmvETj2BSbqeeuuDJXwAKbsr4rNCHbGeaGqik8fkY=xipgYl h9vqqj=hEeeu0xXdi9arFj0xirFj0dXdbba91qpK0=yr0RYxfr=Jbb f9q8aq0=yq=He9q8qqQ8frFve9Fve9Ff0dmeaabaqaciaacaGaaeqa baqabeGadaaakeaaqaaaaaaaaaWdbiaadQfapaWaaSbaaSqaa8qaca WGlbaapaqabaaaaa@3334@ , называется тупиковым покрытием для Z K MathType@MTEF@5@5@+= feaahGart1ev3aqatCvAUfeBSjuyZL2yd9gzLbvyNv2Caerbov2D09 MBdbqedmvETj2BSbqeeuuDJXwAKbsr4rNCHbGeaGqik8fkY=xipgYl h9vqqj=hEeeu0xXdi9arFj0xirFj0dXdbba91qpK0=yr0RYxfr=Jbb f9q8aq0=yq=He9q8qqQ8frFve9Fve9Ff0dmeaabaqaciaacaGaaeqa baqabeGadaaakeaaqaaaaaaaaaWdbiaadQfapaWaaSbaaSqaa8qaca WGlbaapaqabaaaaa@3334@ , если не существует покрытия B MathType@MTEF@5@5@+= feaahGart1ev3aqatCvAUfeBSjuyZL2yd9gzLbvyNv2Caerbov2D09 MBdbqedmvETj2BSbqeeuuDJXwAKbsr4rNCHbGeaGqik8fkY=xipgYl h9vqqj=hEeeu0xXdi9arFj0xirFj0dXdbba91qpK0=yr0RYxfr=Jbb f9q8aq0=yq=He9q8qqQ8frFve9Fve9Ff0dmeaabaqaciaacaGaaeqa baqabeGadaaakeaaqaaaaaaaaaWdbiqadkeapaGbauaaaaa@320D@  для Z K MathType@MTEF@5@5@+= feaahGart1ev3aqatCvAUfeBSjuyZL2yd9gzLbvyNv2Caerbov2D09 MBdbqedmvETj2BSbqeeuuDJXwAKbsr4rNCHbGeaGqik8fkY=xipgYl h9vqqj=hEeeu0xXdi9arFj0xirFj0dXdbba91qpK0=yr0RYxfr=Jbb f9q8aq0=yq=He9q8qqQ8frFve9Fve9Ff0dmeaabaqaciaacaGaaeqa baqabeGadaaakeaaqaaaaaaaaaWdbiaadQfapaWaaSbaaSqaa8qaca WGlbaapaqabaaaaa@3334@ , такого, что N B   N B MathType@MTEF@5@5@+= feaahGart1ev3aqatCvAUfeBSjuyZL2yd9gzLbvyNv2Caerbov2D09 MBdbqedmvETj2BSbqeeuuDJXwAKbsr4rNCHbGeaGqik8fkY=xipgYl h9vqqj=hEeeu0xXdi9arFj0xirFj0dXdbba91qpK0=yr0RYxfr=Jbb f9q8aq0=yq=He9q8qqQ8frFve9Fve9Ff0dmeaabaqaciaacaGaaeqa baqabeGadaaakeaaqaaaaaaaaaWdbiaad6eapaWaaSbaaSqaa8qaca WGcbaapaqabaGcpeGaaqoOaiabgkOimlaad6eapaWaaSbaaSqaa8qa ceWGcbWdayaafaaabeaaaaa@38BB@ .

Пусть p 1, 2. , m 1 MathType@MTEF@5@5@+= feaahGart1ev3aqatCvAUfeBSjuyZL2yd9gzLbvyNv2Caerbov2D09 MBdbqedmvETj2BSbqeeuuDJXwAKbsr4rNCHbGeaGqik8fkY=xipgYl h9vqqj=hEeeu0xXdi9arFj0xirFj0dXdbba91qpK0=yr0RYxfr=Jbb f9q8aq0=yq=He9q8qqQ8frFve9Fve9Ff0dmeaabaqaciaacaGaaeqa baqabeGadaaakeaaqaaaaaaaaaWdbiaadchacqGHiiIZdaGadaWdae aapeGaaGymaiaacYcacaa5GcGaaGOmaiaac6cacaa5GcGaeyOjGWRa aiilaiaad2gapaWaaSbaaSqaa8qacaaIXaaapaqabaaak8qacaGL7b GaayzFaaaaaa@4038@ . ЭК B MathType@MTEF@5@5@+= feaahGart1ev3aqatCvAUfeBSjuyZL2yd9gzLbvyNv2Caerbov2D09 MBdbqedmvETj2BSbqeeuuDJXwAKbsr4rNCHbGeaGqik8fkY=xipgYl h9vqqj=hEeeu0xXdi9arFj0xirFj0dXdbba91qpK0=yr0RYxfr=Jbb f9q8aq0=yq=He9q8qqQ8frFve9Fve9Ff0dmeaabaqaciaacaGaaeqa baqabeGadaaakeaaqaaaaaaaaaWdbiaadkeaaaa@31F2@  называется p MathType@MTEF@5@5@+= feaahGart1ev3aqatCvAUfeBSjuyZL2yd9gzLbvyNv2Caerbov2D09 MBdbqedmvETj2BSbqeeuuDJXwAKbsr4rNCHbGeaGqik8fkY=xipgYl h9vqqj=hEeeu0xXdi9arFj0xirFj0dXdbba91qpK0=yr0RYxfr=Jbb f9q8aq0=yq=He9q8qqQ8frFve9Fve9Ff0dmeaabaqaciaacaGaaeqa baqabeGadaaakeaaqaaaaaaaaaWdbiaadchaaaa@3220@  -частым в U K MathType@MTEF@5@5@+= feaahGart1ev3aqatCvAUfeBSjuyZL2yd9gzLbvyNv2Caerbov2D09 MBdbqedmvETj2BSbqeeuuDJXwAKbsr4rNCHbGeaGqik8fkY=xipgYl h9vqqj=hEeeu0xXdi9arFj0xirFj0dXdbba91qpK0=yr0RYxfr=Jbb f9q8aq0=yq=He9q8qqQ8frFve9Fve9Ff0dmeaabaqaciaacaGaaeqa baqabeGadaaakeaaqaaaaaaaaaWdbiaadwfapaWaaSbaaSqaa8qaca WGlbaapaqabaaaaa@332F@ , если N B U K p MathType@MTEF@5@5@+= feaahGart1ev3aqatCvAUfeBSjuyZL2yd9gzLbvyNv2Caerbov2D09 MBdbqedmvETj2BSbqeeuuDJXwAKbsr4rNCHbGeaGqik8fkY=xipgYl h9vqqj=hEeeu0xXdi9arFj0xirFj0dXdbba91qpK0=yr0RYxfr=Jbb f9q8aq0=yq=He9q8qqQ8frFve9Fve9Ff0dmeaabaqaciaacaGaaeqa baqabeGadaaakeaaqaaaaaaaaaWdbmaaemaapaqaa8qacaWGobWdam aaBaaaleaapeGaamOqaaWdaeqaaOWdbiabgMIihlaadwfapaWaaSba aSqaa8qacaWGlbaapaqabaaak8qacaGLhWUaayjcSdGaeyyzImRaam iCaaaa@3CF1@ . ЭК B MathType@MTEF@5@5@+= feaahGart1ev3aqatCvAUfeBSjuyZL2yd9gzLbvyNv2Caerbov2D09 MBdbqedmvETj2BSbqeeuuDJXwAKbsr4rNCHbGeaGqik8fkY=xipgYl h9vqqj=hEeeu0xXdi9arFj0xirFj0dXdbba91qpK0=yr0RYxfr=Jbb f9q8aq0=yq=He9q8qqQ8frFve9Fve9Ff0dmeaabaqaciaacaGaaeqa baqabeGadaaakeaaqaaaaaaaaaWdbiaadkeaaaa@31F2@  называется p MathType@MTEF@5@5@+= feaahGart1ev3aqatCvAUfeBSjuyZL2yd9gzLbvyNv2Caerbov2D09 MBdbqedmvETj2BSbqeeuuDJXwAKbsr4rNCHbGeaGqik8fkY=xipgYl h9vqqj=hEeeu0xXdi9arFj0xirFj0dXdbba91qpK0=yr0RYxfr=Jbb f9q8aq0=yq=He9q8qqQ8frFve9Fve9Ff0dmeaabaqaciaacaGaaeqa baqabeGadaaakeaaqaaaaaaaaaWdbiaadchaaaa@3220@  -представительным для класса K, если B - p-частый в UK и B - покрытие для ZK. ЭК B называется тупиковым p-представительным для класса K, если B - p-частый в UK и B - тупиковое покрытие для ZK.

ЭК B ранга p называется правильным для UK, если B - p-частый в UK. ЭК B ранга p называется правильным p -представительным для класса K, если B - p-частый в UK и B - покрытие для ZK.

Приведем подробное описание моделей корректных классификаторов A1, A2 и A3, о которых говорилось во Введении. Пусть T1(p, K) - множество всех тупиковых правильных p-представительных ЭК для класса K; T2(p, K) - множество всех правильных p-представительных ЭК для класса K; T3(p, K) = T1(p, K); P B i MathType@MTEF@5@5@+= feaahGart1ev3aqatCvAUfeBSjuyZL2yd9gzLbvyNv2Caerbov2D09 MBdbqedmvETj2BSbqeeuuDJXwAKbsr4rNCHbGeaGqik8fkY=xipgYl h9vqqj=hEeeu0xXdi9arFj0xirFj0dXdbba91qpK0=yr0RYxfr=Jbb f9q8aq0=yq=He9q8qqQ8frFve9Fve9Ff0dmeaabaqaciaacaGaaeqa baqabeGadaaakeaaqaaaaaaaaaWdbiaadcfapaWaa0baaSqaa8qaca WGcbaapaqaa8qacaWGPbaaaaaa@3420@ , B Τ i p,K MathType@MTEF@5@5@+= feaahGart1ev3aqatCvAUfeBSjuyZL2yd9gzLbvyNv2Caerbov2D09 MBdbqedmvETj2BSbqeeuuDJXwAKbsr4rNCHbGeaGqik8fkY=xipgYl h9vqqj=hEeeu0xXdi9arFj0xirFj0dXdbba91qpK0=yr0RYxfr=Jbb f9q8aq0=yq=He9q8qqQ8frFve9Fve9Ff0dmeaabaqaciaacaGaaeqa baqabeGadaaakeaaqaaaaaaaaaWdbiaadkeacqGHiiIZcqqHKoavpa WaaSbaaSqaa8qacaWGPbaapaqabaGcpeWaaeWaa8aabaWdbiaadcha caGGSaGaam4saaGaayjkaiaawMcaaaaa@3A7B@ , i 1, 2, 3 MathType@MTEF@5@5@+= feaahGart1ev3aqatCvAUfeBSjuyZL2yd9gzLbvyNv2Caerbov2D09 MBdbqedmvETj2BSbqeeuuDJXwAKbsr4rNCHbGeaGqik8fkY=xipgYl h9vqqj=hEeeu0xXdi9arFj0xirFj0dXdbba91qpK0=yr0RYxfr=Jbb f9q8aq0=yq=He9q8qqQ8frFve9Fve9Ff0dmeaabaqaciaacaGaaeqa baqabeGadaaakeaaqaaaaaaaaaWdbiaadMgacqGHiiIZdaGadaWdae aapeGaaGymaiaacYcacaa5GcGaaGOmaiaacYcacaa5GcGaaG4maaGa ay5Eaiaaw2haaaaa@3C8D@ , - число объектов S в UK, таких, что S N B MathType@MTEF@5@5@+= feaahGart1ev3aqatCvAUfeBSjuyZL2yd9gzLbvyNv2Caerbov2D09 MBdbqedmvETj2BSbqeeuuDJXwAKbsr4rNCHbGeaGqik8fkY=xipgYl h9vqqj=hEeeu0xXdi9arFj0xirFj0dXdbba91qpK0=yr0RYxfr=Jbb f9q8aq0=yq=He9q8qqQ8frFve9Fve9Ff0dmeaabaqaciaacaGaaeqa baqabeGadaaakeaaqaaaaaaaaaWdbiaadofacqGHiiIZcaWGobWdam aaBaaaleaapeGaamOqaaWdaeqaaaaa@357B@ .

На стадии обучения классификатор A i MathType@MTEF@5@5@+= feaahGart1ev3aqatCvAUfeBSjuyZL2yd9gzLbvyNv2Caerbov2D09 MBdbqedmvETj2BSbqeeuuDJXwAKbsr4rNCHbGeaGqik8fkY=xipgYl h9vqqj=hEeeu0xXdi9arFj0xirFj0dXdbba91qpK0=yr0RYxfr=Jbb f9q8aq0=yq=He9q8qqQ8frFve9Fve9Ff0dmeaabaqaciaacaGaaeqa baqabeGadaaakeaaqaaaaaaaaaWdbiaadgeapaWaaSbaaSqaa8qaca WGPbaapaqabaaaaa@3339@ , i 1, 2, 3 MathType@MTEF@5@5@+= feaahGart1ev3aqatCvAUfeBSjuyZL2yd9gzLbvyNv2Caerbov2D09 MBdbqedmvETj2BSbqeeuuDJXwAKbsr4rNCHbGeaGqik8fkY=xipgYl h9vqqj=hEeeu0xXdi9arFj0xirFj0dXdbba91qpK0=yr0RYxfr=Jbb f9q8aq0=yq=He9q8qqQ8frFve9Fve9Ff0dmeaabaqaciaacaGaaeqa baqabeGadaaakeaaqaaaaaaaaaWdbiaadMgacqGHiiIZdaGadaWdae aapeGaaGymaiaacYcacaa5GcGaaGOmaiaacYcacaa5GcGaaG4maaGa ay5Eaiaaw2haaaaa@3C8D@ , строит некоторое множество ЭК из Τ i p,K MathType@MTEF@5@5@+= feaahGart1ev3aqatCvAUfeBSjuyZL2yd9gzLbvyNv2Caerbov2D09 MBdbqedmvETj2BSbqeeuuDJXwAKbsr4rNCHbGeaGqik8fkY=xipgYl h9vqqj=hEeeu0xXdi9arFj0xirFj0dXdbba91qpK0=yr0RYxfr=Jbb f9q8aq0=yq=He9q8qqQ8frFve9Fve9Ff0dmeaabaqaciaacaGaaeqa baqabeGadaaakeaaqaaaaaaaaaWdbiabfs6au9aadaWgaaWcbaWdbi aadMgaa8aabeaak8qadaqadaWdaeaapeGaamiCaiaacYcacaWGlbaa caGLOaGaayzkaaaaaa@3830@ . На следующей стадии (стадии распознавания) каждый найденный ЭК B MathType@MTEF@5@5@+= feaahGart1ev3aqatCvAUfeBSjuyZL2yd9gzLbvyNv2Caerbov2D09 MBdbqedmvETj2BSbqeeuuDJXwAKbsr4rNCHbGeaGqik8fkY=xipgYl h9vqqj=hEeeu0xXdi9arFj0xirFj0dXdbba91qpK0=yr0RYxfr=Jbb f9q8aq0=yq=He9q8qqQ8frFve9Fve9Ff0dmeaabaqaciaacaGaaeqa baqabeGadaaakeaaqaaaaaaaaaWdbiaadkeaaaa@31F2@  участвует в процедуре голосования, заключающейся в вычислении величин P B i MathType@MTEF@5@5@+= feaahGart1ev3aqatCvAUfeBSjuyZL2yd9gzLbvyNv2Caerbov2D09 MBdbqedmvETj2BSbqeeuuDJXwAKbsr4rNCHbGeaGqik8fkY=xipgYl h9vqqj=hEeeu0xXdi9arFj0xirFj0dXdbba91qpK0=yr0RYxfr=Jbb f9q8aq0=yq=He9q8qqQ8frFve9Fve9Ff0dmeaabaqaciaacaGaaeqa baqabeGadaaakeaaqaaaaaaaaaWdbiaadcfapaWaa0baaSqaa8qaca WGcbaapaqaa8qacaWGPbaaaaaa@3420@  и Ω Ω B, S MathType@MTEF@5@5@+= feaahGart1ev3aqatCvAUfeBSjuyZL2yd9gzLbvyNv2Caerbov2D09 MBdbqedmvETj2BSbqeeuuDJXwAKbsr4rNCHbGeaGqik8fkY=xipgYl h9vqqj=hEeeu0xXdi9arFj0xirFj0dXdbba91qpK0=yr0RYxfr=Jbb f9q8aq0=yq=He9q8qqQ8frFve9Fve9Ff0dmeaabaqaciaacaGaaeqa baqabeGadaaakeaaqaaaaaaaaaWdbiaaKN6adaqadaWdaeaapeGaam OqaiaacYcacaa5GcGaam4uaaGaayjkaiaawMcaaaaa@383A@ , где S - распознаваемый объект и Ω(В, S) = 1, если S N B MathType@MTEF@5@5@+= feaahGart1ev3aqatCvAUfeBSjuyZL2yd9gzLbvyNv2Caerbov2D09 MBdbqedmvETj2BSbqeeuuDJXwAKbsr4rNCHbGeaGqik8fkY=xipgYl h9vqqj=hEeeu0xXdi9arFj0xirFj0dXdbba91qpK0=yr0RYxfr=Jbb f9q8aq0=yq=He9q8qqQ8frFve9Fve9Ff0dmeaabaqaciaacaGaaeqa baqabeGadaaakeaaqaaaaaaaaaWdbiaadofacqGHiiIZcaWGobWdam aaBaaaleaapeGaamOqaaWdaeqaaaaa@357B@ , иначе Ω(В, S) = 0. В результате получается оценка Γ i S, K MathType@MTEF@5@5@+= feaahGart1ev3aqatCvAUfeBSjuyZL2yd9gzLbvyNv2Caerbov2D09 MBdbqedmvETj2BSbqeeuuDJXwAKbsr4rNCHbGeaGqik8fkY=xipgYl h9vqqj=hEeeu0xXdi9arFj0xirFj0dXdbba91qpK0=yr0RYxfr=Jbb f9q8aq0=yq=He9q8qqQ8frFve9Fve9Ff0dmeaabaqaciaacaGaaeqa baqabeGadaaakeaaqaaaaaaaaaWdbiabfo5ah9aadaWgaaWcbaWdbi aadMgaa8aabeaak8qadaqadaWdaeaapeGaam4uaiaacYcacaa5GcGa am4saaGaayjkaiaawMcaaaaa@397B@  принадлежности объекта S классу K, имеющая вид

 Гi(S,K)=1Tip,KBTip,KPBi Ω B,S.

Объект S относится к классу с наибольшей оценкой. Если таких классов несколько, то объект относится к классу с наибольшим числом прецедентов.

В модели A1 множество T Τ 1 p,K MathType@MTEF@5@5@+= feaahGart1ev3aqatCvAUfeBSjuyZL2yd9gzLbvyNv2Caerbov2D09 MBdbqedmvETj2BSbqeeuuDJXwAKbsr4rNCHbGeaGqik8fkY=xipgYl h9vqqj=hEeeu0xXdi9arFj0xirFj0dXdbba91qpK0=yr0RYxfr=Jbb f9q8aq0=yq=He9q8qqQ8frFve9Fve9Ff0dmeaabaqaciaacaGaaeqa baqabeGadaaakeaaqaaaaaaaaaWdbiabfs6au9aadaWgaaWcbaWdbi aaigdaa8aabeaak8qadaqadaWdaeaapeGaamiCaiaacYcacaWGlbaa caGLOaGaayzkaaaaaa@37FD@  строится в два этапа. Сначала анализируется множество Z K MathType@MTEF@5@5@+= feaahGart1ev3aqatCvAUfeBSjuyZL2yd9gzLbvyNv2Caerbov2D09 MBdbqedmvETj2BSbqeeuuDJXwAKbsr4rNCHbGeaGqik8fkY=xipgYl h9vqqj=hEeeu0xXdi9arFj0xirFj0dXdbba91qpK0=yr0RYxfr=Jbb f9q8aq0=yq=He9q8qqQ8frFve9Fve9Ff0dmeaabaqaciaacaGaaeqa baqabeGadaaakeaaqaaaaaaaaaWdbiaadQfapaWaaSbaaSqaa8qaca WGlbaapaqabaaaaa@3334@  и строятся тупиковые покрытия для Z K MathType@MTEF@5@5@+= feaahGart1ev3aqatCvAUfeBSjuyZL2yd9gzLbvyNv2Caerbov2D09 MBdbqedmvETj2BSbqeeuuDJXwAKbsr4rNCHbGeaGqik8fkY=xipgYl h9vqqj=hEeeu0xXdi9arFj0xirFj0dXdbba91qpK0=yr0RYxfr=Jbb f9q8aq0=yq=He9q8qqQ8frFve9Fve9Ff0dmeaabaqaciaacaGaaeqa baqabeGadaaakeaaqaaaaaaaaaWdbiaadQfapaWaaSbaaSqaa8qaca WGlbaapaqabaaaaa@3334@  ранга p MathType@MTEF@5@5@+= feaahGart1ev3aqatCvAUfeBSjuyZL2yd9gzLbvyNv2Caerbov2D09 MBdbqedmvETj2BSbqeeuuDJXwAKbsr4rNCHbGeaGqik8fkY=xipgYl h9vqqj=hEeeu0xXdi9arFj0xirFj0dXdbba91qpK0=yr0RYxfr=Jbb f9q8aq0=yq=He9q8qqQ8frFve9Fve9Ff0dmeaabaqaciaacaGaaeqa baqabeGadaaakeaaqaaaaaaaaaWdbiaadchaaaa@3220@ . При этом решается задача монотонной дуализациии, которая относится к труднорешаемым дискретным перечислительным задачам. Затем из найденных ЭК отбираются те, которые являются p-частыми в UK. Основная вычислительная сложность в этой модели заключается в необходимости решать задачу монотонной дуализации. Эффективность перечислительных задач принято оценивать сложностью нахождения нового решения (сложностью одного шага). В настоящее время для монотонной дуализации не построен алгоритм с полиномиальным шагом (алгоритм с полиномиальной задержкой [12]). Наиболее эффективными в практическом отношении для этой задачи являются асимптотически оптимальные алгоритмы [10].

В моделях A2 и A3 множества Τ 2 p,K MathType@MTEF@5@5@+= feaahGart1ev3aqatCvAUfeBSjuyZL2yd9gzLbvyNv2Caerbov2D09 MBdbqedmvETj2BSbqeeuuDJXwAKbsr4rNCHbGeaGqik8fkY=xipgYl h9vqqj=hEeeu0xXdi9arFj0xirFj0dXdbba91qpK0=yr0RYxfr=Jbb f9q8aq0=yq=He9q8qqQ8frFve9Fve9Ff0dmeaabaqaciaacaGaaeqa baqabeGadaaakeaaqaaaaaaaaaWdbiabfs6au9aadaWgaaWcbaWdbi aaikdaa8aabeaak8qadaqadaWdaeaapeGaamiCaiaacYcacaWGlbaa caGLOaGaayzkaaaaaa@37FE@  и Τ 3 p,K MathType@MTEF@5@5@+= feaahGart1ev3aqatCvAUfeBSjuyZL2yd9gzLbvyNv2Caerbov2D09 MBdbqedmvETj2BSbqeeuuDJXwAKbsr4rNCHbGeaGqik8fkY=xipgYl h9vqqj=hEeeu0xXdi9arFj0xirFj0dXdbba91qpK0=yr0RYxfr=Jbb f9q8aq0=yq=He9q8qqQ8frFve9Fve9Ff0dmeaabaqaciaacaGaaeqa baqabeGadaaakeaaqaaaaaaaaaWdbiabfs6au9aadaWgaaWcbaWdbi aaiodaa8aabeaak8qadaqadaWdaeaapeGaamiCaiaacYcacaWGlbaa caGLOaGaayzkaaaaaa@37FF@  строятся также в два этапа. Однако, в отличие от модели A1, сначала вместо анализа множества Z K MathType@MTEF@5@5@+= feaahGart1ev3aqatCvAUfeBSjuyZL2yd9gzLbvyNv2Caerbov2D09 MBdbqedmvETj2BSbqeeuuDJXwAKbsr4rNCHbGeaGqik8fkY=xipgYl h9vqqj=hEeeu0xXdi9arFj0xirFj0dXdbba91qpK0=yr0RYxfr=Jbb f9q8aq0=yq=He9q8qqQ8frFve9Fve9Ff0dmeaabaqaciaacaGaaeqa baqabeGadaaakeaaqaaaaaaaaaWdbiaadQfapaWaaSbaaSqaa8qaca WGlbaapaqabaaaaa@3334@  проводится анализ множества U K MathType@MTEF@5@5@+= feaahGart1ev3aqatCvAUfeBSjuyZL2yd9gzLbvyNv2Caerbov2D09 MBdbqedmvETj2BSbqeeuuDJXwAKbsr4rNCHbGeaGqik8fkY=xipgYl h9vqqj=hEeeu0xXdi9arFj0xirFj0dXdbba91qpK0=yr0RYxfr=Jbb f9q8aq0=yq=He9q8qqQ8frFve9Fve9Ff0dmeaabaqaciaacaGaaeqa baqabeGadaaakeaaqaaaaaaaaaWdbiaadwfapaWaaSbaaSqaa8qaca WGlbaapaqabaaaaa@332F@ , которое обычно меньше по мощности, чем Z K MathType@MTEF@5@5@+= feaahGart1ev3aqatCvAUfeBSjuyZL2yd9gzLbvyNv2Caerbov2D09 MBdbqedmvETj2BSbqeeuuDJXwAKbsr4rNCHbGeaGqik8fkY=xipgYl h9vqqj=hEeeu0xXdi9arFj0xirFj0dXdbba91qpK0=yr0RYxfr=Jbb f9q8aq0=yq=He9q8qqQ8frFve9Fve9Ff0dmeaabaqaciaacaGaaeqa baqabeGadaaakeaaqaaaaaaaaaWdbiaadQfapaWaaSbaaSqaa8qaca WGlbaapaqabaaaaa@3334@ , в случае, если число классов больше двух. В результате такого анализа строится множество правильных ЭК для U K MathType@MTEF@5@5@+= feaahGart1ev3aqatCvAUfeBSjuyZL2yd9gzLbvyNv2Caerbov2D09 MBdbqedmvETj2BSbqeeuuDJXwAKbsr4rNCHbGeaGqik8fkY=xipgYl h9vqqj=hEeeu0xXdi9arFj0xirFj0dXdbba91qpK0=yr0RYxfr=Jbb f9q8aq0=yq=He9q8qqQ8frFve9Fve9Ff0dmeaabaqaciaacaGaaeqa baqabeGadaaakeaaqaaaaaaaaaWdbiaadwfapaWaaSbaaSqaa8qaca WGlbaapaqabaaaaa@332F@  ранга p MathType@MTEF@5@5@+= feaahGart1ev3aqatCvAUfeBSjuyZL2yd9gzLbvyNv2Caerbov2D09 MBdbqedmvETj2BSbqeeuuDJXwAKbsr4rNCHbGeaGqik8fkY=xipgYl h9vqqj=hEeeu0xXdi9arFj0xirFj0dXdbba91qpK0=yr0RYxfr=Jbb f9q8aq0=yq=He9q8qqQ8frFve9Fve9Ff0dmeaabaqaciaacaGaaeqa baqabeGadaaakeaaqaaaaaaaaaWdbiaadchaaaa@3220@ . На втором этапе в моделях A2 и A3 из найденных ЭК отбираются соответственно покрытия для Z K MathType@MTEF@5@5@+= feaahGart1ev3aqatCvAUfeBSjuyZL2yd9gzLbvyNv2Caerbov2D09 MBdbqedmvETj2BSbqeeuuDJXwAKbsr4rNCHbGeaGqik8fkY=xipgYl h9vqqj=hEeeu0xXdi9arFj0xirFj0dXdbba91qpK0=yr0RYxfr=Jbb f9q8aq0=yq=He9q8qqQ8frFve9Fve9Ff0dmeaabaqaciaacaGaaeqa baqabeGadaaakeaaqaaaaaaaaaWdbiaadQfapaWaaSbaaSqaa8qaca WGlbaapaqabaaaaa@3334@  и тупиковые покрытия для Z K MathType@MTEF@5@5@+= feaahGart1ev3aqatCvAUfeBSjuyZL2yd9gzLbvyNv2Caerbov2D09 MBdbqedmvETj2BSbqeeuuDJXwAKbsr4rNCHbGeaGqik8fkY=xipgYl h9vqqj=hEeeu0xXdi9arFj0xirFj0dXdbba91qpK0=yr0RYxfr=Jbb f9q8aq0=yq=He9q8qqQ8frFve9Fve9Ff0dmeaabaqaciaacaGaaeqa baqabeGadaaakeaaqaaaaaaaaaWdbiaadQfapaWaaSbaaSqaa8qaca WGlbaapaqabaaaaa@3334@ .

В настоящей работе при реализации классификаторов A1, A2 и A3 к исходным данным применялась известная процедура one-hot кодирования [9]. В результате классификаторы работали с бинарными описаниями объектов. Для поиска правильных ЭК в бинарных данных разработан алгоритм ADR, описание которого приведено в разд. 2.

2. Алгоритм ADR поиска правильных ЭК. Типичное число правильных ЭК. Обозначим через L матрицу, строками которой являются бинарные описания объектов класса K, полученные с помощью one-hot кодирования.

Пусть Q - набор различных столбцов матрицы L, LQ - подматрица матрицы L образованная набором Q. Набор столбцов Q называется p-частым, если LQ содержит не менее p строк, все элементы которых равны 1. Набор столбцов Q называется p-правильным, если он p-частый и его мощность равна p. Несложно видеть, что поиск всех правильных ЭК ранга p эквивалентен поиску всех p-правильных наборов столбцов матрицы L.

Обозначим через R L, p MathType@MTEF@5@5@+= feaahGart1ev3aqatCvAUfeBSjuyZL2yd9gzLbvyNv2Caerbov2D09 MBdbqedmvETj2BSbqeeuuDJXwAKbsr4rNCHbGeaGqik8fkY=xipgYl h9vqqj=hEeeu0xXdi9arFj0xirFj0dXdbba91qpK0=yr0RYxfr=Jbb f9q8aq0=yq=He9q8qqQ8frFve9Fve9Ff0dmeaabaqaciaacaGaaeqa baqabeGadaaakeaaqaaaaaaaaaWdbiaadkfadaqadaWdaeaapeGaam itaiaacYcacaa5GcGaamiCaaGaayjkaiaawMcaaaaa@37A6@  множество всех столбцов матрицы L, имеющих не менее p элементов, равных 1. Пронумеруем столбцы матрицы L слева направо, начиная с 1. Пусть e 1 R   MathType@MTEF@5@5@+= feaahGart1ev3aqatCvAUfeBSjuyZL2yd9gzLbvyNv2Caerbov2D09 MBdbqedmvETj2BSbqeeuuDJXwAKbsr4rNCHbGeaGqik8fkY=xipgYl h9vqqj=hEeeu0xXdi9arFj0xirFj0dXdbba91qpK0=yr0RYxfr=Jbb f9q8aq0=yq=He9q8qqQ8frFve9Fve9Ff0dmeaabaqaciaacaGaaeqa baqabeGadaaakeaaqaaaaaaaaaWdbiaadwgapaWaaSbaaSqaa8qaca aIXaaapaqabaGcpeWaaeWaa8aabaWdbiaadkfaaiaawIcacaGLPaaa caa5Gcaaaa@3749@  и e 2 R   MathType@MTEF@5@5@+= feaahGart1ev3aqatCvAUfeBSjuyZL2yd9gzLbvyNv2Caerbov2D09 MBdbqedmvETj2BSbqeeuuDJXwAKbsr4rNCHbGeaGqik8fkY=xipgYl h9vqqj=hEeeu0xXdi9arFj0xirFj0dXdbba91qpK0=yr0RYxfr=Jbb f9q8aq0=yq=He9q8qqQ8frFve9Fve9Ff0dmeaabaqaciaacaGaaeqa baqabeGadaaakeaaqaaaaaaaaaWdbiaadwgapaWaaSbaaSqaa8qaca aIYaaapaqabaGcpeWaaeWaa8aabaWdbiaadkfaaiaawIcacaGLPaaa caa5Gcaaaa@374A@  - столбцы соответственно с наименьшим номером и наибольшим номером из R MathType@MTEF@5@5@+= feaahGart1ev3aqatCvAUfeBSjuyZL2yd9gzLbvyNv2Caerbov2D09 MBdbqedmvETj2BSbqeeuuDJXwAKbsr4rNCHbGeaGqik8fkY=xipgYl h9vqqj=hEeeu0xXdi9arFj0xirFj0dXdbba91qpK0=yr0RYxfr=Jbb f9q8aq0=yq=He9q8qqQ8frFve9Fve9Ff0dmeaabaqaciaacaGaaeqa baqabeGadaaakeaaqaaaaaaaaaWdbiaadkfaaaa@3202@ , RR L, p MathType@MTEF@5@5@+= feaahGart1ev3aqatCvAUfeBSjuyZL2yd9gzLbvyNv2Caerbov2D09 MBdbqedmvETj2BSbqeeuuDJXwAKbsr4rNCHbGeaGqik8fkY=xipgYl h9vqqj=hEeeu0xXdi9arFj0xirFj0dXdbba91qpK0=yr0RYxfr=Jbb f9q8aq0=yq=He9q8qqQ8frFve9Fve9Ff0dmeaabaqaciaacaGaaeqa baqabeGadaaakeaaqaaaaaaaaaWdbiaadkfacqGHgksZcaWGsbWaae Waa8aabaWdbiaadYeacaGGSaGaaqoOaiaadchaaiaawIcacaGLPaaa aaa@3A7E@ . Через U p L MathType@MTEF@5@5@+= feaahGart1ev3aqatCvAUfeBSjuyZL2yd9gzLbvyNv2Caerbov2D09 MBdbqedmvETj2BSbqeeuuDJXwAKbsr4rNCHbGeaGqik8fkY=xipgYl h9vqqj=hEeeu0xXdi9arFj0xirFj0dXdbba91qpK0=yr0RYxfr=Jbb f9q8aq0=yq=He9q8qqQ8frFve9Fve9Ff0dmeaabaqaciaacaGaaeqa baqabeGadaaakeaaqaaaaaaaaaWdbiaadwfapaWaaSbaaSqaa8qaca WGWbaapaqabaGcpeWaaeWaa8aabaWdbiaadYeaaiaawIcacaGLPaaa aaa@35E7@  обозначим множество всех p-частых наборов столбцов матрицы L, мощность которых не превосходит p. Алгоритм ADR строит множество всех p-правильных наборов столбцов матрицы L, перечисляя с полиномиальной задержкой наборы из U p L MathType@MTEF@5@5@+= feaahGart1ev3aqatCvAUfeBSjuyZL2yd9gzLbvyNv2Caerbov2D09 MBdbqedmvETj2BSbqeeuuDJXwAKbsr4rNCHbGeaGqik8fkY=xipgYl h9vqqj=hEeeu0xXdi9arFj0xirFj0dXdbba91qpK0=yr0RYxfr=Jbb f9q8aq0=yq=He9q8qqQ8frFve9Fve9Ff0dmeaabaqaciaacaGaaeqa baqabeGadaaakeaaqaaaaaaaaaWdbiaadwfapaWaaSbaaSqaa8qaca WGWbaapaqabaGcpeWaaeWaa8aabaWdbiaadYeaaiaawIcacaGLPaaa aaa@35E7@ .

Определим порядок, в котором происходит перечисление наборов из U p L MathType@MTEF@5@5@+= feaahGart1ev3aqatCvAUfeBSjuyZL2yd9gzLbvyNv2Caerbov2D09 MBdbqedmvETj2BSbqeeuuDJXwAKbsr4rNCHbGeaGqik8fkY=xipgYl h9vqqj=hEeeu0xXdi9arFj0xirFj0dXdbba91qpK0=yr0RYxfr=Jbb f9q8aq0=yq=He9q8qqQ8frFve9Fve9Ff0dmeaabaqaciaacaGaaeqa baqabeGadaaakeaaqaaaaaaaaaWdbiaadwfapaWaaSbaaSqaa8qaca WGWbaapaqabaGcpeWaaeWaa8aabaWdbiaadYeaaiaawIcacaGLPaaa aaa@35E7@ . На первом шаге рассматривается набор Q={ e 1 R L,p }  MathType@MTEF@5@5@+= feaahGart1ev3aqatCvAUfeBSjuyZL2yd9gzLbvyNv2Caerbov2D09 MBdbqedmvETj2BSbqeeuuDJXwAKbsr4rNCHbGeaGqik8fkY=xipgYl h9vqqj=hEeeu0xXdi9arFj0xirFj0dXdbba91qpK0=yr0RYxfr=Jbb f9q8aq0=yq=He9q8qqQ8frFve9Fve9Ff0dmeaabaqaciaacaGaaeqa baqabeGadaaakeaaqaaaaaaaaaWdbiaadgfacqGH9aqpcaGG7bGaam yza8aadaWgaaWcbaWdbiaaigdaa8aabeaak8qadaqadaWdaeaapeGa amOuamaabmaapaqaa8qacaWGmbGaaiilaiaadchaaiaawIcacaGLPa aaaiaawIcacaGLPaaacaGG9bGaaqoOaaaa@3F43@ .

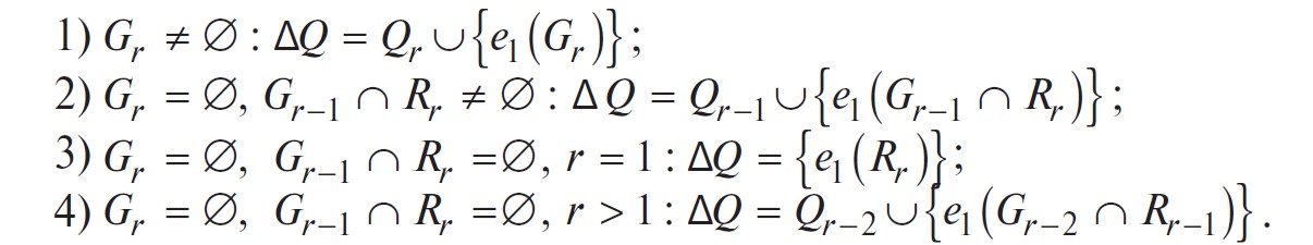
Пусть на шаге i  i1 MathType@MTEF@5@5@+= feaahGart1ev3aqatCvAUfeBSjuyZL2yd9gzLbvyNv2Caerbov2D09 MBdbqedmvETj2BSbqeeuuDJXwAKbsr4rNCHbGeaGqik8fkY=xipgYl h9vqqj=hEeeu0xXdi9arFj0xirFj0dXdbba91qpK0=yr0RYxfr=Jbb f9q8aq0=yq=He9q8qqQ8frFve9Fve9Ff0dmeaabaqaciaacaGaaeqa baqabeGadaaakeaaqaaaaaaaaaWdbiaadMgacaa5GcWaaeWaa8aaba WdbiaadMgacqGHLjYScaaIXaaacaGLOaGaayzkaaaaaa@38B6@  построен набор Q U p L MathType@MTEF@5@5@+= feaahGart1ev3aqatCvAUfeBSjuyZL2yd9gzLbvyNv2Caerbov2D09 MBdbqedmvETj2BSbqeeuuDJXwAKbsr4rNCHbGeaGqik8fkY=xipgYl h9vqqj=hEeeu0xXdi9arFj0xirFj0dXdbba91qpK0=yr0RYxfr=Jbb f9q8aq0=yq=He9q8qqQ8frFve9Fve9Ff0dmeaabaqaciaacaGaaeqa baqabeGadaaakeaaqaaaaaaaaaWdbiaadgfacqGHiiIZcaWGvbWdam aaBaaaleaapeGaamiCaaWdaeqaaOWdbmaabmaapaqaa8qacaWGmbaa caGLOaGaayzkaaaaaa@3841@ , состоящий из столбцов с номерами   j 1 ,,  j r MathType@MTEF@5@5@+= feaahGart1ev3aqatCvAUfeBSjuyZL2yd9gzLbvyNv2Caerbov2D09 MBdbqedmvETj2BSbqeeuuDJXwAKbsr4rNCHbGeaGqik8fkY=xipgYl h9vqqj=hEeeu0xXdi9arFj0xirFj0dXdbba91qpK0=yr0RYxfr=Jbb f9q8aq0=yq=He9q8qqQ8frFve9Fve9Ff0dmeaabaqaciaacaGaaeqa baqabeGadaaakeaaqaaaaaaaaaWdbiaaKdkacaWGQbWdamaaBaaale aapeGaaGymaaWdaeqaaOWdbiaacYcacqGHMacVcaGGSaGaaqoOaiaa dQgapaWaaSbaaSqaa8qacaWGYbaapaqabaaaaa@3B83@ , j 1 <<  j r MathType@MTEF@5@5@+= feaahGart1ev3aqatCvAUfeBSjuyZL2yd9gzLbvyNv2Caerbov2D09 MBdbqedmvETj2BSbqeeuuDJXwAKbsr4rNCHbGeaGqik8fkY=xipgYl h9vqqj=hEeeu0xXdi9arFj0xirFj0dXdbba91qpK0=yr0RYxfr=Jbb f9q8aq0=yq=He9q8qqQ8frFve9Fve9Ff0dmeaabaqaciaacaGaaeqa baqabeGadaaakeaaqaaaaaaaaaWdbiaadQgapaWaaSbaaSqaa8qaca aIXaaapaqabaGcpeGaeyipaWJaeyOjGWRaeyipaWJaaqoOaiaadQga paWaaSbaaSqaa8qacaWGYbaapaqabaaaaa@3AA5@ , rp MathType@MTEF@5@5@+= feaahGart1ev3aqatCvAUfeBSjuyZL2yd9gzLbvyNv2Caerbov2D09 MBdbqedmvETj2BSbqeeuuDJXwAKbsr4rNCHbGeaGqik8fkY=xipgYl h9vqqj=hEeeu0xXdi9arFj0xirFj0dXdbba91qpK0=yr0RYxfr=Jbb f9q8aq0=yq=He9q8qqQ8frFve9Fve9Ff0dmeaabaqaciaacaGaaeqa baqabeGadaaakeaaqaaaaaaaaaWdbiaadkhacqGHKjYOcaWGWbaaaa@34CC@ . Если Q={ e 2 R L,p   } MathType@MTEF@5@5@+= feaahGart1ev3aqatCvAUfeBSjuyZL2yd9gzLbvyNv2Caerbov2D09 MBdbqedmvETj2BSbqeeuuDJXwAKbsr4rNCHbGeaGqik8fkY=xipgYl h9vqqj=hEeeu0xXdi9arFj0xirFj0dXdbba91qpK0=yr0RYxfr=Jbb f9q8aq0=yq=He9q8qqQ8frFve9Fve9Ff0dmeaabaqaciaacaGaaeqa baqabeGadaaakeaaqaaaaaaaaaWdbiaadgfacqGH9aqpcaGG7bGaam yza8aadaWgaaWcbaWdbiaaikdaa8aabeaak8qadaqadaWdaeaapeGa amOuamaabmaapaqaa8qacaWGmbGaaiilaiaadchaaiaawIcacaGLPa aacaa5GcaacaGLOaGaayzkaaGaaiyFaaaa@3F44@ , то алгоритм заканчивает работу. Если же Q{ e 2 R L,p   } MathType@MTEF@5@5@+= feaahGart1ev3aqatCvAUfeBSjuyZL2yd9gzLbvyNv2Caerbov2D09 MBdbqedmvETj2BSbqeeuuDJXwAKbsr4rNCHbGeaGqik8fkY=xipgYl h9vqqj=hEeeu0xXdi9arFj0xirFj0dXdbba91qpK0=yr0RYxfr=Jbb f9q8aq0=yq=He9q8qqQ8frFve9Fve9Ff0dmeaabaqaciaacaGaaeqa baqabeGadaaakeaaqaaaaaaaaaWdbiaadgfacqGHGjsUcaGG7bGaam yza8aadaWgaaWcbaWdbiaaikdaa8aabeaak8qadaqadaWdaeaapeGa amOuamaabmaapaqaa8qacaWGmbGaaiilaiaadchaaiaawIcacaGLPa aacaa5GcaacaGLOaGaayzkaaGaaiyFaaaa@4005@ , то на шаге i+1 MathType@MTEF@5@5@+= feaahGart1ev3aqatCvAUfeBSjuyZL2yd9gzLbvyNv2Caerbov2D09 MBdbqedmvETj2BSbqeeuuDJXwAKbsr4rNCHbGeaGqik8fkY=xipgYl h9vqqj=hEeeu0xXdi9arFj0xirFj0dXdbba91qpK0=yr0RYxfr=Jbb f9q8aq0=yq=He9q8qqQ8frFve9Fve9Ff0dmeaabaqaciaacaGaaeqa baqabeGadaaakeaaqaaaaaaaaaWdbiaadMgacqGHRaWkcaaIXaaaaa@33B6@ алгоритм ADR строит новый набор ΔQ из U p L MathType@MTEF@5@5@+= feaahGart1ev3aqatCvAUfeBSjuyZL2yd9gzLbvyNv2Caerbov2D09 MBdbqedmvETj2BSbqeeuuDJXwAKbsr4rNCHbGeaGqik8fkY=xipgYl h9vqqj=hEeeu0xXdi9arFj0xirFj0dXdbba91qpK0=yr0RYxfr=Jbb f9q8aq0=yq=He9q8qqQ8frFve9Fve9Ff0dmeaabaqaciaacaGaaeqa baqabeGadaaakeaaqaaaaaaaaaWdbiaadwfapaWaaSbaaSqaa8qaca WGWbaapaqabaGcpeWaaeWaa8aabaWdbiaadYeaaiaawIcacaGLPaaa aaa@35E7@ . При этом возможны два случая: r<p MathType@MTEF@5@5@+= feaahGart1ev3aqatCvAUfeBSjuyZL2yd9gzLbvyNv2Caerbov2D09 MBdbqedmvETj2BSbqeeuuDJXwAKbsr4rNCHbGeaGqik8fkY=xipgYl h9vqqj=hEeeu0xXdi9arFj0xirFj0dXdbba91qpK0=yr0RYxfr=Jbb f9q8aq0=yq=He9q8qqQ8frFve9Fve9Ff0dmeaabaqaciaacaGaaeqa baqabeGadaaakeaaqaaaaaaaaaWdbiaadkhacqGH8aapcaWGWbaaaa@341B@  и r=p MathType@MTEF@5@5@+= feaahGart1ev3aqatCvAUfeBSjuyZL2yd9gzLbvyNv2Caerbov2D09 MBdbqedmvETj2BSbqeeuuDJXwAKbsr4rNCHbGeaGqik8fkY=xipgYl h9vqqj=hEeeu0xXdi9arFj0xirFj0dXdbba91qpK0=yr0RYxfr=Jbb f9q8aq0=yq=He9q8qqQ8frFve9Fve9Ff0dmeaabaqaciaacaGaaeqa baqabeGadaaakeaaqaaaaaaaaaWdbiaadkhacqGH9aqpcaWGWbaaaa@341D@ . В первом случае алгоритм строит ΔQ согласно приведенным ниже правилам 1 - 4 . Во втором случае алгоритм строит ΔQ по правилам 2 - 4.

Для описания правил построения ΔQ введем обозначения: Q t MathType@MTEF@5@5@+= feaahGart1ev3aqatCvAUfeBSjuyZL2yd9gzLbvyNv2Caerbov2D09 MBdbqedmvETj2BSbqeeuuDJXwAKbsr4rNCHbGeaGqik8fkY=xipgYl h9vqqj=hEeeu0xXdi9arFj0xirFj0dXdbba91qpK0=yr0RYxfr=Jbb f9q8aq0=yq=He9q8qqQ8frFve9Fve9Ff0dmeaabaqaciaacaGaaeqa baqabeGadaaakeaaqaaaaaaaaaWdbiaadgfapaWaaSbaaSqaa8qaca WG0baapaqabaaaaa@3354@ , t= 1, r ¯ MathType@MTEF@5@5@+= feaahGart1ev3aqatCvAUfeBSjuyZL2yd9gzLbvyNv2Caerbov2D09 MBdbqedmvETj2BSbqeeuuDJXwAKbsr4rNCHbGeaGqik8fkY=xipgYl h9vqqj=hEeeu0xXdi9arFj0xirFj0dXdbba91qpK0=yr0RYxfr=Jbb f9q8aq0=yq=He9q8qqQ8frFve9Fve9Ff0dmeaabaqaciaacaGaaeqa baqabeGadaaakeaaqaaaaaaaaaWdbiaadshacqGH9aqppaWaa0aaae aapeGaaGymaiaacYcacaa5GcGaamOCaaaaaaa@3742@ , - набор столбцов матрицы L MathType@MTEF@5@5@+= feaahGart1ev3aqatCvAUfeBSjuyZL2yd9gzLbvyNv2Caerbov2D09 MBdbqedmvETj2BSbqeeuuDJXwAKbsr4rNCHbGeaGqik8fkY=xipgYl h9vqqj=hEeeu0xXdi9arFj0xirFj0dXdbba91qpK0=yr0RYxfr=Jbb f9q8aq0=yq=He9q8qqQ8frFve9Fve9Ff0dmeaabaqaciaacaGaaeqa baqabeGadaaakeaaqaaaaaaaaaWdbiaadYeaaaa@31FC@  с номерами j 1 ,,  j t MathType@MTEF@5@5@+= feaahGart1ev3aqatCvAUfeBSjuyZL2yd9gzLbvyNv2Caerbov2D09 MBdbqedmvETj2BSbqeeuuDJXwAKbsr4rNCHbGeaGqik8fkY=xipgYl h9vqqj=hEeeu0xXdi9arFj0xirFj0dXdbba91qpK0=yr0RYxfr=Jbb f9q8aq0=yq=He9q8qqQ8frFve9Fve9Ff0dmeaabaqaciaacaGaaeqa baqabeGadaaakeaaqaaaaaaaaaWdbiaadQgapaWaaSbaaSqaa8qaca aIXaaapaqabaGcpeGaaiilaiabgAci8kaacYcacaa5GcGaamOAa8aa daWgaaWcbaWdbiaadshaa8aabeaaaaa@39FF@ ; R t MathType@MTEF@5@5@+= feaahGart1ev3aqatCvAUfeBSjuyZL2yd9gzLbvyNv2Caerbov2D09 MBdbqedmvETj2BSbqeeuuDJXwAKbsr4rNCHbGeaGqik8fkY=xipgYl h9vqqj=hEeeu0xXdi9arFj0xirFj0dXdbba91qpK0=yr0RYxfr=Jbb f9q8aq0=yq=He9q8qqQ8frFve9Fve9Ff0dmeaabaqaciaacaGaaeqa baqabeGadaaakeaaqaaaaaaaaaWdbiaadkfapaWaaSbaaSqaa8qaca WG0baapaqabaaaaa@3355@ , t= 1, r ¯ MathType@MTEF@5@5@+= feaahGart1ev3aqatCvAUfeBSjuyZL2yd9gzLbvyNv2Caerbov2D09 MBdbqedmvETj2BSbqeeuuDJXwAKbsr4rNCHbGeaGqik8fkY=xipgYl h9vqqj=hEeeu0xXdi9arFj0xirFj0dXdbba91qpK0=yr0RYxfr=Jbb f9q8aq0=yq=He9q8qqQ8frFve9Fve9Ff0dmeaabaqaciaacaGaaeqa baqabeGadaaakeaaqaaaaaaaaaWdbiaadshacqGH9aqppaWaa0aaae aapeGaaGymaiaacYcacaa5GcGaamOCaaaaaaa@3742@ , - множество столбцов в R L,p MathType@MTEF@5@5@+= feaahGart1ev3aqatCvAUfeBSjuyZL2yd9gzLbvyNv2Caerbov2D09 MBdbqedmvETj2BSbqeeuuDJXwAKbsr4rNCHbGeaGqik8fkY=xipgYl h9vqqj=hEeeu0xXdi9arFj0xirFj0dXdbba91qpK0=yr0RYxfr=Jbb f9q8aq0=yq=He9q8qqQ8frFve9Fve9Ff0dmeaabaqaciaacaGaaeqa baqabeGadaaakeaaqaaaaaaaaaWdbiaadkfadaqadaWdaeaapeGaam itaiaacYcacaWGWbaacaGLOaGaayzkaaaaaa@3620@ , номера которых больше j t MathType@MTEF@5@5@+= feaahGart1ev3aqatCvAUfeBSjuyZL2yd9gzLbvyNv2Caerbov2D09 MBdbqedmvETj2BSbqeeuuDJXwAKbsr4rNCHbGeaGqik8fkY=xipgYl h9vqqj=hEeeu0xXdi9arFj0xirFj0dXdbba91qpK0=yr0RYxfr=Jbb f9q8aq0=yq=He9q8qqQ8frFve9Fve9Ff0dmeaabaqaciaacaGaaeqa baqabeGadaaakeaaqaaaaaaaaaWdbiaadQgapaWaaSbaaSqaa8qaca WG0baapaqabaaaaa@336D@ ; G t MathType@MTEF@5@5@+= feaahGart1ev3aqatCvAUfeBSjuyZL2yd9gzLbvyNv2Caerbov2D09 MBdbqedmvETj2BSbqeeuuDJXwAKbsr4rNCHbGeaGqik8fkY=xipgYl h9vqqj=hEeeu0xXdi9arFj0xirFj0dXdbba91qpK0=yr0RYxfr=Jbb f9q8aq0=yq=He9q8qqQ8frFve9Fve9Ff0dmeaabaqaciaacaGaaeqa baqabeGadaaakeaaqaaaaaaaaaWdbiaadEeapaWaaSbaaSqaa8qaca WG0baapaqabaaaaa@334A@ , t= 1, r ¯ MathType@MTEF@5@5@+= feaahGart1ev3aqatCvAUfeBSjuyZL2yd9gzLbvyNv2Caerbov2D09 MBdbqedmvETj2BSbqeeuuDJXwAKbsr4rNCHbGeaGqik8fkY=xipgYl h9vqqj=hEeeu0xXdi9arFj0xirFj0dXdbba91qpK0=yr0RYxfr=Jbb f9q8aq0=yq=He9q8qqQ8frFve9Fve9Ff0dmeaabaqaciaacaGaaeqa baqabeGadaaakeaaqaaaaaaaaaWdbiaadshacqGH9aqppaWaa0aaae aapeGaaGymaiaacYcacaa5GcGaamOCaaaaaaa@3742@ , r<p MathType@MTEF@5@5@+= feaahGart1ev3aqatCvAUfeBSjuyZL2yd9gzLbvyNv2Caerbov2D09 MBdbqedmvETj2BSbqeeuuDJXwAKbsr4rNCHbGeaGqik8fkY=xipgYl h9vqqj=hEeeu0xXdi9arFj0xirFj0dXdbba91qpK0=yr0RYxfr=Jbb f9q8aq0=yq=He9q8qqQ8frFve9Fve9Ff0dmeaabaqaciaacaGaaeqa baqabeGadaaakeaaqaaaaaaaaaWdbiaadkhacqGH8aapcaWGWbaaaa@341B@ , - множество столбцов из R t MathType@MTEF@5@5@+= feaahGart1ev3aqatCvAUfeBSjuyZL2yd9gzLbvyNv2Caerbov2D09 MBdbqedmvETj2BSbqeeuuDJXwAKbsr4rNCHbGeaGqik8fkY=xipgYl h9vqqj=hEeeu0xXdi9arFj0xirFj0dXdbba91qpK0=yr0RYxfr=Jbb f9q8aq0=yq=He9q8qqQ8frFve9Fve9Ff0dmeaabaqaciaacaGaaeqa baqabeGadaaakeaaqaaaaaaaaaWdbiaadkfapaWaaSbaaSqaa8qaca WG0baapaqabaaaaa@3355@ , каждый из которых в объединении со столбцами из Q t MathType@MTEF@5@5@+= feaahGart1ev3aqatCvAUfeBSjuyZL2yd9gzLbvyNv2Caerbov2D09 MBdbqedmvETj2BSbqeeuuDJXwAKbsr4rNCHbGeaGqik8fkY=xipgYl h9vqqj=hEeeu0xXdi9arFj0xirFj0dXdbba91qpK0=yr0RYxfr=Jbb f9q8aq0=yq=He9q8qqQ8frFve9Fve9Ff0dmeaabaqaciaacaGaaeqa baqabeGadaaakeaaqaaaaaaaaaWdbiaadgfapaWaaSbaaSqaa8qaca WG0baapaqabaaaaa@3354@  образует набор из U p L MathType@MTEF@5@5@+= feaahGart1ev3aqatCvAUfeBSjuyZL2yd9gzLbvyNv2Caerbov2D09 MBdbqedmvETj2BSbqeeuuDJXwAKbsr4rNCHbGeaGqik8fkY=xipgYl h9vqqj=hEeeu0xXdi9arFj0xirFj0dXdbba91qpK0=yr0RYxfr=Jbb f9q8aq0=yq=He9q8qqQ8frFve9Fve9Ff0dmeaabaqaciaacaGaaeqa baqabeGadaaakeaaqaaaaaaaaaWdbiaadwfapaWaaSbaaSqaa8qaca WGWbaapaqabaGcpeWaaeWaa8aabaWdbiaadYeaaiaawIcacaGLPaaa aaa@35E7@ . Положим G r =  MathType@MTEF@5@5@+= feaahGart1ev3aqatCvAUfeBSjuyZL2yd9gzLbvyNv2Caerbov2D09 MBdbqedmvETj2BSbqeeuuDJXwAKbsr4rNCHbGeaGqik8fkY=xipgYl h9vqqj=hEeeu0xXdi9arFj0xirFj0dXdbba91qpK0=yr0RYxfr=Jbb f9q8aq0=yq=He9q8qqQ8frFve9Fve9Ff0dmeaabaqaciaacaGaaeqa baqabeGadaaakeaaqaaaaaaaaaWdbiaadEeapaWaaSbaaSqaa8qaca WGYbaapaqabaGcpeGaeyypa0JaaqoOaiabgwGigdaa@3767@  в случае r=p MathType@MTEF@5@5@+= feaahGart1ev3aqatCvAUfeBSjuyZL2yd9gzLbvyNv2Caerbov2D09 MBdbqedmvETj2BSbqeeuuDJXwAKbsr4rNCHbGeaGqik8fkY=xipgYl h9vqqj=hEeeu0xXdi9arFj0xirFj0dXdbba91qpK0=yr0RYxfr=Jbb f9q8aq0=yq=He9q8qqQ8frFve9Fve9Ff0dmeaabaqaciaacaGaaeqa baqabeGadaaakeaaqaaaaaaaaaWdbiaadkhacqGH9aqpcaWGWbaaaa@341D@ .

Заметим, что в случае r<p MathType@MTEF@5@5@+= feaahGart1ev3aqatCvAUfeBSjuyZL2yd9gzLbvyNv2Caerbov2D09 MBdbqedmvETj2BSbqeeuuDJXwAKbsr4rNCHbGeaGqik8fkY=xipgYl h9vqqj=hEeeu0xXdi9arFj0xirFj0dXdbba91qpK0=yr0RYxfr=Jbb f9q8aq0=yq=He9q8qqQ8frFve9Fve9Ff0dmeaabaqaciaacaGaaeqa baqabeGadaaakeaaqaaaaaaaaaWdbiaadkhacqGH8aapcaWGWbaaaa@341B@  для построения G t MathType@MTEF@5@5@+= feaahGart1ev3aqatCvAUfeBSjuyZL2yd9gzLbvyNv2Caerbov2D09 MBdbqedmvETj2BSbqeeuuDJXwAKbsr4rNCHbGeaGqik8fkY=xipgYl h9vqqj=hEeeu0xXdi9arFj0xirFj0dXdbba91qpK0=yr0RYxfr=Jbb f9q8aq0=yq=He9q8qqQ8frFve9Fve9Ff0dmeaabaqaciaacaGaaeqa baqabeGadaaakeaaqaaaaaaaaaWdbiaadEeapaWaaSbaaSqaa8qaca WG0baapaqabaaaaa@334A@  в L MathType@MTEF@5@5@+= feaahGart1ev3aqatCvAUfeBSjuyZL2yd9gzLbvyNv2Caerbov2D09 MBdbqedmvETj2BSbqeeuuDJXwAKbsr4rNCHbGeaGqik8fkY=xipgYl h9vqqj=hEeeu0xXdi9arFj0xirFj0dXdbba91qpK0=yr0RYxfr=Jbb f9q8aq0=yq=He9q8qqQ8frFve9Fve9Ff0dmeaabaqaciaacaGaaeqa baqabeGadaaakeaaqaaaaaaaaaWdbiaadYeaaaa@31FC@  нужно оставить только те столбцы, номера которых больше j t MathType@MTEF@5@5@+= feaahGart1ev3aqatCvAUfeBSjuyZL2yd9gzLbvyNv2Caerbov2D09 MBdbqedmvETj2BSbqeeuuDJXwAKbsr4rNCHbGeaGqik8fkY=xipgYl h9vqqj=hEeeu0xXdi9arFj0xirFj0dXdbba91qpK0=yr0RYxfr=Jbb f9q8aq0=yq=He9q8qqQ8frFve9Fve9Ff0dmeaabaqaciaacaGaaeqa baqabeGadaaakeaaqaaaaaaaaaWdbiaadQgapaWaaSbaaSqaa8qaca WG0baapaqabaaaaa@336D@  и которые имеют не менее p MathType@MTEF@5@5@+= feaahGart1ev3aqatCvAUfeBSjuyZL2yd9gzLbvyNv2Caerbov2D09 MBdbqedmvETj2BSbqeeuuDJXwAKbsr4rNCHbGeaGqik8fkY=xipgYl h9vqqj=hEeeu0xXdi9arFj0xirFj0dXdbba91qpK0=yr0RYxfr=Jbb f9q8aq0=yq=He9q8qqQ8frFve9Fve9Ff0dmeaabaqaciaacaGaaeqa baqabeGadaaakeaaqaaaaaaaaaWdbiaadchaaaa@3220@  элементов, равных 1 в подматрице, полученной после удаления из L MathType@MTEF@5@5@+= feaahGart1ev3aqatCvAUfeBSjuyZL2yd9gzLbvyNv2Caerbov2D09 MBdbqedmvETj2BSbqeeuuDJXwAKbsr4rNCHbGeaGqik8fkY=xipgYl h9vqqj=hEeeu0xXdi9arFj0xirFj0dXdbba91qpK0=yr0RYxfr=Jbb f9q8aq0=yq=He9q8qqQ8frFve9Fve9Ff0dmeaabaqaciaacaGaaeqa baqabeGadaaakeaaqaaaaaaaaaWdbiaadYeaaaa@31FC@  строк, дающих 0 в пересечении со столбцами с номерами   j 1 ,,  j t MathType@MTEF@5@5@+= feaahGart1ev3aqatCvAUfeBSjuyZL2yd9gzLbvyNv2Caerbov2D09 MBdbqedmvETj2BSbqeeuuDJXwAKbsr4rNCHbGeaGqik8fkY=xipgYl h9vqqj=hEeeu0xXdi9arFj0xirFj0dXdbba91qpK0=yr0RYxfr=Jbb f9q8aq0=yq=He9q8qqQ8frFve9Fve9Ff0dmeaabaqaciaacaGaaeqa baqabeGadaaakeaaqaaaaaaaaaWdbiaaKdkacaWGQbWdamaaBaaale aapeGaaGymaaWdaeqaaOWdbiaacYcacqGHMacVcaGGSaGaaqoOaiaa dQgapaWaaSbaaSqaa8qacaWG0baapaqabaaaaa@3B85@ .

Положим Q 0 = MathType@MTEF@5@5@+= feaahGart1ev3aqatCvAUfeBSjuyZL2yd9gzLbvyNv2Caerbov2D09 MBdbqedmvETj2BSbqeeuuDJXwAKbsr4rNCHbGeaGqik8fkY=xipgYl h9vqqj=hEeeu0xXdi9arFj0xirFj0dXdbba91qpK0=yr0RYxfr=Jbb f9q8aq0=yq=He9q8qqQ8frFve9Fve9Ff0dmeaabaqaciaacaGaaeqa baqabeGadaaakeaaqaaaaaaaaaWdbiaadgfapaWaaSbaaSqaa8qaca aIWaaapaqabaGcpeGaeyypa0JaeyybIymaaa@35AE@  и G 0 MathType@MTEF@5@5@+= feaahGart1ev3aqatCvAUfeBSjuyZL2yd9gzLbvyNv2Caerbov2D09 MBdbqedmvETj2BSbqeeuuDJXwAKbsr4rNCHbGeaGqik8fkY=xipgYl h9vqqj=hEeeu0xXdi9arFj0xirFj0dXdbba91qpK0=yr0RYxfr=Jbb f9q8aq0=yq=He9q8qqQ8frFve9Fve9Ff0dmeaabaqaciaacaGaaeqa baqabeGadaaakeaaqaaaaaaaaaWdbiaadEeapaWaaSbaaSqaa8qaca aIWaaapaqabaaaaa@330B@  = MathType@MTEF@5@5@+= feaahGart1ev3aqatCvAUfeBSjuyZL2yd9gzLbvyNv2Caerbov2D09 MBdbqedmvETj2BSbqeeuuDJXwAKbsr4rNCHbGeaGqik8fkY=xipgYl h9vqqj=hEeeu0xXdi9arFj0xirFj0dXdbba91qpK0=yr0RYxfr=Jbb f9q8aq0=yq=He9q8qqQ8frFve9Fve9Ff0dmeaabaqaciaacaGaaeqa baqabeGadaaakeaaqaaaaaaaaaWdbiabgwGigdaa@32A4@ . Перечислим возможные случаи и в каждом из них укажем правила построения ΔQ:

Заметим, что R r MathType@MTEF@5@5@+= feaahGart1ev3aqatCvAUfeBSjuyZL2yd9gzLbvyNv2Caerbov2D09 MBdbqedmvETj2BSbqeeuuDJXwAKbsr4rNCHbGeaGqik8fkY=xipgYl h9vqqj=hEeeu0xXdi9arFj0xirFj0dXdbba91qpK0=yr0RYxfr=Jbb f9q8aq0=yq=He9q8qqQ8frFve9Fve9Ff0dmeaabaqaciaacaGaaeqa baqabeGadaaakeaaqaaaaaaaaaWdbiaadkfapaWaaSbaaSqaa8qaca WGYbaapaqabaGcpeGaeyiyIKRaeyybIymaaa@36AD@  при r=1 MathType@MTEF@5@5@+= feaahGart1ev3aqatCvAUfeBSjuyZL2yd9gzLbvyNv2Caerbov2D09 MBdbqedmvETj2BSbqeeuuDJXwAKbsr4rNCHbGeaGqik8fkY=xipgYl h9vqqj=hEeeu0xXdi9arFj0xirFj0dXdbba91qpK0=yr0RYxfr=Jbb f9q8aq0=yq=He9q8qqQ8frFve9Fve9Ff0dmeaabaqaciaacaGaaeqa baqabeGadaaakeaaqaaaaaaaaaWdbiaadkhacqGH9aqpcaaIXaaaaa@33E3@ , так как Q{ e 2 R L, p   } MathType@MTEF@5@5@+= feaahGart1ev3aqatCvAUfeBSjuyZL2yd9gzLbvyNv2Caerbov2D09 MBdbqedmvETj2BSbqeeuuDJXwAKbsr4rNCHbGeaGqik8fkY=xipgYl h9vqqj=hEeeu0xXdi9arFj0xirFj0dXdbba91qpK0=yr0RYxfr=Jbb f9q8aq0=yq=He9q8qqQ8frFve9Fve9Ff0dmeaabaqaciaacaGaaeqa baqabeGadaaakeaaqaaaaaaaaaWdbiaadgfacqGHGjsUcaGG7bGaam yza8aadaWgaaWcbaWdbiaaikdaa8aabeaak8qadaqadaWdaeaapeGa amOuamaabmaapaqaa8qacaWGmbGaaiilaiaaKdkacaWGWbaacaGLOa GaayzkaaGaaqoOaaGaayjkaiaawMcaaiaac2haaaa@418B@ , и G r2 R r1 MathType@MTEF@5@5@+= feaahGart1ev3aqatCvAUfeBSjuyZL2yd9gzLbvyNv2Caerbov2D09 MBdbqedmvETj2BSbqeeuuDJXwAKbsr4rNCHbGeaGqik8fkY=xipgYl h9vqqj=hEeeu0xXdi9arFj0xirFj0dXdbba91qpK0=yr0RYxfr=Jbb f9q8aq0=yq=He9q8qqQ8frFve9Fve9Ff0dmeaabaqaciaacaGaaeqa baqabeGadaaakeaaqaaaaaaaaaWdbiaadEeapaWaaSbaaSqaa8qaca WGYbGaeyOeI0IaaGOmaaWdaeqaaOWdbiabgMIihlaadkfapaWaaSba aSqaa8qacaWGYbGaeyOeI0IaaGymaaWdaeqaaOWdbiabgcMi5kabgw Gigdaa@3DD3@  при Τ 2 p,K MathType@MTEF@5@5@+= feaahGart1ev3aqatCvAUfeBSjuyZL2yd9gzLbvyNv2Caerbov2D09 MBdbqedmvETj2BSbqeeuuDJXwAKbsr4rNCHbGeaGqik8fkY=xipgYl h9vqqj=hEeeu0xXdi9arFj0xirFj0dXdbba91qpK0=yr0RYxfr=Jbb f9q8aq0=yq=He9q8qqQ8frFve9Fve9Ff0dmeaabaqaciaacaGaaeqa baqabeGadaaakeaaqaaaaaaaaaWdbiabfs6au9aadaWgaaWcbaWdbi aaikdaa8aabeaak8qadaqadaWdaeaapeGaamiCaiaacYcacaWGlbaa caGLOaGaayzkaaaaaa@37FE@ , так как столбец с номером j r MathType@MTEF@5@5@+= feaahGart1ev3aqatCvAUfeBSjuyZL2yd9gzLbvyNv2Caerbov2D09 MBdbqedmvETj2BSbqeeuuDJXwAKbsr4rNCHbGeaGqik8fkY=xipgYl h9vqqj=hEeeu0xXdi9arFj0xirFj0dXdbba91qpK0=yr0RYxfr=Jbb f9q8aq0=yq=He9q8qqQ8frFve9Fve9Ff0dmeaabaqaciaacaGaaeqa baqabeGadaaakeaaqaaaaaaaaaWdbiaadQgapaWaaSbaaSqaa8qaca WGYbaapaqabaaaaa@336B@  принадлежит этому множеству.

Из описания работы алгоритма ADR видно, что в его основе лежит процесс ветвления, который удобно представить в виде обхода дерева решений в глубину. Вершинами этого дерева являются наборы из U p L MathType@MTEF@5@5@+= feaahGart1ev3aqatCvAUfeBSjuyZL2yd9gzLbvyNv2Caerbov2D09 MBdbqedmvETj2BSbqeeuuDJXwAKbsr4rNCHbGeaGqik8fkY=xipgYl h9vqqj=hEeeu0xXdi9arFj0xirFj0dXdbba91qpK0=yr0RYxfr=Jbb f9q8aq0=yq=He9q8qqQ8frFve9Fve9Ff0dmeaabaqaciaacaGaaeqa baqabeGadaaakeaaqaaaaaaaaaWdbiaadwfapaWaaSbaaSqaa8qaca WGWbaapaqabaGcpeWaaeWaa8aabaWdbiaadYeaaiaawIcacaGLPaaa aaa@35E7@ , причем p MathType@MTEF@5@5@+= feaahGart1ev3aqatCvAUfeBSjuyZL2yd9gzLbvyNv2Caerbov2D09 MBdbqedmvETj2BSbqeeuuDJXwAKbsr4rNCHbGeaGqik8fkY=xipgYl h9vqqj=hEeeu0xXdi9arFj0xirFj0dXdbba91qpK0=yr0RYxfr=Jbb f9q8aq0=yq=He9q8qqQ8frFve9Fve9Ff0dmeaabaqaciaacaGaaeqa baqabeGadaaakeaaqaaaaaaaaaWdbiaadchaaaa@3220@  -правильные наборы столбцов находятся среди висячих вершин. Через L K MathType@MTEF@5@5@+= feaahGart1ev3aqatCvAUfeBSjuyZL2yd9gzLbvyNv2Caerbov2D09 MBdbqedmvETj2BSbqeeuuDJXwAKbsr4rNCHbGeaGqik8fkY=xipgYl h9vqqj=hEeeu0xXdi9arFj0xirFj0dXdbba91qpK0=yr0RYxfr=Jbb f9q8aq0=yq=He9q8qqQ8frFve9Fve9Ff0dmeaabaqaciaacaGaaeqa baqabeGadaaakeaaqaaaaaaaaaWdbiaadYeapaWaaSbaaSqaa8qaca WGlbaapaqabaaaaa@3326@  обозначим матрицу, строками которой являются описания прецедентов класса K MathType@MTEF@5@5@+= feaahGart1ev3aqatCvAUfeBSjuyZL2yd9gzLbvyNv2Caerbov2D09 MBdbqedmvETj2BSbqeeuuDJXwAKbsr4rNCHbGeaGqik8fkY=xipgYl h9vqqj=hEeeu0xXdi9arFj0xirFj0dXdbba91qpK0=yr0RYxfr=Jbb f9q8aq0=yq=He9q8qqQ8frFve9Fve9Ff0dmeaabaqaciaacaGaaeqa baqabeGadaaakeaaqaaaaaaaaaWdbiaadUeaaaa@31FB@ . Правильные ЭК порождаются квадратными подматрицами матрицы L K MathType@MTEF@5@5@+= feaahGart1ev3aqatCvAUfeBSjuyZL2yd9gzLbvyNv2Caerbov2D09 MBdbqedmvETj2BSbqeeuuDJXwAKbsr4rNCHbGeaGqik8fkY=xipgYl h9vqqj=hEeeu0xXdi9arFj0xirFj0dXdbba91qpK0=yr0RYxfr=Jbb f9q8aq0=yq=He9q8qqQ8frFve9Fve9Ff0dmeaabaqaciaacaGaaeqa baqabeGadaaakeaaqaaaaaaaaaWdbiaadYeapaWaaSbaaSqaa8qaca WGlbaapaqabaaaaa@3326@ , состоящими из одинаковых строк. Такие подматрицы назовем правильными.

Ниже приведены асимптотические оценки типичных значений числа правильных подматриц целочисленной матрицы L K MathType@MTEF@5@5@+= feaahGart1ev3aqatCvAUfeBSjuyZL2yd9gzLbvyNv2Caerbov2D09 MBdbqedmvETj2BSbqeeuuDJXwAKbsr4rNCHbGeaGqik8fkY=xipgYl h9vqqj=hEeeu0xXdi9arFj0xirFj0dXdbba91qpK0=yr0RYxfr=Jbb f9q8aq0=yq=He9q8qqQ8frFve9Fve9Ff0dmeaabaqaciaacaGaaeqa baqabeGadaaakeaaqaaaaaaaaaWdbiaadYeapaWaaSbaaSqaa8qaca WGlbaapaqabaaaaa@3326@  и порядка такой подматрицы в случае большого числа строк матрицы L K MathType@MTEF@5@5@+= feaahGart1ev3aqatCvAUfeBSjuyZL2yd9gzLbvyNv2Caerbov2D09 MBdbqedmvETj2BSbqeeuuDJXwAKbsr4rNCHbGeaGqik8fkY=xipgYl h9vqqj=hEeeu0xXdi9arFj0xirFj0dXdbba91qpK0=yr0RYxfr=Jbb f9q8aq0=yq=He9q8qqQ8frFve9Fve9Ff0dmeaabaqaciaacaGaaeqa baqabeGadaaakeaaqaaaaaaaaaWdbiaadYeapaWaaSbaaSqaa8qaca WGlbaapaqabaaaaa@3326@ . Пусть M mn k MathType@MTEF@5@5@+= feaahGart1ev3aqatCvAUfeBSjuyZL2yd9gzLbvyNv2Caerbov2D09 MBdbqedmvETj2BSbqeeuuDJXwAKbsr4rNCHbGeaGqik8fkY=xipgYl h9vqqj=hEeeu0xXdi9arFj0xirFj0dXdbba91qpK0=yr0RYxfr=Jbb f9q8aq0=yq=He9q8qqQ8frFve9Fve9Ff0dmeaabaqaciaacaGaaeqa baqabeGadaaakeaaqaaaaaaaaaWdbiaad2eapaWaa0baaSqaa8qaca WGTbGaamOBaaWdaeaapeGaam4Aaaaaaaa@353D@  - множество всех целочисленных матриц размера m×n MathType@MTEF@5@5@+= feaahGart1ev3aqatCvAUfeBSjuyZL2yd9gzLbvyNv2Caerbov2D09 MBdbqedmvETj2BSbqeeuuDJXwAKbsr4rNCHbGeaGqik8fkY=xipgYl h9vqqj=hEeeu0xXdi9arFj0xirFj0dXdbba91qpK0=yr0RYxfr=Jbb f9q8aq0=yq=He9q8qqQ8frFve9Fve9Ff0dmeaabaqaciaacaGaaeqa baqabeGadaaakeaaqaaaaaaaaaWdbiaad2gacqGHxdaTcaWGUbaaaa@3527@  с элементами из 0, 1, , k1 MathType@MTEF@5@5@+= feaahGart1ev3aqatCvAUfeBSjuyZL2yd9gzLbvyNv2Caerbov2D09 MBdbqedmvETj2BSbqeeuuDJXwAKbsr4rNCHbGeaGqik8fkY=xipgYl h9vqqj=hEeeu0xXdi9arFj0xirFj0dXdbba91qpK0=yr0RYxfr=Jbb f9q8aq0=yq=He9q8qqQ8frFve9Fve9Ff0dmeaabaqaciaacaGaaeqa baqabeGadaaakeaaqaaaaaaaaaWdbmaacmaapaqaa8qacaaIWaGaai ilaiaaKdkacaaIXaGaaiilaiaaKdkacqGHMacVcaGGSaGaaqoOaiaa dUgacqGHsislcaaIXaaacaGL7bGaayzFaaaaaa@3FB8@ ; S L MathType@MTEF@5@5@+= feaahGart1ev3aqatCvAUfeBSjuyZL2yd9gzLbvyNv2Caerbov2D09 MBdbqedmvETj2BSbqeeuuDJXwAKbsr4rNCHbGeaGqik8fkY=xipgYl h9vqqj=hEeeu0xXdi9arFj0xirFj0dXdbba91qpK0=yr0RYxfr=Jbb f9q8aq0=yq=He9q8qqQ8frFve9Fve9Ff0dmeaabaqaciaacaGaaeqa baqabeGadaaakeaaqaaaaaaaaaWdbiaadofadaqadaWdaeaapeGaam itaaGaayjkaiaawMcaaaaa@347C@ , L M mn k MathType@MTEF@5@5@+= feaahGart1ev3aqatCvAUfeBSjuyZL2yd9gzLbvyNv2Caerbov2D09 MBdbqedmvETj2BSbqeeuuDJXwAKbsr4rNCHbGeaGqik8fkY=xipgYl h9vqqj=hEeeu0xXdi9arFj0xirFj0dXdbba91qpK0=yr0RYxfr=Jbb f9q8aq0=yq=He9q8qqQ8frFve9Fve9Ff0dmeaabaqaciaacaGaaeqa baqabeGadaaakeaaqaaaaaaaaaWdbiaadYeacqGHiiIZcaWGnbWdam aaDaaaleaapeGaamyBaiaad6gaa8aabaWdbiaadUgaaaaaaa@3792@ , - множество правильных подматриц в матрице L  MathType@MTEF@5@5@+= feaahGart1ev3aqatCvAUfeBSjuyZL2yd9gzLbvyNv2Caerbov2D09 MBdbqedmvETj2BSbqeeuuDJXwAKbsr4rNCHbGeaGqik8fkY=xipgYl h9vqqj=hEeeu0xXdi9arFj0xirFj0dXdbba91qpK0=yr0RYxfr=Jbb f9q8aq0=yq=He9q8qqQ8frFve9Fve9Ff0dmeaabaqaciaacaGaaeqa baqabeGadaaakeaaqaaaaaaaaaWdbiaadYeacaa5Gcaaaa@3382@ ; ϕ k m, n MathType@MTEF@5@5@+= feaahGart1ev3aqatCvAUfeBSjuyZL2yd9gzLbvyNv2Caerbov2D09 MBdbqedmvETj2BSbqeeuuDJXwAKbsr4rNCHbGeaGqik8fkY=xipgYl h9vqqj=hEeeu0xXdi9arFj0xirFj0dXdbba91qpK0=yr0RYxfr=Jbb f9q8aq0=yq=He9q8qqQ8frFve9Fve9Ff0dmeaabaqaciaacaGaaeqa baqabeGadaaakeaaqaaaaaaaaaWdbiabew9aM9aadaWgaaWcbaWdbi aadUgaa8aabeaak8qadaqadaWdaeaapeGaamyBaiaacYcacaa5GcGa amOBaaGaayjkaiaawMcaaaaa@3A1A@  - интервал (0 , r k, m, n ) MathType@MTEF@5@5@+= feaahGart1ev3aqatCvAUfeBSjuyZL2yd9gzLbvyNv2Caerbov2D09 MBdbqedmvETj2BSbqeeuuDJXwAKbsr4rNCHbGeaGqik8fkY=xipgYl h9vqqj=hEeeu0xXdi9arFj0xirFj0dXdbba91qpK0=yr0RYxfr=Jbb f9q8aq0=yq=He9q8qqQ8frFve9Fve9Ff0dmeaabaqaciaacaGaaeqa baqabeGadaaakeaaqaaaaaaaaaWdbiaadkhadaqadaWdaeaapeGaam 4AaiaacYcacaa5GcGaamyBaiaacYcacaa5GcGaamOBaaGaayjkaiaa wMcaaiaacMcaaaa@3BB8@ , где r k, m, n = MathType@MTEF@5@5@+= feaahGart1ev3aqatCvAUfeBSjuyZL2yd9gzLbvyNv2Caerbov2D09 MBdbqedmvETj2BSbqeeuuDJXwAKbsr4rNCHbGeaGqik8fkY=xipgYl h9vqqj=hEeeu0xXdi9arFj0xirFj0dXdbba91qpK0=yr0RYxfr=Jbb f9q8aq0=yq=He9q8qqQ8frFve9Fve9Ff0dmeaabaqaciaacaGaaeqa baqabeGadaaakeaaqaaaaaaaaaWdbiaadkhadaqadaWdaeaapeGaam 4AaiaacYcacaa5GcGaamyBaiaacYcacaa5GcGaamOBaaGaayjkaiaa wMcaaiabg2da9aaa@3C11@  0.5logkmn - 0.5logklogkmn + logklogklogkn; b n ~ c n MathType@MTEF@5@5@+= feaahGart1ev3aqatCvAUfeBSjuyZL2yd9gzLbvyNv2Caerbov2D09 MBdbqedmvETj2BSbqeeuuDJXwAKbsr4rNCHbGeaGqik8fkY=xipgYl h9vqqj=hEeeu0xXdi9arFj0xirFj0dXdbba91qpK0=yr0RYxfr=Jbb f9q8aq0=yq=He9q8qqQ8frFve9Fve9Ff0dmeaabaqaciaacaGaaeqa baqabeGadaaakeaaqaaaaaaaaaWdbiaadkgapaWaaSbaaSqaa8qaca WGUbaapaqabaGcpeGaaiOFaiaadogapaWaaSbaaSqaa8qacaWGUbaa paqabaaaaa@36B0@ , n   MathType@MTEF@5@5@+= feaahGart1ev3aqatCvAUfeBSjuyZL2yd9gzLbvyNv2Caerbov2D09 MBdbqedmvETj2BSbqeeuuDJXwAKbsr4rNCHbGeaGqik8fkY=xipgYl h9vqqj=hEeeu0xXdi9arFj0xirFj0dXdbba91qpK0=yr0RYxfr=Jbb f9q8aq0=yq=He9q8qqQ8frFve9Fve9Ff0dmeaabaqaciaacaGaaeqa baqabeGadaaakeaaqaaaaaaaaaWdbiaad6gacaa5GcGaeyOKH4Qaaq oOaiabg6HiLcaa@3888@  означает, что li m n b n / c n =1 MathType@MTEF@5@5@+= feaahGart1ev3aqatCvAUfeBSjuyZL2yd9gzLbvyNv2Caerbov2D09 MBdbqedmvETj2BSbqeeuuDJXwAKbsr4rNCHbGeaGqik8fkY=xipgYl h9vqqj=hEeeu0xXdi9arFj0xirFj0dXdbba91qpK0=yr0RYxfr=Jbb f9q8aq0=yq=He9q8qqQ8frFve9Fve9Ff0dmeaabaqaciaacaGaaeqa baqabeGadaaakeaaqaaaaaaaaaWdbiaadYgacaWGPbGaamyBa8aada WgaaWcbaWdbiaad6gacqGHsgIRcqGHEisPa8aabeaak8qacaWGIbWd amaaBaaaleaapeGaamOBaaWdaeqaaOWdbiaac+cacaWGJbWdamaaBa aaleaapeGaamOBaaWdaeqaaOWdbiabg2da9iaaigdaaaa@3FD2@ .

Теорема. Если n α m k n MathType@MTEF@5@5@+= feaahGart1ev3aqatCvAUfeBSjuyZL2yd9gzLbvyNv2Caerbov2D09 MBdbqedmvETj2BSbqeeuuDJXwAKbsr4rNCHbGeaGqik8fkY=xipgYl h9vqqj=hEeeu0xXdi9arFj0xirFj0dXdbba91qpK0=yr0RYxfr=Jbb f9q8aq0=yq=He9q8qqQ8frFve9Fve9Ff0dmeaabaqaciaacaGaaeqa baqabeGadaaakeaaqaaaaaaaaaWdbiaad6gapaWaaWbaaSqabeaape GaeqySdegaaOGaeyizImQaamyBaiabgsMiJkaadUgapaWaaWbaaSqa beaapeGaamOBaaaaaaa@3A9E@ , α> 1  MathType@MTEF@5@5@+= feaahGart1ev3aqatCvAUfeBSjuyZL2yd9gzLbvyNv2Caerbov2D09 MBdbqedmvETj2BSbqeeuuDJXwAKbsr4rNCHbGeaGqik8fkY=xipgYl h9vqqj=hEeeu0xXdi9arFj0xirFj0dXdbba91qpK0=yr0RYxfr=Jbb f9q8aq0=yq=He9q8qqQ8frFve9Fve9Ff0dmeaabaqaciaacaGaaeqa baqabeGadaaakeaaqaaaaaaaaaWdbiabeg7aHjabg6da+iaaKdkaca aIXaGaaqoOaaaa@3799@ , то при  n   MathType@MTEF@5@5@+= feaahGart1ev3aqatCvAUfeBSjuyZL2yd9gzLbvyNv2Caerbov2D09 MBdbqedmvETj2BSbqeeuuDJXwAKbsr4rNCHbGeaGqik8fkY=xipgYl h9vqqj=hEeeu0xXdi9arFj0xirFj0dXdbba91qpK0=yr0RYxfr=Jbb f9q8aq0=yq=He9q8qqQ8frFve9Fve9Ff0dmeaabaqaciaacaGaaeqa baqabeGadaaakeaaqaaaaaaaaaWdbiaaKdkacaWGUbGaaqoOaiabgk ziUkaaKdkacqGHEisPaaa@3A0E@  для почти всех матриц L MathType@MTEF@5@5@+= feaahGart1ev3aqatCvAUfeBSjuyZL2yd9gzLbvyNv2Caerbov2D09 MBdbqedmvETj2BSbqeeuuDJXwAKbsr4rNCHbGeaGqik8fkY=xipgYl h9vqqj=hEeeu0xXdi9arFj0xirFj0dXdbba91qpK0=yr0RYxfr=Jbb f9q8aq0=yq=He9q8qqQ8frFve9Fve9Ff0dmeaabaqaciaacaGaaeqa baqabeGadaaakeaaqaaaaaaaaaWdbiaadYeaaaa@31FC@  из M mn k MathType@MTEF@5@5@+= feaahGart1ev3aqatCvAUfeBSjuyZL2yd9gzLbvyNv2Caerbov2D09 MBdbqedmvETj2BSbqeeuuDJXwAKbsr4rNCHbGeaGqik8fkY=xipgYl h9vqqj=hEeeu0xXdi9arFj0xirFj0dXdbba91qpK0=yr0RYxfr=Jbb f9q8aq0=yq=He9q8qqQ8frFve9Fve9Ff0dmeaabaqaciaacaGaaeqa baqabeGadaaakeaaqaaaaaaaaaWdbiaad2eapaWaa0baaSqaa8qaca WGTbGaamOBaaWdaeaapeGaam4Aaaaaaaa@353D@  справедливо

  S L    ~ r ϕ k m, n C n r C m r k r r 2 MathType@MTEF@5@5@+= feaahGart1ev3aqatCvAUfeBSjuyZL2yd9gzLbvyNv2Caerbov2D09 MBdbqedmvETj2BSbqeeuuDJXwAKbsr4rNCHbGeaGqik8fkY=xipgYl h9vqqj=hEeeu0xXdi9arFj0xirFj0dXdbba91qpK0=yr0RYxfr=Jbb f9q8aq0=yq=He9q8qqQ8frFve9Fve9Ff0dmeaabaqaciaacaGaaeqa baqabeGadaaakeaaqaaaaaaaaaWdbmaaemaapaqaa8qacaWGtbWaae Waa8aabaWdbiaadYeaaiaawIcacaGLPaaaaiaawEa7caGLiWoacaa5 GcGaaqoOaiaaKdkacaGG+bWaaybuaeqal8aabaWdbiaadkhacqGHii IZcqaHvpGzpaWaaSbaaWqaa8qacaWGRbaapaqabaWcpeWaaeWaa8aa baWdbiaad2gacaGGSaGaaqoOaiaad6gaaiaawIcacaGLPaaaaeqan8 aabaWdbiabggHiLdaakiaadoeapaWaa0baaSqaa8qacaWGUbaapaqa a8qacaWGYbaaaOGaam4qa8aadaqhaaWcbaWdbiaad2gaa8aabaWdbi aadkhaaaGccaWGRbWdamaaCaaaleqabaWdbiaadkhacqGHsislcaWG YbWdamaaCaaameqabaWdbiaaikdaaaaaaaaa@569D@ .

и порядки почти всех подматриц из S L MathType@MTEF@5@5@+= feaahGart1ev3aqatCvAUfeBSjuyZL2yd9gzLbvyNv2Caerbov2D09 MBdbqedmvETj2BSbqeeuuDJXwAKbsr4rNCHbGeaGqik8fkY=xipgYl h9vqqj=hEeeu0xXdi9arFj0xirFj0dXdbba91qpK0=yr0RYxfr=Jbb f9q8aq0=yq=He9q8qqQ8frFve9Fve9Ff0dmeaabaqaciaacaGaaeqa baqabeGadaaakeaaqaaaaaaaaaWdbiaadofadaqadaWdaeaapeGaam itaaGaayjkaiaawMcaaaaa@347C@  принадлежат интервалу ϕ k m, n MathType@MTEF@5@5@+= feaahGart1ev3aqatCvAUfeBSjuyZL2yd9gzLbvyNv2Caerbov2D09 MBdbqedmvETj2BSbqeeuuDJXwAKbsr4rNCHbGeaGqik8fkY=xipgYl h9vqqj=hEeeu0xXdi9arFj0xirFj0dXdbba91qpK0=yr0RYxfr=Jbb f9q8aq0=yq=He9q8qqQ8frFve9Fve9Ff0dmeaabaqaciaacaGaaeqa baqabeGadaaakeaaqaaaaaaaaaWdbiabew9aM9aadaWgaaWcbaWdbi aadUgaa8aabeaak8qadaqadaWdaeaapeGaamyBaiaacYcacaa5GcGa amOBaaGaayjkaiaawMcaaaaa@3A1A@ .

Доказательство теоремы аналогично доказательству теоремы 3 из [13], в которой при тех же ограничениях на m MathType@MTEF@5@5@+= feaahGart1ev3aqatCvAUfeBSjuyZL2yd9gzLbvyNv2Caerbov2D09 MBdbqedmvETj2BSbqeeuuDJXwAKbsr4rNCHbGeaGqik8fkY=xipgYl h9vqqj=hEeeu0xXdi9arFj0xirFj0dXdbba91qpK0=yr0RYxfr=Jbb f9q8aq0=yq=He9q8qqQ8frFve9Fve9Ff0dmeaabaqaciaacaGaaeqa baqabeGadaaakeaaqaaaaaaaaaWdbiaad2gaaaa@321D@  и n MathType@MTEF@5@5@+= feaahGart1ev3aqatCvAUfeBSjuyZL2yd9gzLbvyNv2Caerbov2D09 MBdbqedmvETj2BSbqeeuuDJXwAKbsr4rNCHbGeaGqik8fkY=xipgYl h9vqqj=hEeeu0xXdi9arFj0xirFj0dXdbba91qpK0=yr0RYxfr=Jbb f9q8aq0=yq=He9q8qqQ8frFve9Fve9Ff0dmeaabaqaciaacaGaaeqa baqabeGadaaakeaaqaaaaaaaaaWdbiaad6gaaaa@321E@  получена асимптотическая оценка типичного числа так называемых σ MathType@MTEF@5@5@+= feaahGart1ev3aqatCvAUfeBSjuyZL2yd9gzLbvyNv2Caerbov2D09 MBdbqedmvETj2BSbqeeuuDJXwAKbsr4rNCHbGeaGqik8fkY=xipgYl h9vqqj=hEeeu0xXdi9arFj0xirFj0dXdbba91qpK0=yr0RYxfr=Jbb f9q8aq0=yq=He9q8qqQ8frFve9Fve9Ff0dmeaabaqaciaacaGaaeqa baqabeGadaaakeaaqaaaaaaaaaWdbiabeo8aZbaa@32EE@  -подматриц матрицы L MathType@MTEF@5@5@+= feaahGart1ev3aqatCvAUfeBSjuyZL2yd9gzLbvyNv2Caerbov2D09 MBdbqedmvETj2BSbqeeuuDJXwAKbsr4rNCHbGeaGqik8fkY=xipgYl h9vqqj=hEeeu0xXdi9arFj0xirFj0dXdbba91qpK0=yr0RYxfr=Jbb f9q8aq0=yq=He9q8qqQ8frFve9Fve9Ff0dmeaabaqaciaacaGaaeqa baqabeGadaaakeaaqaaaaaaaaaWdbiaadYeaaaa@31FC@ , служащая верхней оценкой числа тупиковых покрытий для Z K MathType@MTEF@5@5@+= feaahGart1ev3aqatCvAUfeBSjuyZL2yd9gzLbvyNv2Caerbov2D09 MBdbqedmvETj2BSbqeeuuDJXwAKbsr4rNCHbGeaGqik8fkY=xipgYl h9vqqj=hEeeu0xXdi9arFj0xirFj0dXdbba91qpK0=yr0RYxfr=Jbb f9q8aq0=yq=He9q8qqQ8frFve9Fve9Ff0dmeaabaqaciaacaGaaeqa baqabeGadaaakeaaqaaaaaaaaaWdbiaadQfapaWaaSbaaSqaa8qaca WGlbaapaqabaaaaa@3334@  при условии, что   Z K =m MathType@MTEF@5@5@+= feaahGart1ev3aqatCvAUfeBSjuyZL2yd9gzLbvyNv2Caerbov2D09 MBdbqedmvETj2BSbqeeuuDJXwAKbsr4rNCHbGeaGqik8fkY=xipgYl h9vqqj=hEeeu0xXdi9arFj0xirFj0dXdbba91qpK0=yr0RYxfr=Jbb f9q8aq0=yq=He9q8qqQ8frFve9Fve9Ff0dmeaabaqaciaacaGaaeqa baqabeGadaaakeaaqaaaaaaaaaWdbmaaemaapaqaa8qacaa5GcGaam Owa8aadaWgaaWcbaWdbiaadUeaa8aabeaaaOWdbiaawEa7caGLiWoa cqGH9aqpcaWGTbaaaa@3A0D@ .

Приведенная в теореме оценка типичного порядка подматрицы из S L MathType@MTEF@5@5@+= feaahGart1ev3aqatCvAUfeBSjuyZL2yd9gzLbvyNv2Caerbov2D09 MBdbqedmvETj2BSbqeeuuDJXwAKbsr4rNCHbGeaGqik8fkY=xipgYl h9vqqj=hEeeu0xXdi9arFj0xirFj0dXdbba91qpK0=yr0RYxfr=Jbb f9q8aq0=yq=He9q8qqQ8frFve9Fve9Ff0dmeaabaqaciaacaGaaeqa baqabeGadaaakeaaqaaaaaaaaaWdbiaadofadaqadaWdaeaapeGaam itaaGaayjkaiaawMcaaaaa@347C@  косвенно свидетельствуют о том, что в случае, когда число прецедентов m 1 MathType@MTEF@5@5@+= feaahGart1ev3aqatCvAUfeBSjuyZL2yd9gzLbvyNv2Caerbov2D09 MBdbqedmvETj2BSbqeeuuDJXwAKbsr4rNCHbGeaGqik8fkY=xipgYl h9vqqj=hEeeu0xXdi9arFj0xirFj0dXdbba91qpK0=yr0RYxfr=Jbb f9q8aq0=yq=He9q8qqQ8frFve9Fve9Ff0dmeaabaqaciaacaGaaeqa baqabeGadaaakeaaqaaaaaaaaaWdbiaad2gapaWaaSbaaSqaa8qaca aIXaaapaqabaaaaa@3332@  класса K MathType@MTEF@5@5@+= feaahGart1ev3aqatCvAUfeBSjuyZL2yd9gzLbvyNv2Caerbov2D09 MBdbqedmvETj2BSbqeeuuDJXwAKbsr4rNCHbGeaGqik8fkY=xipgYl h9vqqj=hEeeu0xXdi9arFj0xirFj0dXdbba91qpK0=yr0RYxfr=Jbb f9q8aq0=yq=He9q8qqQ8frFve9Fve9Ff0dmeaabaqaciaacaGaaeqa baqabeGadaaakeaaqaaaaaaaaaWdbiaadUeaaaa@31FB@  существенно больше числа признаков n MathType@MTEF@5@5@+= feaahGart1ev3aqatCvAUfeBSjuyZL2yd9gzLbvyNv2Caerbov2D09 MBdbqedmvETj2BSbqeeuuDJXwAKbsr4rNCHbGeaGqik8fkY=xipgYl h9vqqj=hEeeu0xXdi9arFj0xirFj0dXdbba91qpK0=yr0RYxfr=Jbb f9q8aq0=yq=He9q8qqQ8frFve9Fve9Ff0dmeaabaqaciaacaGaaeqa baqabeGadaaakeaaqaaaaaaaaaWdbiaad6gaaaa@321E@ , типичный ранг правильного ЭК в U K MathType@MTEF@5@5@+= feaahGart1ev3aqatCvAUfeBSjuyZL2yd9gzLbvyNv2Caerbov2D09 MBdbqedmvETj2BSbqeeuuDJXwAKbsr4rNCHbGeaGqik8fkY=xipgYl h9vqqj=hEeeu0xXdi9arFj0xirFj0dXdbba91qpK0=yr0RYxfr=Jbb f9q8aq0=yq=He9q8qqQ8frFve9Fve9Ff0dmeaabaqaciaacaGaaeqa baqabeGadaaakeaaqaaaaaaaaaWdbiaadwfapaWaaSbaaSqaa8qaca WGlbaapaqabaaaaa@332F@  не превосходит r k,  m 1 , n MathType@MTEF@5@5@+= feaahGart1ev3aqatCvAUfeBSjuyZL2yd9gzLbvyNv2Caerbov2D09 MBdbqedmvETj2BSbqeeuuDJXwAKbsr4rNCHbGeaGqik8fkY=xipgYl h9vqqj=hEeeu0xXdi9arFj0xirFj0dXdbba91qpK0=yr0RYxfr=Jbb f9q8aq0=yq=He9q8qqQ8frFve9Fve9Ff0dmeaabaqaciaacaGaaeqa baqabeGadaaakeaaqaaaaaaaaaWdbiaadkhadaqadaWdaeaapeGaam 4AaiaacYcacaa5GcGaamyBa8aadaWgaaWcbaWdbiaaigdaa8aabeaa k8qacaGGSaGaaqoOaiaad6gaaiaawIcacaGLPaaaaaa@3C3A@ .

Замечание 1. В работе [14] получены асимптотические оценки типичного числа правильных ЭК в U K MathType@MTEF@5@5@+= feaahGart1ev3aqatCvAUfeBSjuyZL2yd9gzLbvyNv2Caerbov2D09 MBdbqedmvETj2BSbqeeuuDJXwAKbsr4rNCHbGeaGqik8fkY=xipgYl h9vqqj=hEeeu0xXdi9arFj0xirFj0dXdbba91qpK0=yr0RYxfr=Jbb f9q8aq0=yq=He9q8qqQ8frFve9Fve9Ff0dmeaabaqaciaacaGaaeqa baqabeGadaaakeaaqaaaaaaaaaWdbiaadwfapaWaaSbaaSqaa8qaca WGlbaapaqabaaaaa@332F@  для двух случаев: 1) m 1 a n k m 1 β    MathType@MTEF@5@5@+= feaahGart1ev3aqatCvAUfeBSjuyZL2yd9gzLbvyNv2Caerbov2D09 MBdbqedmvETj2BSbqeeuuDJXwAKbsr4rNCHbGeaGqik8fkY=xipgYl h9vqqj=hEeeu0xXdi9arFj0xirFj0dXdbba91qpK0=yr0RYxfr=Jbb f9q8aq0=yq=He9q8qqQ8frFve9Fve9Ff0dmeaabaqaciaacaGaaeqa baqabeGadaaakeaaqaaaaaaaaaWdbiaad2gapaWaaSbaaSqaa8qaca aIXaaapaqabaGcdaahaaWcbeqaa8qacaWGHbaaaOGaeyizImQaamOB aiabgsMiJkaadUgapaWaaWbaaSqabeaapeGaamyBa8aadaWgaaadba Wdbiaaigdaa8aabeaaaaGcdaahaaWcbeqaa8qacqaHYoGyaaGccaa5 GcGaaqoOaaaa@4108@ , a > 1 MathType@MTEF@5@5@+= feaahGart1ev3aqatCvAUfeBSjuyZL2yd9gzLbvyNv2Caerbov2D09 MBdbqedmvETj2BSbqeeuuDJXwAKbsr4rNCHbGeaGqik8fkY=xipgYl h9vqqj=hEeeu0xXdi9arFj0xirFj0dXdbba91qpK0=yr0RYxfr=Jbb f9q8aq0=yq=He9q8qqQ8frFve9Fve9Ff0dmeaabaqaciaacaGaaeqa baqabeGadaaakeaaqaaaaaaaaaWdbiaadggacaa5GcGaeyOpa4Jaaq oOaiaaigdaaaa@36E0@ , β<1 MathType@MTEF@5@5@+= feaahGart1ev3aqatCvAUfeBSjuyZL2yd9gzLbvyNv2Caerbov2D09 MBdbqedmvETj2BSbqeeuuDJXwAKbsr4rNCHbGeaGqik8fkY=xipgYl h9vqqj=hEeeu0xXdi9arFj0xirFj0dXdbba91qpK0=yr0RYxfr=Jbb f9q8aq0=yq=He9q8qqQ8frFve9Fve9Ff0dmeaabaqaciaacaGaaeqa baqabeGadaaakeaaqaaaaaaaaaWdbiabek7aIjabgYda8iaaigdaaa a@348B@ ; 2)  n m 1 k n β MathType@MTEF@5@5@+= feaahGart1ev3aqatCvAUfeBSjuyZL2yd9gzLbvyNv2Caerbov2D09 MBdbqedmvETj2BSbqeeuuDJXwAKbsr4rNCHbGeaGqik8fkY=xipgYl h9vqqj=hEeeu0xXdi9arFj0xirFj0dXdbba91qpK0=yr0RYxfr=Jbb f9q8aq0=yq=He9q8qqQ8frFve9Fve9Ff0dmeaabaqaciaacaGaaeqa baqabeGadaaakeaaqaaaaaaaaaWdbiaaKdkacaWGUbGaeyizImQaam yBa8aadaWgaaWcbaWdbiaaigdaa8aabeaak8qacqGHKjYOcaWGRbWd amaaCaaaleqabaWdbiaad6gapaWaaWbaaWqabeaapeGaeqOSdigaaa aaaaa@3D4C@ , β<1/2 MathType@MTEF@5@5@+= feaahGart1ev3aqatCvAUfeBSjuyZL2yd9gzLbvyNv2Caerbov2D09 MBdbqedmvETj2BSbqeeuuDJXwAKbsr4rNCHbGeaGqik8fkY=xipgYl h9vqqj=hEeeu0xXdi9arFj0xirFj0dXdbba91qpK0=yr0RYxfr=Jbb f9q8aq0=yq=He9q8qqQ8frFve9Fve9Ff0dmeaabaqaciaacaGaaeqa baqabeGadaaakeaaqaaaaaaaaaWdbiabek7aIjabgYda8iaaigdaca GGVaGaaGOmaaaa@35FA@ . Авторами показано, что типичный ранг правильного ЭК в U K MathType@MTEF@5@5@+= feaahGart1ev3aqatCvAUfeBSjuyZL2yd9gzLbvyNv2Caerbov2D09 MBdbqedmvETj2BSbqeeuuDJXwAKbsr4rNCHbGeaGqik8fkY=xipgYl h9vqqj=hEeeu0xXdi9arFj0xirFj0dXdbba91qpK0=yr0RYxfr=Jbb f9q8aq0=yq=He9q8qqQ8frFve9Fve9Ff0dmeaabaqaciaacaGaaeqa baqabeGadaaakeaaqaaaaaaaaaWdbiaadwfapaWaaSbaaSqaa8qaca WGlbaapaqabaaaaa@332F@  в случаях 1) и 2) соответственно принадлежит интервалу ϕ k m 1 , n MathType@MTEF@5@5@+= feaahGart1ev3aqatCvAUfeBSjuyZL2yd9gzLbvyNv2Caerbov2D09 MBdbqedmvETj2BSbqeeuuDJXwAKbsr4rNCHbGeaGqik8fkY=xipgYl h9vqqj=hEeeu0xXdi9arFj0xirFj0dXdbba91qpK0=yr0RYxfr=Jbb f9q8aq0=yq=He9q8qqQ8frFve9Fve9Ff0dmeaabaqaciaacaGaaeqa baqabeGadaaakeaaqaaaaaaaaaWdbiabew9aM9aadaWgaaWcbaWdbi aadUgaa8aabeaak8qadaqadaWdaeaapeGaamyBa8aadaWgaaWcbaWd biaaigdaa8aabeaak8qacaGGSaGaaqoOaiaad6gaaiaawIcacaGLPa aaaaa@3B49@  и не превосходит log k m 1 + log k log k m 1 MathType@MTEF@5@5@+= feaahGart1ev3aqatCvAUfeBSjuyZL2yd9gzLbvyNv2Caerbov2D09 MBdbqedmvETj2BSbqeeuuDJXwAKbsr4rNCHbGeaGqik8fkY=xipgYl h9vqqj=hEeeu0xXdi9arFj0xirFj0dXdbba91qpK0=yr0RYxfr=Jbb f9q8aq0=yq=He9q8qqQ8frFve9Fve9Ff0dmeaabaqaciaacaGaaeqa baqabeGadaaakeaaqaaaaaaaaaWdbiaabYgacaqGVbGaae4za8aada WgaaWcbaWdbiaadUgaa8aabeaak8qacaWGTbWdamaaBaaaleaapeGa aGymaaWdaeqaaOWdbiabgUcaRiaabYgacaqGVbGaae4za8aadaWgaa WcbaWdbiaadUgaa8aabeaak8qacaqGSbGaae4BaiaabEgapaWaaSba aSqaa8qacaWGRbaapaqabaGcpeGaamyBa8aadaWgaaWcbaWdbiaaig daa8aabeaaaaa@42C2@ .

3. Результаты экспериментов. Результаты счета на реальных целочисленных задачах приведены в таблице. Задачи взяты из репозитория UCI [archive.ics.uci.edu] и репозитория ВЦ ФИЦ ИУ РАН. Описанные выше алгоритмы А1, А2, А3 оценивались по качеству классификации и по времени обучения. Алгоритмы реализованы на языке программирования C++. В тестировании на качество классификации также участвовали такие известные алгоритмы, как случайный лес (RF) и логистическая регрессия (LR). Дополнительная настройка алгоритмов RF и LR не производилась.

 

Таблица 1.

m, n1, l

(p1, ... , p1)

Время, мс

Качество

A1

A2

A3

A1, A3

A2

RF

LR

144, 379, 2

(3, 3)

512.1

47.0

48.6

0.691

0.735

0.742

0.774

267, 566, 2

(3, 4)

289.2

18.3

18.4

0.560

0.570

0.545

0.578

957, 27, 2

(3, 3)

71.7

1.0

1.0

0.976

0.976

0.939

0.639

79, 160, 2

(2, 3)

238.4

140.0

150.0

0.614

0.623

0.542

0.553

3195, 73, 2

(4, 4)

5294.0

903.7

1061.9

0.903

0.974

0.988

0.956

1532, 284, 2

(5, 5)

2763106

59265

69387

0.960

0.971

0.960

0.922

2056, 83, 3

(4, 4, 4)

35471

8.3

9.4

0.641

0.770

0.905

0.790

3190, 287, 3

(5, 5, 5)

10487213

235045

315275

0.793

0.794

0.946

0.831

 

Результаты счета усреднялись по 10 случайным независимым разбиениям прецедентов, 80% которых использовалось для обучения моделей, а 20% — для оценки качества классификации. В каждом из разбиений распределение прецедентов по классам сохранялось неизменным.

В таблице последовательно указаны результаты счета для следующих задач: Манелис, Остеосаркома, Крестики-нолики (UCI), Инсульт, Шахматы (UCI), Молекулярная Биология 1 (UCI), Задача 5, Молекулярная Биология 2 (UCI). Для каждой задачи указаны число прецедентов m, число признаков n1 полученное после one-hot перекодировки, число классов l и ранг p i MathType@MTEF@5@5@+= feaahGart1ev3aqatCvAUfeBSjuyZL2yd9gzLbvyNv2Caerbov2D09 MBdbqedmvETj2BSbqeeuuDJXwAKbsr4rNCHbGeaGqik8fkY=xipgYl h9vqqj=hEeeu0xXdi9arFj0xirFj0dXdbba91qpK0=yr0RYxfr=Jbb f9q8aq0=yq=He9q8qqQ8frFve9Fve9Ff0dmeaabaqaciaacaGaaeqa baqabeGadaaakeaaqaaaaaaaaaWdbiaadchapaWaaSbaaSqaa8qaca WGPbaapaqabaaaaa@3368@ , i 1, 2, ,l  MathType@MTEF@5@5@+= feaahGart1ev3aqatCvAUfeBSjuyZL2yd9gzLbvyNv2Caerbov2D09 MBdbqedmvETj2BSbqeeuuDJXwAKbsr4rNCHbGeaGqik8fkY=xipgYl h9vqqj=hEeeu0xXdi9arFj0xirFj0dXdbba91qpK0=yr0RYxfr=Jbb f9q8aq0=yq=He9q8qqQ8frFve9Fve9Ff0dmeaabaqaciaacaGaaeqa baqabeGadaaakeaaqaaaaaaaaaWdbiaadMgacqGHiiIZdaGadaWdae aapeGaaGymaiaacYcacaa5GcGaaGOmaiaacYcacaa5GcGaeyOjGWRa aiilaiaadYgacaa5GcaacaGL7bGaayzFaaaaaa@4085@ , голосующих ЭК класса K i MathType@MTEF@5@5@+= feaahGart1ev3aqatCvAUfeBSjuyZL2yd9gzLbvyNv2Caerbov2D09 MBdbqedmvETj2BSbqeeuuDJXwAKbsr4rNCHbGeaGqik8fkY=xipgYl h9vqqj=hEeeu0xXdi9arFj0xirFj0dXdbba91qpK0=yr0RYxfr=Jbb f9q8aq0=yq=He9q8qqQ8frFve9Fve9Ff0dmeaabaqaciaacaGaaeqa baqabeGadaaakeaaqaaaaaaaaaWdbiaadUeapaWaaSbaaSqaa8qaca WGPbaapaqabaaaaa@3343@ . Время работы алгоритмов указано в миллисекундах. Функционалом качества выбрана сбалансированная точность классификации, вычисляемая по формуле

ψ= i=1 l q i /l , MathType@MTEF@5@5@+= feaahGart1ev3aqatCvAUfeBSjuyZL2yd9gzLbvyNv2Caerbov2D09 MBdbqedmvETj2BSbqeeuuDJXwAKbsr4rNCHbGeaGqik8fkY=xipgYl h9vqqj=hEeeu0xXdi9arFj0xirFj0dXdbba91qpK0=yr0RYxfr=Jbb f9q8aq0=yq=He9q8qqQ8frFve9Fve9Ff0dmeaabaqaciaacaGaaeqa baqabeGadaaakeaaqaaaaaaaaaWdbiabeI8a5jabg2da9maawahabe Wcpaqaa8qacaWGPbGaeyypa0JaaGymaaWdaeaapeGaamiBaaqdpaqa a8qacqGHris5aaGccaWGXbWdamaaBaaaleaapeGaamyAaaWdaeqaaO Wdbiaac+cacaWGSbGaaqoOaiaacYcaaaa@4082@

где q i MathType@MTEF@5@5@+= feaahGart1ev3aqatCvAUfeBSjuyZL2yd9gzLbvyNv2Caerbov2D09 MBdbqedmvETj2BSbqeeuuDJXwAKbsr4rNCHbGeaGqik8fkY=xipgYl h9vqqj=hEeeu0xXdi9arFj0xirFj0dXdbba91qpK0=yr0RYxfr=Jbb f9q8aq0=yq=He9q8qqQ8frFve9Fve9Ff0dmeaabaqaciaacaGaaeqa baqabeGadaaakeaaqaaaaaaaaaWdbiaadghapaWaaSbaaSqaa8qaca WGPbaapaqabaaaaa@3369@  — доля верно классифицированных объектов класса K i MathType@MTEF@5@5@+= feaahGart1ev3aqatCvAUfeBSjuyZL2yd9gzLbvyNv2Caerbov2D09 MBdbqedmvETj2BSbqeeuuDJXwAKbsr4rNCHbGeaGqik8fkY=xipgYl h9vqqj=hEeeu0xXdi9arFj0xirFj0dXdbba91qpK0=yr0RYxfr=Jbb f9q8aq0=yq=He9q8qqQ8frFve9Fve9Ff0dmeaabaqaciaacaGaaeqa baqabeGadaaakeaaqaaaaaaaaaWdbiaadUeapaWaaSbaaSqaa8qaca WGPbaapaqabaaaaa@3343@ . Данный функционал хорошо себя зарекомендовал при несбалансированных классах. В случае равномощных классов сбалансированная точность совпадает с долей верно классифицированных объектов.

Как видно из таблицы, модель A 2 MathType@MTEF@5@5@+= feaahGart1ev3aqatCvAUfeBSjuyZL2yd9gzLbvyNv2Caerbov2D09 MBdbqedmvETj2BSbqeeuuDJXwAKbsr4rNCHbGeaGqik8fkY=xipgYl h9vqqj=hEeeu0xXdi9arFj0xirFj0dXdbba91qpK0=yr0RYxfr=Jbb f9q8aq0=yq=He9q8qqQ8frFve9Fve9Ff0dmeaabaqaciaacaGaaeqa baqabeGadaaakeaaqaaaaaaaaaWdbiaadgeapaWaaSbaaSqaa8qaca aIYaaapaqabaaaaa@3307@  превосходит по качеству и времени работы модели A 1 MathType@MTEF@5@5@+= feaahGart1ev3aqatCvAUfeBSjuyZL2yd9gzLbvyNv2Caerbov2D09 MBdbqedmvETj2BSbqeeuuDJXwAKbsr4rNCHbGeaGqik8fkY=xipgYl h9vqqj=hEeeu0xXdi9arFj0xirFj0dXdbba91qpK0=yr0RYxfr=Jbb f9q8aq0=yq=He9q8qqQ8frFve9Fve9Ff0dmeaabaqaciaacaGaaeqa baqabeGadaaakeaaqaaaaaaaaaWdbiaadgeapaWaaSbaaSqaa8qaca aIXaaapaqabaaaaa@3306@  и A 3 MathType@MTEF@5@5@+= feaahGart1ev3aqatCvAUfeBSjuyZL2yd9gzLbvyNv2Caerbov2D09 MBdbqedmvETj2BSbqeeuuDJXwAKbsr4rNCHbGeaGqik8fkY=xipgYl h9vqqj=hEeeu0xXdi9arFj0xirFj0dXdbba91qpK0=yr0RYxfr=Jbb f9q8aq0=yq=He9q8qqQ8frFve9Fve9Ff0dmeaabaqaciaacaGaaeqa baqabeGadaaakeaaqaaaaaaaaaWdbiaadgeapaWaaSbaaSqaa8qaca aIZaaapaqabaaaaa@3308@  на всех рассмотренных данных, кроме задачи Крестики-нолики, и в среднем не уступает по качеству ни случайному лесу, ни логистической регрессии. На трех задачах (Крестики-нолики, Инсульт, Молекулярная Биология 1) модель A 2 MathType@MTEF@5@5@+= feaahGart1ev3aqatCvAUfeBSjuyZL2yd9gzLbvyNv2Caerbov2D09 MBdbqedmvETj2BSbqeeuuDJXwAKbsr4rNCHbGeaGqik8fkY=xipgYl h9vqqj=hEeeu0xXdi9arFj0xirFj0dXdbba91qpK0=yr0RYxfr=Jbb f9q8aq0=yq=He9q8qqQ8frFve9Fve9Ff0dmeaabaqaciaacaGaaeqa baqabeGadaaakeaaqaaaaaaaaaWdbiaadgeapaWaaSbaaSqaa8qaca aIYaaapaqabaaaaa@3307@  превосходит все модели.

Модель A 1 MathType@MTEF@5@5@+= feaahGart1ev3aqatCvAUfeBSjuyZL2yd9gzLbvyNv2Caerbov2D09 MBdbqedmvETj2BSbqeeuuDJXwAKbsr4rNCHbGeaGqik8fkY=xipgYl h9vqqj=hEeeu0xXdi9arFj0xirFj0dXdbba91qpK0=yr0RYxfr=Jbb f9q8aq0=yq=He9q8qqQ8frFve9Fve9Ff0dmeaabaqaciaacaGaaeqa baqabeGadaaakeaaqaaaaaaaaaWdbiaadgeapaWaaSbaaSqaa8qaca aIXaaapaqabaaaaa@3306@  работает существенно медленнее модели A 3 MathType@MTEF@5@5@+= feaahGart1ev3aqatCvAUfeBSjuyZL2yd9gzLbvyNv2Caerbov2D09 MBdbqedmvETj2BSbqeeuuDJXwAKbsr4rNCHbGeaGqik8fkY=xipgYl h9vqqj=hEeeu0xXdi9arFj0xirFj0dXdbba91qpK0=yr0RYxfr=Jbb f9q8aq0=yq=He9q8qqQ8frFve9Fve9Ff0dmeaabaqaciaacaGaaeqa baqabeGadaaakeaaqaaaaaaaaaWdbiaadgeapaWaaSbaaSqaa8qaca aIZaaapaqabaaaaa@3308@  при том, что оба алгоритма строят множество всех тупиковых p MathType@MTEF@5@5@+= feaahGart1ev3aqatCvAUfeBSjuyZL2yd9gzLbvyNv2Caerbov2D09 MBdbqedmvETj2BSbqeeuuDJXwAKbsr4rNCHbGeaGqik8fkY=xipgYl h9vqqj=hEeeu0xXdi9arFj0xirFj0dXdbba91qpK0=yr0RYxfr=Jbb f9q8aq0=yq=He9q8qqQ8frFve9Fve9Ff0dmeaabaqaciaacaGaaeqa baqabeGadaaakeaaqaaaaaaaaaWdbiaadchaaaa@3220@  -представительных ЭК ранга p MathType@MTEF@5@5@+= feaahGart1ev3aqatCvAUfeBSjuyZL2yd9gzLbvyNv2Caerbov2D09 MBdbqedmvETj2BSbqeeuuDJXwAKbsr4rNCHbGeaGqik8fkY=xipgYl h9vqqj=hEeeu0xXdi9arFj0xirFj0dXdbba91qpK0=yr0RYxfr=Jbb f9q8aq0=yq=He9q8qqQ8frFve9Fve9Ff0dmeaabaqaciaacaGaaeqa baqabeGadaaakeaaqaaaaaaaaaWdbiaadchaaaa@3220@ . Однако модель A 1 MathType@MTEF@5@5@+= feaahGart1ev3aqatCvAUfeBSjuyZL2yd9gzLbvyNv2Caerbov2D09 MBdbqedmvETj2BSbqeeuuDJXwAKbsr4rNCHbGeaGqik8fkY=xipgYl h9vqqj=hEeeu0xXdi9arFj0xirFj0dXdbba91qpK0=yr0RYxfr=Jbb f9q8aq0=yq=He9q8qqQ8frFve9Fve9Ff0dmeaabaqaciaacaGaaeqa baqabeGadaaakeaaqaaaaaaaaaWdbiaadgeapaWaaSbaaSqaa8qaca aIXaaapaqabaaaaa@3306@  на первом этапе обучения ищет тупиковые покрытия для Z K MathType@MTEF@5@5@+= feaahGart1ev3aqatCvAUfeBSjuyZL2yd9gzLbvyNv2Caerbov2D09 MBdbqedmvETj2BSbqeeuuDJXwAKbsr4rNCHbGeaGqik8fkY=xipgYl h9vqqj=hEeeu0xXdi9arFj0xirFj0dXdbba91qpK0=yr0RYxfr=Jbb f9q8aq0=yq=He9q8qqQ8frFve9Fve9Ff0dmeaabaqaciaacaGaaeqa baqabeGadaaakeaaqaaaaaaaaaWdbiaabQfapaWaaSbaaSqaa8qaca WGlbaapaqabaaaaa@3332@  ранга p MathType@MTEF@5@5@+= feaahGart1ev3aqatCvAUfeBSjuyZL2yd9gzLbvyNv2Caerbov2D09 MBdbqedmvETj2BSbqeeuuDJXwAKbsr4rNCHbGeaGqik8fkY=xipgYl h9vqqj=hEeeu0xXdi9arFj0xirFj0dXdbba91qpK0=yr0RYxfr=Jbb f9q8aq0=yq=He9q8qqQ8frFve9Fve9Ff0dmeaabaqaciaacaGaaeqa baqabeGadaaakeaaqaaaaaaaaaWdbiaadchaaaa@3220@ , а модель A 3 MathType@MTEF@5@5@+= feaahGart1ev3aqatCvAUfeBSjuyZL2yd9gzLbvyNv2Caerbov2D09 MBdbqedmvETj2BSbqeeuuDJXwAKbsr4rNCHbGeaGqik8fkY=xipgYl h9vqqj=hEeeu0xXdi9arFj0xirFj0dXdbba91qpK0=yr0RYxfr=Jbb f9q8aq0=yq=He9q8qqQ8frFve9Fve9Ff0dmeaabaqaciaacaGaaeqa baqabeGadaaakeaaqaaaaaaaaaWdbiaadgeapaWaaSbaaSqaa8qaca aIZaaapaqabaaaaa@3308@  перечисляет правильные ЭК ранга p MathType@MTEF@5@5@+= feaahGart1ev3aqatCvAUfeBSjuyZL2yd9gzLbvyNv2Caerbov2D09 MBdbqedmvETj2BSbqeeuuDJXwAKbsr4rNCHbGeaGqik8fkY=xipgYl h9vqqj=hEeeu0xXdi9arFj0xirFj0dXdbba91qpK0=yr0RYxfr=Jbb f9q8aq0=yq=He9q8qqQ8frFve9Fve9Ff0dmeaabaqaciaacaGaaeqa baqabeGadaaakeaaqaaaaaaaaaWdbiaadchaaaa@3220@  для U K MathType@MTEF@5@5@+= feaahGart1ev3aqatCvAUfeBSjuyZL2yd9gzLbvyNv2Caerbov2D09 MBdbqedmvETj2BSbqeeuuDJXwAKbsr4rNCHbGeaGqik8fkY=xipgYl h9vqqj=hEeeu0xXdi9arFj0xirFj0dXdbba91qpK0=yr0RYxfr=Jbb f9q8aq0=yq=He9q8qqQ8frFve9Fve9Ff0dmeaabaqaciaacaGaaeqa baqabeGadaaakeaaqaaaaaaaaaWdbiaadwfapaWaaSbaaSqaa8qaca WGlbaapaqabaaaaa@332F@ . Стоит отметить, что на шести задачах (Манелис, Остеосаркома, Крестики-нолики, Инсульт, Шахматы, Задача 5) модели A 2 MathType@MTEF@5@5@+= feaahGart1ev3aqatCvAUfeBSjuyZL2yd9gzLbvyNv2Caerbov2D09 MBdbqedmvETj2BSbqeeuuDJXwAKbsr4rNCHbGeaGqik8fkY=xipgYl h9vqqj=hEeeu0xXdi9arFj0xirFj0dXdbba91qpK0=yr0RYxfr=Jbb f9q8aq0=yq=He9q8qqQ8frFve9Fve9Ff0dmeaabaqaciaacaGaaeqa baqabeGadaaakeaaqaaaaaaaaaWdbiaadgeapaWaaSbaaSqaa8qaca aIYaaapaqabaaaaa@3307@  и A 3 MathType@MTEF@5@5@+= feaahGart1ev3aqatCvAUfeBSjuyZL2yd9gzLbvyNv2Caerbov2D09 MBdbqedmvETj2BSbqeeuuDJXwAKbsr4rNCHbGeaGqik8fkY=xipgYl h9vqqj=hEeeu0xXdi9arFj0xirFj0dXdbba91qpK0=yr0RYxfr=Jbb f9q8aq0=yq=He9q8qqQ8frFve9Fve9Ff0dmeaabaqaciaacaGaaeqa baqabeGadaaakeaaqaaaaaaaaaWdbiaadgeapaWaaSbaaSqaa8qaca aIZaaapaqabaaaaa@3308@  обучались менее чем за 1 с, что свидетельствует об их высокой вычислительной эффективности.

Замечание 2. В экспериментах ранг p i MathType@MTEF@5@5@+= feaahGart1ev3aqatCvAUfeBSjuyZL2yd9gzLbvyNv2Caerbov2D09 MBdbqedmvETj2BSbqeeuuDJXwAKbsr4rNCHbGeaGqik8fkY=xipgYl h9vqqj=hEeeu0xXdi9arFj0xirFj0dXdbba91qpK0=yr0RYxfr=Jbb f9q8aq0=yq=He9q8qqQ8frFve9Fve9Ff0dmeaabaqaciaacaGaaeqa baqabeGadaaakeaaqaaaaaaaaaWdbiaadchapaWaaSbaaSqaa8qaca WGPbaapaqabaaaaa@3368@ , i  1, 2, ,l  MathType@MTEF@5@5@+= feaahGart1ev3aqatCvAUfeBSjuyZL2yd9gzLbvyNv2Caerbov2D09 MBdbqedmvETj2BSbqeeuuDJXwAKbsr4rNCHbGeaGqik8fkY=xipgYl h9vqqj=hEeeu0xXdi9arFj0xirFj0dXdbba91qpK0=yr0RYxfr=Jbb f9q8aq0=yq=He9q8qqQ8frFve9Fve9Ff0dmeaabaqaciaacaGaaeqa baqabeGadaaakeaaqaaaaaaaaaWdbiaadMgacqGHiiIZdaGadaWdae aapeGaaqoOaiaaigdacaGGSaGaaqoOaiaaikdacaGGSaGaaqoOaiab gAci8kaacYcacaWGSbGaaqoOaaGaay5Eaiaaw2haaaaa@420B@ , голосующих ЭК класса K i MathType@MTEF@5@5@+= feaahGart1ev3aqatCvAUfeBSjuyZL2yd9gzLbvyNv2Caerbov2D09 MBdbqedmvETj2BSbqeeuuDJXwAKbsr4rNCHbGeaGqik8fkY=xipgYl h9vqqj=hEeeu0xXdi9arFj0xirFj0dXdbba91qpK0=yr0RYxfr=Jbb f9q8aq0=yq=He9q8qqQ8frFve9Fve9Ff0dmeaabaqaciaacaGaaeqa baqabeGadaaakeaaqaaaaaaaaaWdbiaadUeapaWaaSbaaSqaa8qaca WGPbaapaqabaaaaa@3343@  брался равным числу0.5log2min1  0.5log2log2min1  log2log2log2n1, где m i MathType@MTEF@5@5@+= feaahGart1ev3aqatCvAUfeBSjuyZL2yd9gzLbvyNv2Caerbov2D09 MBdbqedmvETj2BSbqeeuuDJXwAKbsr4rNCHbGeaGqik8fkY=xipgYl h9vqqj=hEeeu0xXdi9arFj0xirFj0dXdbba91qpK0=yr0RYxfr=Jbb f9q8aq0=yq=He9q8qqQ8frFve9Fve9Ff0dmeaabaqaciaacaGaaeqa baqabeGadaaakeaaqaaaaaaaaaWdbiaad2gapaWaaSbaaSqaa8qaca WGPbaapaqabaaaaa@3365@  - число прецедентов класса K i MathType@MTEF@5@5@+= feaahGart1ev3aqatCvAUfeBSjuyZL2yd9gzLbvyNv2Caerbov2D09 MBdbqedmvETj2BSbqeeuuDJXwAKbsr4rNCHbGeaGqik8fkY=xipgYl h9vqqj=hEeeu0xXdi9arFj0xirFj0dXdbba91qpK0=yr0RYxfr=Jbb f9q8aq0=yq=He9q8qqQ8frFve9Fve9Ff0dmeaabaqaciaacaGaaeqa baqabeGadaaakeaaqaaaaaaaaaWdbiaadUeapaWaaSbaaSqaa8qaca WGPbaapaqabaaaaa@3343@ . Обучение с таким рангом в среднем показывало лучшее качество по сравнению с обучением с другими значениями ранга p i MathType@MTEF@5@5@+= feaahGart1ev3aqatCvAUfeBSjuyZL2yd9gzLbvyNv2Caerbov2D09 MBdbqedmvETj2BSbqeeuuDJXwAKbsr4rNCHbGeaGqik8fkY=xipgYl h9vqqj=hEeeu0xXdi9arFj0xirFj0dXdbba91qpK0=yr0RYxfr=Jbb f9q8aq0=yq=He9q8qqQ8frFve9Fve9Ff0dmeaabaqaciaacaGaaeqa baqabeGadaaakeaaqaaaaaaaaaWdbiaadchapaWaaSbaaSqaa8qaca WGPbaapaqabaaaaa@3368@ , также принадлежащими интервалу ϕ 2 m i ,  n 1 MathType@MTEF@5@5@+= feaahGart1ev3aqatCvAUfeBSjuyZL2yd9gzLbvyNv2Caerbov2D09 MBdbqedmvETj2BSbqeeuuDJXwAKbsr4rNCHbGeaGqik8fkY=xipgYl h9vqqj=hEeeu0xXdi9arFj0xirFj0dXdbba91qpK0=yr0RYxfr=Jbb f9q8aq0=yq=He9q8qqQ8frFve9Fve9Ff0dmeaabaqaciaacaGaaeqa baqabeGadaaakeaaqaaaaaaaaaWdbiabew9aM9aadaWgaaWcbaWdbi aaikdaa8aabeaak8qadaqadaWdaeaapeGaamyBa8aadaWgaaWcbaWd biaadMgaa8aabeaak8qacaGGSaGaaqoOaiaad6gapaWaaSbaaSqaa8 qacaaIXaaapaqabaaak8qacaGLOaGaayzkaaaaaa@3C77@ .

На рис. 1, 2 приведено время обучения моделей A 1 MathType@MTEF@5@5@+= feaahGart1ev3aqatCvAUfeBSjuyZL2yd9gzLbvyNv2Caerbov2D09 MBdbqedmvETj2BSbqeeuuDJXwAKbsr4rNCHbGeaGqik8fkY=xipgYl h9vqqj=hEeeu0xXdi9arFj0xirFj0dXdbba91qpK0=yr0RYxfr=Jbb f9q8aq0=yq=He9q8qqQ8frFve9Fve9Ff0dmeaabaqaciaacaGaaeqa baqabeGadaaakeaaqaaaaaaaaaWdbiaadgeapaWaaSbaaSqaa8qaca aIXaaapaqabaaaaa@3306@  и A 2 MathType@MTEF@5@5@+= feaahGart1ev3aqatCvAUfeBSjuyZL2yd9gzLbvyNv2Caerbov2D09 MBdbqedmvETj2BSbqeeuuDJXwAKbsr4rNCHbGeaGqik8fkY=xipgYl h9vqqj=hEeeu0xXdi9arFj0xirFj0dXdbba91qpK0=yr0RYxfr=Jbb f9q8aq0=yq=He9q8qqQ8frFve9Fve9Ff0dmeaabaqaciaacaGaaeqa baqabeGadaaakeaaqaaaaaaaaaWdbiaadgeapaWaaSbaaSqaa8qaca aIYaaapaqabaaaaa@3307@  на случайных модельных данных из равномерного распределения при l=2 MathType@MTEF@5@5@+= feaahGart1ev3aqatCvAUfeBSjuyZL2yd9gzLbvyNv2Caerbov2D09 MBdbqedmvETj2BSbqeeuuDJXwAKbsr4rNCHbGeaGqik8fkY=xipgYl h9vqqj=hEeeu0xXdi9arFj0xirFj0dXdbba91qpK0=yr0RYxfr=Jbb f9q8aq0=yq=He9q8qqQ8frFve9Fve9Ff0dmeaabaqaciaacaGaaeqa baqabeGadaaakeaaqaaaaaaaaaWdbiaadYgacqGH9aqpcaaIYaaaaa@33DE@ , k=2 MathType@MTEF@5@5@+= feaahGart1ev3aqatCvAUfeBSjuyZL2yd9gzLbvyNv2Caerbov2D09 MBdbqedmvETj2BSbqeeuuDJXwAKbsr4rNCHbGeaGqik8fkY=xipgYl h9vqqj=hEeeu0xXdi9arFj0xirFj0dXdbba91qpK0=yr0RYxfr=Jbb f9q8aq0=yq=He9q8qqQ8frFve9Fve9Ff0dmeaabaqaciaacaGaaeqa baqabeGadaaakeaaqaaaaaaaaaWdbiaadUgacqGH9aqpcaaIYaaaaa@33DD@ , m 1 MathType@MTEF@5@5@+= feaahGart1ev3aqatCvAUfeBSjuyZL2yd9gzLbvyNv2Caerbov2D09 MBdbqedmvETj2BSbqeeuuDJXwAKbsr4rNCHbGeaGqik8fkY=xipgYl h9vqqj=hEeeu0xXdi9arFj0xirFj0dXdbba91qpK0=yr0RYxfr=Jbb f9q8aq0=yq=He9q8qqQ8frFve9Fve9Ff0dmeaabaqaciaacaGaaeqa baqabeGadaaakeaaqaaaaaaaaaWdbiaad2gapaWaaSbaaSqaa8qaca aIXaaapaqabaaaaa@3332@  - число прецедентов в каждом классе, n 1 MathType@MTEF@5@5@+= feaahGart1ev3aqatCvAUfeBSjuyZL2yd9gzLbvyNv2Caerbov2D09 MBdbqedmvETj2BSbqeeuuDJXwAKbsr4rNCHbGeaGqik8fkY=xipgYl h9vqqj=hEeeu0xXdi9arFj0xirFj0dXdbba91qpK0=yr0RYxfr=Jbb f9q8aq0=yq=He9q8qqQ8frFve9Fve9Ff0dmeaabaqaciaacaGaaeqa baqabeGadaaakeaaqaaaaaaaaaWdbiaad6gapaWaaSbaaSqaa8qaca aIXaaapaqabaaaaa@3333@  - число признаков. Результаты счета усреднены по 20 независимым запускам. Время работы алгоритмов указано в секундах. Время счета модели A 3 MathType@MTEF@5@5@+= feaahGart1ev3aqatCvAUfeBSjuyZL2yd9gzLbvyNv2Caerbov2D09 MBdbqedmvETj2BSbqeeuuDJXwAKbsr4rNCHbGeaGqik8fkY=xipgYl h9vqqj=hEeeu0xXdi9arFj0xirFj0dXdbba91qpK0=yr0RYxfr=Jbb f9q8aq0=yq=He9q8qqQ8frFve9Fve9Ff0dmeaabaqaciaacaGaaeqa baqabeGadaaakeaaqaaaaaaaaaWdbiaadgeapaWaaSbaaSqaa8qaca aIZaaapaqabaaaaa@3308@  не приводится на графиках, так как в рассматриваемых примерах оно практически совпадает с временем работы A 2 MathType@MTEF@5@5@+= feaahGart1ev3aqatCvAUfeBSjuyZL2yd9gzLbvyNv2Caerbov2D09 MBdbqedmvETj2BSbqeeuuDJXwAKbsr4rNCHbGeaGqik8fkY=xipgYl h9vqqj=hEeeu0xXdi9arFj0xirFj0dXdbba91qpK0=yr0RYxfr=Jbb f9q8aq0=yq=He9q8qqQ8frFve9Fve9Ff0dmeaabaqaciaacaGaaeqa baqabeGadaaakeaaqaaaaaaaaaWdbiaadgeapaWaaSbaaSqaa8qaca aIYaaapaqabaaaaa@3307@ .

 

Рис. 1. Зависимость времени обучения моделей A1 и A2 от числа признаков при m1=250

 

Рис. 2. Зависимость времени обучения моделей A1 и A2 от числа прецедентов при n1=100

 

На рис. 1 показан экспоненциальный рост временных затрат на этапе обучения классификаторов A 1 MathType@MTEF@5@5@+= feaahGart1ev3aqatCvAUfeBSjuyZL2yd9gzLbvyNv2Caerbov2D09 MBdbqedmvETj2BSbqeeuuDJXwAKbsr4rNCHbGeaGqik8fkY=xipgYl h9vqqj=hEeeu0xXdi9arFj0xirFj0dXdbba91qpK0=yr0RYxfr=Jbb f9q8aq0=yq=He9q8qqQ8frFve9Fve9Ff0dmeaabaqaciaacaGaaeqa baqabeGadaaakeaaqaaaaaaaaaWdbiaadgeapaWaaSbaaSqaa8qaca aIXaaapaqabaaaaa@3306@  и A 2 MathType@MTEF@5@5@+= feaahGart1ev3aqatCvAUfeBSjuyZL2yd9gzLbvyNv2Caerbov2D09 MBdbqedmvETj2BSbqeeuuDJXwAKbsr4rNCHbGeaGqik8fkY=xipgYl h9vqqj=hEeeu0xXdi9arFj0xirFj0dXdbba91qpK0=yr0RYxfr=Jbb f9q8aq0=yq=He9q8qqQ8frFve9Fve9Ff0dmeaabaqaciaacaGaaeqa baqabeGadaaakeaaqaaaaaaaaaWdbiaadgeapaWaaSbaaSqaa8qaca aIYaaapaqabaaaaa@3307@  при m 1 =250 MathType@MTEF@5@5@+= feaahGart1ev3aqatCvAUfeBSjuyZL2yd9gzLbvyNv2Caerbov2D09 MBdbqedmvETj2BSbqeeuuDJXwAKbsr4rNCHbGeaGqik8fkY=xipgYl h9vqqj=hEeeu0xXdi9arFj0xirFj0dXdbba91qpK0=yr0RYxfr=Jbb f9q8aq0=yq=He9q8qqQ8frFve9Fve9Ff0dmeaabaqaciaacaGaaeqa baqabeGadaaakeaaqaaaaaaaaaWdbiaad2gapaWaaSbaaSqaa8qaca aIXaaapaqabaGcpeGaeyypa0JaaGOmaiaaiwdacaaIWaaaaa@3687@  в зависимости от числа признаков n 1 MathType@MTEF@5@5@+= feaahGart1ev3aqatCvAUfeBSjuyZL2yd9gzLbvyNv2Caerbov2D09 MBdbqedmvETj2BSbqeeuuDJXwAKbsr4rNCHbGeaGqik8fkY=xipgYl h9vqqj=hEeeu0xXdi9arFj0xirFj0dXdbba91qpK0=yr0RYxfr=Jbb f9q8aq0=yq=He9q8qqQ8frFve9Fve9Ff0dmeaabaqaciaacaGaaeqa baqabeGadaaakeaaqaaaaaaaaaWdbiaad6gapaWaaSbaaSqaa8qaca aIXaaapaqabaaaaa@3333@ . Видно, что при относительно небольшом n 1 MathType@MTEF@5@5@+= feaahGart1ev3aqatCvAUfeBSjuyZL2yd9gzLbvyNv2Caerbov2D09 MBdbqedmvETj2BSbqeeuuDJXwAKbsr4rNCHbGeaGqik8fkY=xipgYl h9vqqj=hEeeu0xXdi9arFj0xirFj0dXdbba91qpK0=yr0RYxfr=Jbb f9q8aq0=yq=He9q8qqQ8frFve9Fve9Ff0dmeaabaqaciaacaGaaeqa baqabeGadaaakeaaqaaaaaaaaaWdbiaad6gapaWaaSbaaSqaa8qaca aIXaaapaqabaaaaa@3333@  разрыв во времени счета для А1 и А2 незначителен. При n 1 150 MathType@MTEF@5@5@+= feaahGart1ev3aqatCvAUfeBSjuyZL2yd9gzLbvyNv2Caerbov2D09 MBdbqedmvETj2BSbqeeuuDJXwAKbsr4rNCHbGeaGqik8fkY=xipgYl h9vqqj=hEeeu0xXdi9arFj0xirFj0dXdbba91qpK0=yr0RYxfr=Jbb f9q8aq0=yq=He9q8qqQ8frFve9Fve9Ff0dmeaabaqaciaacaGaaeqa baqabeGadaaakeaaqaaaaaaaaaWdbiaad6gapaWaaSbaaSqaa8qaca aIXaaapaqabaGcpeGaeyyzImRaaGymaiaaiwdacaaIWaaaaa@3747@  алгоритм А1 работает значительно медленнее алгоритма А2. Например, А1 обучается примерно в 1.3 раза медленнее А2 при n 1 =150 MathType@MTEF@5@5@+= feaahGart1ev3aqatCvAUfeBSjuyZL2yd9gzLbvyNv2Caerbov2D09 MBdbqedmvETj2BSbqeeuuDJXwAKbsr4rNCHbGeaGqik8fkY=xipgYl h9vqqj=hEeeu0xXdi9arFj0xirFj0dXdbba91qpK0=yr0RYxfr=Jbb f9q8aq0=yq=He9q8qqQ8frFve9Fve9Ff0dmeaabaqaciaacaGaaeqa baqabeGadaaakeaaqaaaaaaaaaWdbiaad6gapaWaaSbaaSqaa8qaca aIXaaapaqabaGcpeGaeyypa0JaaGymaiaaiwdacaaIWaaaaa@3687@ , а при n 1 =250 MathType@MTEF@5@5@+= feaahGart1ev3aqatCvAUfeBSjuyZL2yd9gzLbvyNv2Caerbov2D09 MBdbqedmvETj2BSbqeeuuDJXwAKbsr4rNCHbGeaGqik8fkY=xipgYl h9vqqj=hEeeu0xXdi9arFj0xirFj0dXdbba91qpK0=yr0RYxfr=Jbb f9q8aq0=yq=He9q8qqQ8frFve9Fve9Ff0dmeaabaqaciaacaGaaeqa baqabeGadaaakeaaqaaaaaaaaaWdbiaad6gapaWaaSbaaSqaa8qaca aIXaaapaqabaGcpeGaeyypa0JaaGOmaiaaiwdacaaIWaaaaa@3688@  - в 1.7 раз медленнее.

На рис. 2 продемонстрирован линейный рост временных затрат на этапе обучения классификаторов А1 и А2 при n 1 =100 MathType@MTEF@5@5@+= feaahGart1ev3aqatCvAUfeBSjuyZL2yd9gzLbvyNv2Caerbov2D09 MBdbqedmvETj2BSbqeeuuDJXwAKbsr4rNCHbGeaGqik8fkY=xipgYl h9vqqj=hEeeu0xXdi9arFj0xirFj0dXdbba91qpK0=yr0RYxfr=Jbb f9q8aq0=yq=He9q8qqQ8frFve9Fve9Ff0dmeaabaqaciaacaGaaeqa baqabeGadaaakeaaqaaaaaaaaaWdbiaad6gapaWaaSbaaSqaa8qaca aIXaaapaqabaGcpeGaeyypa0JaaGymaiaaicdacaaIWaaaaa@3682@  в зависимости от числа прецедентов m 1 MathType@MTEF@5@5@+= feaahGart1ev3aqatCvAUfeBSjuyZL2yd9gzLbvyNv2Caerbov2D09 MBdbqedmvETj2BSbqeeuuDJXwAKbsr4rNCHbGeaGqik8fkY=xipgYl h9vqqj=hEeeu0xXdi9arFj0xirFj0dXdbba91qpK0=yr0RYxfr=Jbb f9q8aq0=yq=He9q8qqQ8frFve9Fve9Ff0dmeaabaqaciaacaGaaeqa baqabeGadaaakeaaqaaaaaaaaaWdbiaad2gapaWaaSbaaSqaa8qaca aIXaaapaqabaaaaa@3332@ . Видно, что время работы А1 растет быстрее по сравнению с временем работы А2. Например, А1 обучается примерно в 1.2 раза медленнее А2 при m 1 =100 MathType@MTEF@5@5@+= feaahGart1ev3aqatCvAUfeBSjuyZL2yd9gzLbvyNv2Caerbov2D09 MBdbqedmvETj2BSbqeeuuDJXwAKbsr4rNCHbGeaGqik8fkY=xipgYl h9vqqj=hEeeu0xXdi9arFj0xirFj0dXdbba91qpK0=yr0RYxfr=Jbb f9q8aq0=yq=He9q8qqQ8frFve9Fve9Ff0dmeaabaqaciaacaGaaeqa baqabeGadaaakeaaqaaaaaaaaaWdbiaad2gapaWaaSbaaSqaa8qaca aIXaaapaqabaGcpeGaeyypa0JaaGymaiaaicdacaaIWaaaaa@3681@  и почти в 2 раз медленнее при m 1 =700 MathType@MTEF@5@5@+= feaahGart1ev3aqatCvAUfeBSjuyZL2yd9gzLbvyNv2Caerbov2D09 MBdbqedmvETj2BSbqeeuuDJXwAKbsr4rNCHbGeaGqik8fkY=xipgYl h9vqqj=hEeeu0xXdi9arFj0xirFj0dXdbba91qpK0=yr0RYxfr=Jbb f9q8aq0=yq=He9q8qqQ8frFve9Fve9Ff0dmeaabaqaciaacaGaaeqa baqabeGadaaakeaaqaaaaaaaaaWdbiaad2gapaWaaSbaaSqaa8qaca aIXaaapaqabaGcpeGaeyypa0JaaG4naiaaicdacaaIWaaaaa@3687@ .

Заключение. Исследованы актуальные вопросы снижения временных затрат, возникающие при логическом анализе данных в задачах классификации на основе прецедентов. Предложены новые модели корректного голосования, базирующиеся на поиске в описаниях прецедентов каждого класса правильных ЭК ранга p MathType@MTEF@5@5@+= feaahGart1ev3aqatCvAUfeBSjuyZL2yd9gzLbvyNv2Caerbov2D09 MBdbqedmvETj2BSbqeeuuDJXwAKbsr4rNCHbGeaGqik8fkY=xipgYl h9vqqj=hEeeu0xXdi9arFj0xirFj0dXdbba91qpK0=yr0RYxfr=Jbb f9q8aq0=yq=He9q8qqQ8frFve9Fve9Ff0dmeaabaqaciaacaGaaeqa baqabeGadaaakeaaqaaaaaaaaaWdbiaadchaaaa@3220@  ( p MathType@MTEF@5@5@+= feaahGart1ev3aqatCvAUfeBSjuyZL2yd9gzLbvyNv2Caerbov2D09 MBdbqedmvETj2BSbqeeuuDJXwAKbsr4rNCHbGeaGqik8fkY=xipgYl h9vqqj=hEeeu0xXdi9arFj0xirFj0dXdbba91qpK0=yr0RYxfr=Jbb f9q8aq0=yq=He9q8qqQ8frFve9Fve9Ff0dmeaabaqaciaacaGaaeqa baqabeGadaaakeaaqaaaaaaaaaWdbiaadchaaaa@3220@  - настраиваемый параметр модели). Разработан эффективный алгоритм для перечисления искомых правильных ЭК. Получена верхняя асимптотическая оценка типичного числа правильных ЭК для случая, когда число прецедентов существенно больше числа признаков. При этом указан типичный ранг правильного ЭК, который использован в экспериментах для выбора параметра p MathType@MTEF@5@5@+= feaahGart1ev3aqatCvAUfeBSjuyZL2yd9gzLbvyNv2Caerbov2D09 MBdbqedmvETj2BSbqeeuuDJXwAKbsr4rNCHbGeaGqik8fkY=xipgYl h9vqqj=hEeeu0xXdi9arFj0xirFj0dXdbba91qpK0=yr0RYxfr=Jbb f9q8aq0=yq=He9q8qqQ8frFve9Fve9Ff0dmeaabaqaciaacaGaaeqa baqabeGadaaakeaaqaaaaaaaaaWdbiaadchaaaa@3220@ . Теоретические выводы подтверждены результатами экспериментального исследования на реальных и случайных модельных данных. А именно показано, что время обучения модели A 1 MathType@MTEF@5@5@+= feaahGart1ev3aqatCvAUfeBSjuyZL2yd9gzLbvyNv2Caerbov2D09 MBdbqedmvETj2BSbqeeuuDJXwAKbsr4rNCHbGeaGqik8fkY=xipgYl h9vqqj=hEeeu0xXdi9arFj0xirFj0dXdbba91qpK0=yr0RYxfr=Jbb f9q8aq0=yq=He9q8qqQ8frFve9Fve9Ff0dmeaabaqaciaacaGaaeqa baqabeGadaaakeaaqaaaaaaaaaWdbiaadgeapaWaaSbaaSqaa8qaca aIXaaapaqabaaaaa@3306@ , базирующейся на решении задачи монотонной дуализации, растет быстрее времени обучения модели A 2 MathType@MTEF@5@5@+= feaahGart1ev3aqatCvAUfeBSjuyZL2yd9gzLbvyNv2Caerbov2D09 MBdbqedmvETj2BSbqeeuuDJXwAKbsr4rNCHbGeaGqik8fkY=xipgYl h9vqqj=hEeeu0xXdi9arFj0xirFj0dXdbba91qpK0=yr0RYxfr=Jbb f9q8aq0=yq=He9q8qqQ8frFve9Fve9Ff0dmeaabaqaciaacaGaaeqa baqabeGadaaakeaaqaaaaaaaaaWdbiaadgeapaWaaSbaaSqaa8qaca aIYaaapaqabaaaaa@3307@ , основанной поиске правильных ЭК.

×

About the authors

N. Dragunov

Federal Research Center «Computer Science and Control» of the Russian Academy of Sciences

Author for correspondence.
Email: nikitadragunovjob@gmail.com
Russian Federation, Moscow

E. Djukova

Federal Research Center «Computer Science and Control» of the Russian Academy of Sciences

Email: nikitadragunovjob@gmail.com
Russian Federation, Moscow

A. Djukova

Federal Research Center «Computer Science and Control» of the Russian Academy of Sciences

Email: nikitadragunovjob@gmail.com
Russian Federation, Moscow

References

  1. Crama Y., Hammer P.L., Ibaraki T. Cause-effect Relationships and Partially Defined Boolean Functions // Ann. Oper. Res. 1988. V. 16. Iss. 1. P. 299–325.
  2. Журавлёв Ю.И., Рязанов В.В., Сенько О.В. Распознавание. Математические методы. Программная система. Практические применения. М.: ФАЗИС, 2006. 159 с.
  3. Масич И.С. Метод оптимальных логических решающих правил для задач распознавания и прогнозирования // Системы управления и информационные технологии. 2019. Т. 75. № 1. С. 31–37.
  4. Бонгард М.М., Вайнцвайг М.Н., Губерман Ш.А., Извекова М.Л., Смирнов М.С. Использование обучающейся программы для выявления нефтеносных пластов // Геология и геофизика. 1966. № 6.
  5. Баскакова Л.В., Журавлёв Ю.И. Модель распознающих алгоритмов с представительными наборами и системами опорных множеств // ЖВМ и МФ. 1981. Т. 21. № 5. С. 1264–1275.
  6. Дюкова Е.В., Журавлёв Ю.И. Дискретный анализ признаковых описаний в задачах распознавания большой размерности // ЖВМ и МФ. 2000. Т. 40. №8. С. 1264–1278.
  7. Яблонский С.В., Чегис И.А. О тестах для электрических схем // УМН. 1955. Т. 10. Вып. 4(66). С. 182–184.
  8. Дюкова Е.В., Журавлёв Ю.И. Задача монотонной дуализации и ее обобщения: асимптотические оценки числа решений // ЖВМ и МФ. 2018. Т. 58. № 12. С. 2153–2168.
  9. Дюкова Е.В., Инякин С.А. Об асимптотически оптимальном построении тупиковых покрытий целочисленной матрицы // Математические вопросы кибернетики. 2008. № 17. С. 247–262.
  10. Дюкова Е.В., Прокофьев П.А. Об асимптотически оптимальных алгоритмах дуализации // ЖВМ и МФ. 2015. Т. 55. № 5. С. 895–910.
  11. Dragunov N., Djukova E., Djukova. А. Supervised Classification and Finding Frequent Elements in Data // 8th Intern. Conf. on Information Technology and Nanotechnology Proceedings. N.J.: IEEE, 2022. P. 5.
  12. Johnson D.S., Yannakakis M., Papadimitriou C.H. On Generating All Maximal Independent Sets // Information Processing Letters. 1988. V. 27. Iss. 3.
  13. Дюкова Е.В., Песков Н.В. Поиск информативных фрагментов описаний объектов в дискретных процедурах распознавания // ЖВМ и МФ. 2002. Т. 42. № 5. С. 741–753.
  14. Дюкова Е. В., Дюкова А. П. О числе решений некоторых специальных задач логического анализа целочисленных данных // Изв. РАН. ТиСУ. 2023. № 5. С. 57–66.

Supplementary files

Supplementary Files
Action
1. JATS XML
2. Formula

Download (56KB)
3. Fig. 1. Dependence of the training time of models on the number of features when

Download (145KB)
4. Fig. 2. Dependence of the training time of models on the number of precedents at

Download (115KB)

Copyright (c) 2024 Russian Academy of Sciences

Согласие на обработку персональных данных с помощью сервиса «Яндекс.Метрика»

1. Я (далее – «Пользователь» или «Субъект персональных данных»), осуществляя использование сайта https://journals.rcsi.science/ (далее – «Сайт»), подтверждая свою полную дееспособность даю согласие на обработку персональных данных с использованием средств автоматизации Оператору - федеральному государственному бюджетному учреждению «Российский центр научной информации» (РЦНИ), далее – «Оператор», расположенному по адресу: 119991, г. Москва, Ленинский просп., д.32А, со следующими условиями.

2. Категории обрабатываемых данных: файлы «cookies» (куки-файлы). Файлы «cookie» – это небольшой текстовый файл, который веб-сервер может хранить в браузере Пользователя. Данные файлы веб-сервер загружает на устройство Пользователя при посещении им Сайта. При каждом следующем посещении Пользователем Сайта «cookie» файлы отправляются на Сайт Оператора. Данные файлы позволяют Сайту распознавать устройство Пользователя. Содержимое такого файла может как относиться, так и не относиться к персональным данным, в зависимости от того, содержит ли такой файл персональные данные или содержит обезличенные технические данные.

3. Цель обработки персональных данных: анализ пользовательской активности с помощью сервиса «Яндекс.Метрика».

4. Категории субъектов персональных данных: все Пользователи Сайта, которые дали согласие на обработку файлов «cookie».

5. Способы обработки: сбор, запись, систематизация, накопление, хранение, уточнение (обновление, изменение), извлечение, использование, передача (доступ, предоставление), блокирование, удаление, уничтожение персональных данных.

6. Срок обработки и хранения: до получения от Субъекта персональных данных требования о прекращении обработки/отзыва согласия.

7. Способ отзыва: заявление об отзыве в письменном виде путём его направления на адрес электронной почты Оператора: info@rcsi.science или путем письменного обращения по юридическому адресу: 119991, г. Москва, Ленинский просп., д.32А

8. Субъект персональных данных вправе запретить своему оборудованию прием этих данных или ограничить прием этих данных. При отказе от получения таких данных или при ограничении приема данных некоторые функции Сайта могут работать некорректно. Субъект персональных данных обязуется сам настроить свое оборудование таким способом, чтобы оно обеспечивало адекватный его желаниям режим работы и уровень защиты данных файлов «cookie», Оператор не предоставляет технологических и правовых консультаций на темы подобного характера.

9. Порядок уничтожения персональных данных при достижении цели их обработки или при наступлении иных законных оснований определяется Оператором в соответствии с законодательством Российской Федерации.

10. Я согласен/согласна квалифицировать в качестве своей простой электронной подписи под настоящим Согласием и под Политикой обработки персональных данных выполнение мною следующего действия на сайте: https://journals.rcsi.science/ нажатие мною на интерфейсе с текстом: «Сайт использует сервис «Яндекс.Метрика» (который использует файлы «cookie») на элемент с текстом «Принять и продолжить».