Methods and Models of Project Resource Management under Uncertainty
- Авторлар: Kosorukov O.A.1, Lemtyuzhnikova D.V.2,3, Mishchenko A.V.4
-
Мекемелер:
- Moscow State University, 119991, Moscow, Russia
- Trapeznikov Institute of Control Sciences, Russian Academy of Sciences, 117997, Moscow, Russia
- Moscow Aviation Institute (National Research University), 125080, Moscow, Russia
- Leonov Technological University, 141074, Korolev, Moscow Oblast, Russia
- Шығарылым: № 3 (2023)
- Беттер: 38-56
- Бөлім: SYSTEM ANALYSIS AND OPERATIONS RESEARCH
- URL: https://bakhtiniada.ru/0002-3388/article/view/136865
- DOI: https://doi.org/10.31857/S0002338823020117
- EDN: https://elibrary.ru/JEPAKF
- ID: 136865
Дәйексөз келтіру
Толық мәтін
Аннотация
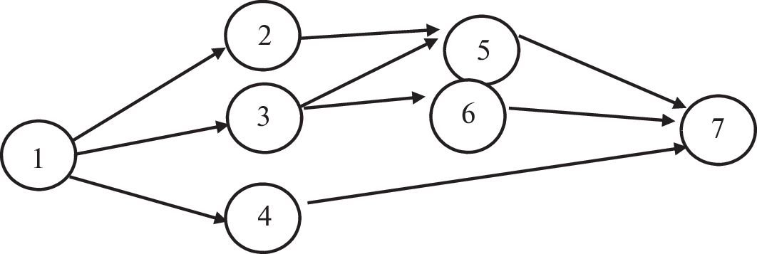
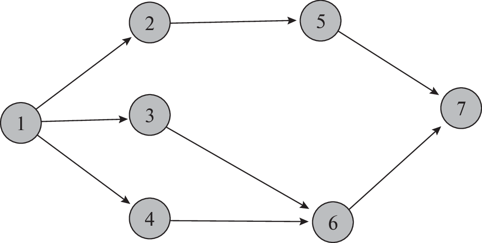
Methods for optimizing project schedules for the criterion of minimizing the weighted average time of their execution are considered. In the case when the durations of the jobs are given deterministically, an exact and approximate method for solving the problem of choosing the optimal schedule is proposed. If changes in the durations of the jobs are possible, an analytical tool for estimating the stability of the schedules is created both for the situation of interval setting of the durations of the jobs and for the situation of changes in the durations of the jobs under possible disturbances in the external environment. In the event that the durations of the jobs are given stochastically, a mechanism for evaluating the effectiveness of the schedule by two criteria is proposed, and a procedure for the quantitative assessment of the risk of the schedule is proposed.
Авторлар туралы
O. Kosorukov
Moscow State University, 119991, Moscow, Russia
Email: kosorukovoa@mail.ru
Россия, Москва
D. Lemtyuzhnikova
Trapeznikov Institute of Control Sciences, Russian Academy of Sciences, 117997, Moscow, Russia; Moscow Aviation Institute (National Research University), 125080, Moscow, Russia
Email: darabbt@gmail.com
Россия, Москва; Россия, Москва
A. Mishchenko
Leonov Technological University, 141074, Korolev, Moscow Oblast, Russia
Хат алмасуға жауапты Автор.
Email: alnex4957@rambler.ru
Россия, Моск. обл., Королев
Әдебиет тізімі
- Гэри М., Джонсон Д. Вычислительные машины и труднорешаемые задачи. М.: Мир, 1982.
- Мищенко А.В., Халиков М.А. Распределение ограниченных ресурсов в задаче оптимизации производственной деятельности предприятия // Изв. АН СССР. Техн. кибернетика. 1991. № 6.
- Мищенко А.В., Пилюгина А.В. Динамические модели управления научно-производственными системами // Вестн. МГТУ им. Баумана. Сер. Приборостроение. 2019. № 2.
- Мищенко А.В., Сушков Б.Г. Задача оптимального распределения ресурсов на сетевой модели при линейных ограничениях на время выполнения работ // ЖВМ и МФ. 1980. Т. 10. № 5.
- Мищенко А.В., Когаловский В.М. Проблемы устойчивости задач производственного планирования в машиностроении // Экономика и мат. методы. 1992. № 3.
- Мищенко А.В. Устойчивость решений в задаче перераспределения транспортных средств в случае экстренного закрытия движения на участке метрополитена // Изв. АН СССР. Техн. кибернетика. 1990. № 3.
- Мищенко А.В. Задача распределения транспортных средств по автобусным маршрутам при неточно заданной матрице корреспонденций пассажиропотока // Изв. АН СССР. Техн. кибернетика. 1992. № 2.
- Катюхина О.А., Мищенко А.В. Динамические модели управления транспортными ресурсами на примере организации работы автобусного парка // Аудит и финансовый анализ. 2016. № 2. С. 156–167.
- Косоруков Е.О., Фуругян М.Г. Некоторые алгоритмы распределения ресурсов в многопроцессорных системах // Вестн. МГУ. Сер. 15. Вычисл. математика и кибернетика. 2009. № 4. С. 34–37.
- Фуругян М.Г. Планирование вычислений в многопроцессорных АСУ реального времени с дополнительным ресурсом // АиТ. 2015. № 3.
- Косоруков Е.О., Фуругян М.Г. Алгоритмы распределения ресурсов в многопроцессорных системах с нефиксированными параметрами // Некоторые алгоритмы планирования вычислений и организации контроля в системах реального времени. М.: ВЦ РАН, 2011. С. 40–51.
- Mironov A.A., Tsurkov V.I. Transport-type Problems with a minimax Criterion // AиT. 1995. № 12. C. 109–118.
- Миронов А.А., Цурков В.И. Наследственно-минимаксные матрицы в моделях транспортного типа // Изв. РАН. ТиСУ. 1998. № 6. С. 104–121.
- Mironov A.A., Levkina T.A., Tsurkov V.I. Minimax Estimations of Expectates of Arc Weights in Integer Networks with Fixed Node Degrees // Applied and Computational Mathematics. 2009. T. 8. № 2. C. 216–226.
- Mironov A.A., Tsurkov V.I. Class of Distribution Problems with Minimax Criterion // Doklady Akademii Nauk. 1994. V. 336. № 1. P. 35–38.
- Tizik A.P., Tsurkov V.I. Iterative Functional Modification Method for Solving a Transportation Problem // Automation and Remote Control. 2012. V. 73. № 1. P. 134–143.
- Mironov A.A., Tsurkov V.I. Hereditarily Minimax Matrices in Models of Transportation Type // J. Computer and Systems Sciences International. 1998. V. 37. № 6. P. 927–944.
- Mironov A.A., Tsurkov V.I. Minimax in Transportation Models with Integral Constraints. 1 // J. Computer and Systems Sciences International. 2003. V. 42. № 4. P. 562–574.
Қосымша файлдар
















