Синтез гетероструктур AlGaInSbP/InP(100) из раствора-расплава методом зонной перекристаллизации градиентом температуры и их свойства
- Авторы: Лунин Л.С.1,2, Лунина М.Л.1,2, Донская А.В.2
-
Учреждения:
- Федеральный исследовательский центр Южный научный центр Российской академии наук
- Южно-Российский государственный политехнический университет (НПИ) им. М.И. Платова
- Выпуск: Том 60, № 8 (2024)
- Страницы: 963-973
- Раздел: Статьи
- URL: https://bakhtiniada.ru/0002-337X/article/view/290796
- DOI: https://doi.org/10.31857/S0002337X24080063
- EDN: https://elibrary.ru/LNRXNE
- ID: 290796
Цитировать
Полный текст
Аннотация
Методом зонной перекристаллизации градиентом температуры впервые синтезированы пятикомпонентные твердые растворы AlGaInSbP на подложке InP. Выполнен термодинамический анализ выращенных твердых растворов, определен состав, кристаллическое совершенство, а также измерены спектры фотолюминесценции. Термодинамический анализ твердых растворов AlxGayIn1–x–ySbzP1–z показал, что при 0.01 ≤ x ≤ 0.3, 0.0 ≤ y ≤ 1.0 и 0.0 ≤ z ≤ 0.6 они являются изопериодическими. В области составов 0.0 ≤ x ≤ 0.1, 0.0 ≤ y ≤ 1.0 и 0.2 ≤ z ≤ 0.7 твердый раствор склонен к спинодальному распаду. Методами линейной интерполяции рассчитаны параметры гетерофазных равновесий в системе AlxGayIn1–x–ySbzP1–z –InP в приближении регулярных растворов и выявлены области составов прямозонных (Г8→Г5) переходов при x = 0.1, 0.0 ≤ y ≤ 0.9, 0.0 ≤ z ≤ 1.0 и непрямозонных (Г8→X5) переходов при x = 0.1, 0.5 ≤ y ≤ 0.9, 0.0 ≤ z ≤ 0.7. Установлено, что в температурном интервале 773 ≤ T ≤ 973 K, градиентах температуры 10 ≤ G ≤ 80 K/см, толщине жидкой зоны 100 ≤ l ≤ 300 мкм эпитаксиальные слои AlGaInSbP имели шероховатость ~6 нм и высокое кристаллическое совершенство (BH/2 ≈10″).
Полный текст
ВВЕДЕНИЕ
Развитие электроники в значительной степени определяется достижениями технологии новых материалов. К новым перспективным материалам относятся, в частности, полупроводниковые гетероструктуры на основе многокомпонентных твердых растворов соединений АIIIВV [1–5]. Интерес к ним вызван возможностью формирования структурно совершенных гетеропереходов за счет одновременного согласования параметров решетки и коэффициентов термического расширения (КТР) сопрягающихся материалов, а также увеличением числа степеней свободы твердых растворов, что позволяет синтезировать элементную базу приборов оптоэлектроники с заданными свойствами [6–8].
Твердый раствор AlGaInSbP до настоящего момента не был получен ни одним из эпитаксиальных методов. Имеется упоминание о данном твердом растворе [9], но только как об одном из множества претендентов на активный слой солнечного элемента из соединений АIIIВV на кремниевой подложке. Твердый раствор AlGaInSbP может быть получен на основе четверного твердого раствора AlGaInSb [10–12] (путем добавления в него фосфора или из AlGaInAs замещением мышьяка фосфором и сурьмой), который может быть согласован по параметру решетки с подложкой InP [11].
Известно, что выращивание пленок методами молекулярно-лучевой эпитаксии и газофазной эпитаксии из металлоорганических соединений в случае трех и более элементов в составе сопровождается образованием капель на поверхности роста из элементов III или V групп [13, 14]. Поэтому синтез таких твердых растворов из жидкой фазы перспективен, в первую очередь в силу контролируемости термодинамического и морфологического состояния межфазных границ, а также концентрации безызлучательных центров рекомбинации, что существенно для многих оптоэлектронных приборов. Метод зонной перекристаллизации градиентом температуры (ЗПГТ) [15] является одной из модификаций метода жидкофазной эпитаксии и характеризуется малым пересыщением на фронте кристаллизации, высокой изотермичностью и низкими значениями концентрационного переохлаждения. ЗПГТ используется для получения светодиодов, термофотоэлектрических преобразователей и некоторых электронных устройств, где для достижения высоких токов и напряжений требуется выращивание толстых легированных слоев, что недостижимо в методах МЛЭ и МОСГФЭ [16]. В последние годы при получении полупроводников АIIIВV и наноструктур на их основе наблюдается тенденция к снижению температур роста, чтобы подавлять поверхностную диффузию активных компонентов и летучесть компонентов Ⅴ группы, что может обеспечить метод ЗПГТ. Результаты выращивания многих материалов AIIIBV методом ЗПГТ были обобщены в монографиях [17–20]. Увеличение количества элементов в твердом растворе приводит к сложностям при его выращивании и требует проведения термодинамического анализа для получения стабильных твердых растворов.
Цель настоящей работы заключалась в проведении расчетов методами линейной интерполяции параметров зонной структуры, анализе гетерофазных равновесий и областей спинодального распада в гетеросистеме AlxGayIn1–x–ySbzP1–z–InP; исследовании кинетических особенностей синтеза твердых растворов AlGaInSbP на подложках фосфида индия; изучении кристаллических и спектральных свойств гетероструктур AlxGayIn1–x–ySbzP1–z/InP(100).
РАСЧЕТ ПАРАМЕТРОВ ФАЗОВОГО РАВНОВЕСИЯ В ГЕТЕРОСИСТЕМЕ AlxGayIn1–x–ySbzP1–z–InP(100)
Расчеты периодов кристаллических решеток a(x, y, z), ширины запрещенной зоны Eg и условий изопериодического замещения для твердых растворов AlxGayIn1–x–ySbzP1–z проводили по формулам:
alayer = xzaAlSb + yzaGaSb +
+ (1 – x – y)zaInSb + x(1 – z)aAlP +
+ y(1 – z)aGaP + (1 – x – y)(1 – z)aInP,
a(T) = aAlSb XAlSb(1 + aAlSb∆T) +
+ aGaSb XGaSb(1 + aGaSb∆T) +
+ aInSb XInSb(1 + aInSb∆T) + aAlP XAlP(1 +
+ aAlP∆T) + aGaP XGaP(1 + aGaP∆T) +
+ aInP XInP(1 + aInP∆T),
Eg layer = xzEg AlSb + yzEg GaSb +
+ (1 – x – y)zEg InSb + x(1 – z)Eg AlP +
+ y(1 – z)Eg GaP + (1 – x – y)(1 – z)Eg InP –
– [xyzCAlGaSb + xy(1 – z)CAlGaP + y(1 – x –
– y)zCGaInSb + y(1 – x – y)(1 – z)CGaInP +
+ x(1 – x – y)zCAlInSb + x(1 – x – y)(1 –
– z)CAlInP + xz(1 – z)CAlSbP + yz(1 –
– z)CGaSbP + (1 – x – y)z(1 – z)CInSbP].
Состав изопериодного твердого раствора AlxGayIn1–x–ySbzP1–z определяли методом линейной интерполяции периодов решеток бинарных компонентов с использованием данных табл. 1. Ширину запрещенной зоны пятикомпонентного твердого раствора AlGaInSbP интерполировали по ширине запрещенной зоны двух четырехкомпонентных – AlGaInSb и AlGaInP – с замещением компонентов по изолинии металлической подрешетки с учетом нелинейного вклада от эффектов смещения.
Таблица 1. Данные, необходимые для расчета параметров пятикомпонентных твердых растворов соединений АIIIВV
Соединение | Период кристаллической решетки a, Å | КТР α, K–1 × 106 | Ширина запрещенной зоны | Соединение | Коэффициент квадратичной нелинейности | ||||
EgГ, эВ | EgX, эВ | EgL, эВ | СГ, эВ | СX, эВ | СL, эВ | ||||
AlP | 5.451 | 4.70 | 3.56 | 2.45 | 4.15 | AlGaP | – 0.04 | 0.01 | – 0.01 |
GaP | 5.440 | 5.81 | 2.78 | 2.26 | 2.67 | AlGaAs | 0.026 | 0.02 | 0.45 |
InP | 5.868 | 4.75 | 1.35 | 2.21 | 1.85 | AlGaSb | 0.17 | 0.21 | 0.27 |
AlAs | 5.662 | 5.20 | 2.90 | 2.16 | 2.39 | AlInP | – 0.48 | 0.57 | 0.89 |
GaAs | 5.641 | 6.86 | 1.43 | 1.86 | 1.73 | AlInAs | 0.24 | 0.45 | 0.65 |
InAs | 6.058 | 5.19 | 0.35 | 1.83 | 1.14 | AlInSb | 0.43 | 0.29 | 0.28 |
AlSb | 6.135 | 4.88 | 2.22 | 1.62 | 1.90 | GaInP | 0.758 | 0.15 | 0.68 |
GaSb | 6.094 | 6.70 | 0.72 | 1.03 | 0.81 | GaInAs | 0.60 | 0.15 | 0.50 |
InSb | 6.479 | 5.05 | 0.18 | 2.0 | 1.84 | GaInSb | 0.43 | 0.24 | 0.33 |
AlPAs | 0.22 | 0.21 | 0.35 | ||||||
AlPSb | 1.20 | 2.09 | 2.39 | ||||||
AlAsSb | 0.72 | 1.00 | 0.99 | ||||||
GaPAs | 0.21 | 0.21 | 0.25 | ||||||
GaPSb | 1.20 | 2.07 | 2.27 | ||||||
GaAsSb | 1.21 | 0.97 | 0.97 | ||||||
InPAs | 0.27 | 0.27 | 0.26 | ||||||
InPSb | 1.20 | 1.51 | 1.60 | ||||||
InAsSb | 0.596 | 0.60 | 0.55 | ||||||
На рис. 1 представлены расчетные изопериодические линии для AlxGayIn1–x–ySbzP1–z/InP(100). Общей тенденцией является их смещение в сторону больших z с увеличением концентрации Al в твердом растворе.
Рис. 1. Концентрационные зависимости AlxGayIn1–x–y SbzP1–z/InP(100) изопериодических линий (пунктиром обозначены области составов, подверженных распаду; цифры – содержание алюминия в твердом растворе).
При определении ширины запрещенной зоны AlxGayIn1–x–ySbzP1–z проводились расчеты для трех основных энергетических зазоров, а именно: между потолком валентной зоны и тремя минимумами (Г5, X6, L5) зоны проводимости. Величина Eg приравнивается к наименьшему зазору, причем прямозонные составы соответствуют случаю, когда минимальным является зазор между потолком валентной зоны Г8 и минимумом зоны проводимости Г5, а непрямозонные — между потолком валентной зоны Г8 и минимумами зоны проводимости X6, L5.
На рис. 2 приведены зависимости ширины запрещенной зоны (Eg) от состава твердого раствора AlxGayIn1–x–ySbzP1–z. Общая тенденция – рост Eg при повышении концентрации алюминия. Причем с увеличением до определенного значения y при фиксированном x наблюдается нелинейное возрастание Eg, а затем ширина запрещенной зоны становится постоянной величиной. С увеличением x точка перелома на зависимости Eg(x) смещается в сторону меньших значений y. Черными треугольниками на рис. 2 обозначены результаты измерения ширины запрещенной зоны твердого раствора AlxGayIn1–x–ySbzP1–z для фиксированных значений x = 0.1 и z = 0.2.
Рис. 2. Концентрационные зависимости ширины запрещенной зоны Eg(x, y, z) гетероструктуры AlxGayIn1–x–y SbzP1–z/InP(100) (пунктиром обозначены области составов, подверженных распаду; цифры – содержание Al (x), z = 0.2, ▲ – экспериментальные данные).
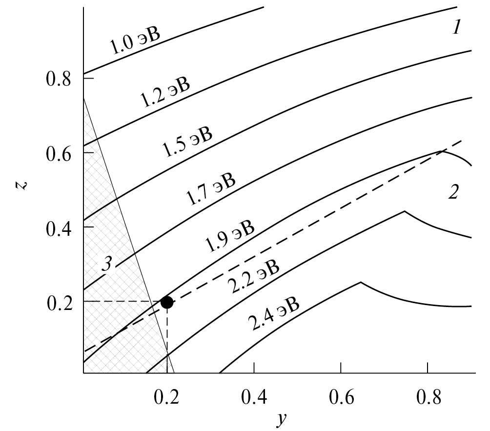
На рис. 3 представлены области составов межзонных переходов Г8→Г5 и Г8→X5 в пятикомпонентной гетероструктуре Al0.1GayIn0.9–y SbzP1–z/InP(100). Следует отметить, что в данном твердом растворе большая область составов (область 1) соответствует прямозонным переходам, что важно для фотоприемников с малым временем срабатывания. Также наличие области непрямых переходов (область 2) указывает на то, что твердый раствор AlGaInSbP применим для создания гетеролазеров, т.к. в области Г8→X5 образовывается несколько дополнительных инверсионных уровней. Изопериодические линии попадают в прямозонную область. Существует множество составов (область 3), где твердый раствор Al0.1GayIn0.9–ySbzP1–z согласован не только по периоду решетки, но и по КТР, что дает возможность получать совершенные гетероструктуры для быстродействующих фотоприемников.
Рис. 3. Области составов прямозонных Г–Г (1) и непрямозонных Г–X (2) переходов в твердых растворах Al0.1GayIn0.9–ySbzP1–z; область составов (3) соответствует твердым растворам, согласованным по КТР (δα ≤ 5%).
На рис. 4 представлены области спинодального распада при T = 793 K для твердого раствора AlGaInSbP без учета возможного влияния напряжений на границе слой/подложка. Видно, что с ростом концентрации алюминия в твердом растворе область спинодального распада увеличивается. Однако, как показали расчеты, напряжения на гетерогранице δα ≈ 0.1% сокращают область спинодального распада (рис. 4, заштрихованная область).
Рис. 4. Области спинодального распада твердых растворов AlxGayIn1–x–ySbzP1–z (цифры указывают концентрацию алюминия (x); заштрихованная часть соответствует области спинодального распада твердого раствора при рассогласовании по КТР δα ≈ 0.1%).
В табл. 2 представлены результаты расчета фазового равновесия в гетеросистеме AlxGayIn1–x–ySbzP1–z–InP(100). Анализ фазового равновесия выявил одну характерную особенность рассматриваемой пятикомпонентной системы: при x ≥ 0.3 появляется зона несмешиваемости, где система уравнений фазового равновесия не существует.
Таблица 2. Фазовое равновесие в гетеросистеме AlxGayIn1–x–ySbzP1–z/InP(100) (при x = 0.1)
y | z | Эксперимент | Расчет | ||||
XGa | XP | XSb | XGa | XP | XSb | ||
0.05 | 0.25 | 0.12 | 0.48 | 3.70 | 0.10 | 0.50 | 2.80 |
0.10 | 0.30 | 0.20 | 0.44 | 3.85 | 0.24 | 0.47 | 3.40 |
0.15 | 0.35 | 0.28 | 0.42 | 3.91 | 0.30 | 0.45 | 3.80 |
0.20 | 0.40 | 0.32 | 0.38 | 4.12 | 0.37 | 0.37 | 4.40 |
0.25 | 0.45 | 0.45 | 0.32 | 4.36 | 0.46 | 0.30 | 4.60 |
0.30 | 0.50 | 0.55 | 0.28 | 5.20 | 0.56 | 0.28 | 4.66 |
0.35 | 0.55 | 0.68 | 0.24 | 5.40 | 0.65 | 0.22 | 4.72 |
0.40 | 0.60 | 0.70 | 0.20 | 5.56 | 0.78 | 0.18 | 5.12 |
0.45 | 0.65 | 0.72 | 0.18 | 5.60 | 0.80 | 0.16 | 5.44 |
ЭКСПЕРИМЕНТАЛЬНАЯ ЧАСТЬ
Синтез эпитаксиальных слоев для гетероструктур AlxGayIn1–x–ySbzP1–z/InP(100) осуществляли методом ЗПГТ при следующих технологических параметрах: температурный интервал 773 ≤ T ≤ 973 K, градиент температуры 10 ≤ G ≤ 100 K/см, толщина жидкой зоны 25 ≤ l ≤ 550 мкм [17]. В качестве подложечного материала использовались монокристаллические пластины фосфида индия с ориентаций по плоскостям (100). Фосфид индия электронного типа был легирован оловом или теллуром с концентрацией 5 × 106 ≤ n ≤ 5 × 108 см–3. Пластины, предварительно отшлифованные и полированные до класса чистоты 14–20, подвергались химическому травлению HCl : HNO3 : H2O при температуре 343 K в течение 90 с. Толщина подложек после обработки составила 350–400 мкм. Далее пластины InP промывали в дистиллированной воде и обрабатывали в парах толуола для удаления остатков органических веществ.
В качестве жидкой зоны использовали раствор-расплав чистых компонентов In, Al, Ga, P, Sb толщиной 25.0–550 мкм. В качестве перекристаллизуемого источника использовали предварительно синтезированные поликристаллы InAlPSb необходимого состава. Методика синтеза поликристалла описана нами ранее [21].
Полученные “сэндвичи” InP(100) / (жидкая зона In–Al–Ga–P–Sb) / поликристалл InAlPSb подвергали перекристаллизации в поле температурного градиента. Печь позволяла изменять температуру от комнатной до 1223 K и градиент температуры в пределах 10 ≤ G ≤ 100 K/см. Камеру вначале откачивали до 10–3 Пa, а затем наполняли водородом до 0.5 Пa. Процесс ЗПГТ проводили в потоке водорода.
Выбор температурного режима осуществляли путем исследования температур ликвидуса фазовой диаграммы для каждого отдельного состава [20]. Кинетику синтеза изучали по методике, изложенной в работе [22].
Определение несоответствия параметров решеток подложки InP(100) и слоя твердого раствора AlxGayIn1–x–ySbzP1–z и оценка кристаллического совершенства гетероструктур осуществлялись методом регистрации рентгеновской дифракции (РД).
Составы полученных твердых растворов определяли рентгеноспектральным микроанализатором на растровом электронном микроскопе Camebax micro (фирма Cameca, Франция) при ускоряющем напряжении 20 кВ и токе первичного пучка 0.1–1.0 мкА. Погрешность измерений составляла ±0.01% для тяжелых элементов и ±0.1% для легких.
Оже-электронные спектры получены на спектрометре ЭСО-3 с электроанализатором типа “цилиндрическое зеркало” [23]. Энергетическое разрешение, измеренное по пику упруго-отраженных электронов, составляло 0.25%. Измерения проводили при ускоряющем напряжении электронной катушки 3 кВ и токе пучка 3 мкА, при этом диаметр пучка составлял 5 мкм. Давление остаточных газов в камере спектрометра при измерениях было 10–7 Па.
Определение несоответствия параметров решеток подложки и слоя, оценка структурного совершенства гетероструктур AlGaInSbP/InP(100) осуществлялись методом РД. Измерение кривых дифракционного отражения (КДО) рентгеновского излучения проводилось на высокоразрешающем рентгеновском дифрактометре Ultima I V Rigaku (Япония) относительно плоскости подложки с высокими индексами (400). Определялись и анализировались полуширины КДО от эпитаксиального слоя и подложки. Учитывались также форма дифракционных кривых, наличие или отсутствие интерференционных максимумов, несущих информацию о кристаллическом состоянии слоя.
Морфологию поверхности гетероструктур AlGaInSbP/InP(100) исследовали на сканирующем электронном микроскопе Quanta-200 (FEI Company, США) и атомно-силовом микроскопе (АСМ) Solver-HV (NT-MDT, Россия). Размер скана составлял 5 × 5 мкм. Обработка результатов АСМ проводилась в программном пакете Gwyddion путем измерения перепада высот рельефа поверхности “peak to peak” и оценки параметра среднеквадратичной шероховатости Sq по всей площади скана. Обработка АСМ-сканов включала стандартные операции: приведение к нулевому уровню, вычитание фона 3-го порядка, удаление царапин.
Измерения фотолюминесценции (ФЛ) проводили на экспериментальной установке. В качестве монохроматора использовался прибор МДР-204 (ООО “Ломо Фотоника”, Россия) со спектральным диапазоном 190–5000 нм, а детектором служил фотоэлектронный умножитель R928 (Hamammatsu, Япония) с чувствительностью в спектральном диапазоне 185–900 нм. Источником возбуждения ФЛ выступал инжекционный лазер на длину волны 402 нм. Измерения ФЛ проводились при температуре 300 K. Измеренные спектры подвергались математической обработке путем применения сглаживающего фильтра Голея 5-го порядка.
РЕЗУЛЬТАТЫ И ОБСУЖДЕНИЕ
Вначале было исследовано распределение элементов твердого раствора AlxGayIn1–x–y SbzP1–z по глубине эпитаксиального слоя (рис. 5). Видно, что содержание всех компонентов по толщине слоя изменяется. Характерной особенностью синтеза твердых растворов AlGaInSbP на подложках InP(100) является резкое убывание концентраций Al и P по толщине слоя, что связано с высокими коэффициентами активности алюминия (KAl > 50) и фосфора (KP > 80). Этот фактор затрудняет выращивание однородного по составу слоя [24]. Поэтому для получения слоя AlGaInSbP с постоянным составом по глубине мы использовали подпитку из поликристалла InAlPSb.
Рис. 5. Профиль распределения компонентов по глубине эпитаксиального слоя AlxGayIn1–x–ySbzP1–z, полученный оже-спектроскопией.
Скорость синтеза эпитаксиальных слоев твердого раствора AlGaInSbP на подложке InP(100) в процессе ЗПГТ зависит от температуры, ее градиента, состава и толщины жидкой зоны. Знание зависимостей скорости синтеза твердых растворов от технологических параметров процесса ЗПГТ позволяет выбрать необходимые толщины эпитаксиальных слоев. Экспериментальные зависимости υ(l, G, T) приведены на рис. 6. На кривых 1 и 2 четко выражены кинетическая (0 ≤ l ≤ 250 мкм) и диффузионная (l > 300 мкм) области. В промежутке между этими областями наблюдается смешанный режим синтеза эпитаксиальных слоев. Как и следовало ожидать, увеличение концентрации Al в жидкой фазе (Cж0) уменьшает скорость кристаллизации эпитаксиального слоя AlGaInSbP на подложке InP(100) (кривые 1 (Сж0 = 0.3 мол. доли) и 2 (Сж0 = 0.1 мол. доли)) при всех толщинах зон. Это связано с тем, что увеличение содержания Al в растворе-расплаве (Al–Ga–In–Sb–P) уменьшает его коэффициент диффузии, замедляет скорость растворения и кристаллизации твердой фазы в расплаве. Большее влияние на скорость кристаллизации (υ) сплавов AlGaInSbP на подложках InP при ЗПГТ оказывает градиент температуры процесса (рис. 6, кривая 3), чем температура (рис. 6, кривая 4).
Рис. 6. Зависимости скорости синтеза твердого раствора Al0.1Ga0.2In0.7Sb0.2P0.8 на подложке InP(100) от толщины зоны l при Сж0 = 0.3 (1) и 0.1 мол. доли (2), градиента температуры G (3) и температуры (4).
Далее были измерены полуширины КДО для гетероструктур Al0.1Ga0.2In0.7Sb0.2P0.8/InP(100), синтезированных при различных градиентах температуры (рис. 7a) и толщине жидкой зоны (рис. 7б). Показано, что кристаллическое совершенство гетероструктур ухудшается при увеличении G, ширина КДО на половине ее высоты достигает BH/2 ≥ 35″ (рис. 7а). Этот эффект обусловлен нарушением теплового и диффузионного равновесия на границе роста. Следует отметить, что кривые 2, 3 (рис. 7а) и 1–3 (рис. 7б) включают низкоинтенсивные пики при отрицательных угловых смещениях. Мы связываем их наличие с возможным частичным синодальным распадом.
Рис. 7. Типичные дифрактограммы гетероструктур Al0.1Ga0.2In0.7Sb0.2P0.8/InP(100) при различных параметрах процесса: а – T = 823 K, l = 200 мкм, G = 20 (1), 40 (2), 60 K/см (3); б – T = 823 K, G = 10 K/см, l = 20 (1), 200 (2), 350 мкм (3); в – зависимость BH/2(l).
Зависимости BH/2 от толщины жидкой зоны l (рис. 7в) показали, что для тонких зон (l < 100 мкм) наблюдается значительное ухудшение кристаллического состояния эпитаксиальных слоев AlGaInSbP, особенно при l < 50 мкм, что выражается в увеличении BH/2 и перепада высот рельефа слоя до 13 нм при Sq = 1.2 нм (рис. 7в, вставка 1). Это связано с тем, что в тонких слоях не происходит полного растворения микрочастиц при перекристаллизации источника. Для толщин жидкой зоны в диапазоне 100–300 мкм кристаллическое состояние слоев улучшается, что выражается в уменьшении BH/2 и перепада высот рельефа поверхности до 6 нм при Sq = 0.32 нм (рис. 7в, вставка 2). Однако увеличение l > 300 мкм приводит к одновременному росту G, вследствие чего нарушается стабильность фронта кристаллизации и BH/2 снова растет (рис. 7в).
Спектры ФЛ однородных по составу твердых растворов GaInP, GaInSbP и AlGaInSbP, синтезированных на подложках InP(100), полученные при 300 K, приведены на рис. 8. Основываясь на результатах РД (рис. 7), твердый раствор Al0.1Ga0.2In0.7Sb0.2P0.8/InP(100) выращивали при T = 823 K, l = 200 мкм, G = 20 K/см. Так как люминесценция при 300 K в основном обусловлена излучением, связанным с краем зоны (межзонные переходы), спектр ФЛ характеризуется одиночным пиком. Исследование показало, что с увеличением числа компонентов твердого раствора увеличивается интенсивность и уменьшается ширина полосы излучения на половине высоты пика, что определяет кристаллическое совершенство эпитаксиального слоя. В случае трехкомпонентных слоев GaInP дефектность определяется химическим составом или величиной ширины запрещенной зоны Eg, поскольку чем сильнее состав слоя отличается от состава подложки, тем больше разность параметров решеток на гетерогранице GaInP/InP(100) (рис. 8, кривая 1). В четверных системах наличие дополнительной химической степени свободы позволяет согласовывать параметры решеток на гетерогранице GaInSbP/InP(100) в большей степени, чем в тройных. В этом случае полуширина спектральной полосы ФЛ определяется рассогласованием по КТР слоя GaInSbP и подложки InP(100), поэтому спектр 2 ýже, чем 1 (рис. 8). Сравнение спектров ФЛ GaInP/InP(100) и GaInSbP/InP(100) показывает, что для четырехкомпонентных твердых растворов выше интенсивность, а ширина на половине максимума излучения уменьшается. В пятикомпонентных твердых растворах AlGaInSbP устраняется рассогласование и по КТР. В результате интенсивность полосы излучения спектра ФЛ увеличивается, а ее ширина на половине максимума уменьшается (рис. 8, кривая 3). Следовательно, с улучшением кристаллического совершенства слоев AlGaInSbP улучшаются их люминесцентные свойства.
Рис. 8. Спектры ФЛ гетероструктур Ga0.2In0.8P/InP(100) (1), Ga0.2In0.8Sb0.2P0.8/InP(100) (2), Al0.1Ga0.2In0.7Sb0.2P0.8/InP(100) (3).
ЗАКЛЮЧЕНИЕ
Выполнен термодинамический анализ гетерофазных равновесий на устойчивость к спинодальному распаду твердого раствора AlxGayIn1–x–ySbzP1–z. Определены изопериодные составы твердого раствора AlxGayIn1–x–ySbzP1–z к подложке InP(100) (0.01 ≤ x ≤ 0.3, 0.0 ≤ y ≤ 1.0, 0.0 ≤ z ≤ 0.6); области прямозонных (Г8→Г5: 0.0 ≤ y ≤ 0.9, 0.0 ≤ z ≤ 1.0 при x = 0.1) и непрямозонных (Г8→X5: 0.5 ≤ y ≤ 0.9, 0.0 ≤ z ≤ 0.7 при x = 0.1) переходов. Методами линейной интерполяции в приближении регулярных растворов рассчитаны интервалы ширины запрещенной зоны AlxGayIn1–x–ySbzP1–z в зависимости от состава. Показано, что при z = 0.2, 0.0 ≤ y ≤ 1.0, 0.01 ≤ x ≤ 0.4 ширина запрещенной зоны может изменяться в пределах 1.58 ≤ Eg ≤ 2.42 эВ.
По результатам анализа методом ЗПГТ впервые синтезированы гетероструктуры AlxGayIn1–x–ySbzP1–z/InP(100). Выполнено исследование кинетики ЗПГТ и определены интервалы скоростей в зависимости от параметров ЗПГТ: температуры роста 773 ≤ T ≤ 973 K – 0.0 ≤ υ ≤ 80 мкм/ч; градиента температуры 10 ≤ G ≤ 100 K/см – 20 ≤ υ ≤ 75 мкм/ч; толщины жидкой зоны 10 ≤ l ≤ 200 мкм – 5.0 ≤ υ ≤ 90 мкм/ч.
Методами РД и АСМ показано, что при 773 ≤ T ≤ 973 K, 10 ≤ G ≤ 80 K/см, 100 ≤ l ≤ 300 мкм эпитаксиальные слои AlGaInSbP обладают более совершенной кристаллической структурой и лучшей морфологией поверхности.
Исследования показали, что введение алюминия и частичная замена мышьяка и фосфора сурьмой позволяют в твердых растворах AlxGayIn1–x–ySbzP1–z, согласованных с подложкой InP, получить ширину запрещенной зоны более 2 эВ (у четырехкомпонентного твердого раствор GaInAsP – 0.75–1.42 эВ [11]). Результаты расчета ширины запрещенной зоны твердого раствора AlxGayIn1–x–ySbzP1–z и измерения спектров ФЛ выращенных гетероструктур AlxGayIn1–x–ySbzP1–z/InP(100) свидетельствуют о перспективе их использования в оптоэлектронных устройствах видимого диапазона.
ФИНАНСИРОВАНИЕ РАБОТЫ
Работа выполнена в рамках государственных заданий ФИЦ ЮНЦ РАН № 122020100254-3, а также в рамках инициативной НИР ЮРГПУ(НПИ) № ПЗ-392.
КОНФЛИКТ ИНТЕРЕСОВ
Авторы заявляют, что у них нет конфликта интересов.
Об авторах
Л. С. Лунин
Федеральный исследовательский центр Южный научный центр Российской академии наук; Южно-Российский государственный политехнический университет (НПИ) им. М.И. Платова
Автор, ответственный за переписку.
Email: lunin_ls@mail.ru
Россия, Чехова пр., 41, Ростов-на-Дону, 344006; ул. Просвещения, 132, Новочеркасск, 346428
М. Л. Лунина
Федеральный исследовательский центр Южный научный центр Российской академии наук; Южно-Российский государственный политехнический университет (НПИ) им. М.И. Платова
Email: lunin_ls@mail.ru
Россия, Чехова пр., 41, Ростов-на-Дону, 344006; ул. Просвещения, 132, Новочеркасск, 346428
А. В. Донская
Южно-Российский государственный политехнический университет (НПИ) им. М.И. Платова
Email: lunin_ls@mail.ru
Россия, ул. Просвещения, 132, Новочеркасск, 346428
Список литературы
- Jung B.O., Lee W., Kim J. Enhancement in External Quantum Efficiency of AlGaInP Red μ-LED Using Chemical Solution Treatment Process // Sci. Rep. 2021. V. 11. № 1. P. 1–9. https://doi.org/10.1038/s41598-021-83933-3
- Yadan X., Ruping L., Liang M., Dan L., Yankun Y., Guozhang D., Qiang W. Fabrication of GaInPSb Quaternary Alloy Nanowires and Its Room Temperature Electrical Properties // Appl. Phys. A. 2016. V. 123. № 1. P. 1–6. https://doi.org/10.1007/s00339-016-0590-x
- Нгуен Т.Д., Ким Д.О., Ли С.Д. Выращивание соединений InGaAsSb/GaSb для инфракрасных оптоэлектронных приборов // Конденсированные среды и межфазные границы. 2022. Т. 24. № 2. С. 250–255. https://doi.org/10.17308/kcmf.2022.24/9265
- Shoji Y., Oshima R., Makita K., Ubukata A., Sugaya T. 1.5 eV GaInAsP Solar Cells Grown Via Hydride Vapor‐Phase Epitaxy for Low‐Cost GaInP/GaInAsP/Si Triple‐Junction Structures // Adv. Energy Sustainability Res. 2023. V. 4. № 5. P. 2200198. https://doi.org/10.1002/aesr.202370010
- Бабичев А.В., Гладышев А.Г., Дюделев В.В., Карачинский Л.Я., Новиков И.И., Денисов Д.В., Слипченко С.О., Лютецкий А.В., Пихтин Н.А., Соколовский Г.С., Егоров А.Ю. Гетероструктуры квантово-каскадных лазеров спектрального диапазона 4.6 μm для реализации непрерывного режима генерации // ПЖТФ. 2020. Т. 46. № 9. С. 35–38. https://doi.org/10.21883/PJTF.2020.09.49371.18243
- Айдаралиев М., Зотова Н.В., Карандашев С.А., Матвеев Б.А., Ременный М.А., Стусь Н.М., Талалакин Г.Н., Шустов В.В., Кузнецов В.В., Когновицкая Е.А. Изопериодные структуры GaInPAsSb/InAs для приборов инфракрасной оптоэлектроники // ФТП. 2002. Т. 36. Вып. 8. С. 1010–1015.
- Шмидт Н.М., Шабунина Е.И., Черняков А.Е., Иванов А.Е., Тальнишних Н.А., Закгейм А.Л. Температурное падение эффективности мощных синих InGaN/GaN-светодиодов // ПЖТФ. 2020. Т. 46. № 24. С. 45–48. https://doi.org/10.21883/PJTF.2020.24.50429.18512
- Мармалюк А.А., Иванов А.В., Курносов В.Д., Курносов К.В., Ладугин М.А., Лобинцов А.В., Падалица А.А., Романцевич В.И., Рябоштан Ю.Л., Сапожников С.М., Светогоров В.Н., Симаков В.А. Полупроводниковые лазеры на основе AlGaInAs/InP с повышенным электронным барьером // Квантовая электроника. 2019. Т. 49. № 6. С. 519–521.
- Бугге Р., Мюрвогнес Й. Способ эпитаксиального выращивания границы раздела между материалами из III-V групп и кремниевой пластиной, обеспечивающий нейтрализацию остаточных деформаций: Патент РФ № 2696352C2. 2015.
- Svensson S.P., Mahadik N.A., Kipshidze G., Donetski D., Zhao J., Belenky G. Review of Virtual Substrate Technologies for 6.3 Ångström Lattice Constants // J. Vac. Sci. Technol., A. 2023. V. 41. № 4. P. 040802. https://doi.org/10.1116/6.0002715
- Vurgaftman I., Meyer J.R., Ram-Mohan L.R. Band Parameters for III–V Compound Semiconductors and Their Alloys // J. Appl. Phys. 2001. V. 89. № 11. P. 5815–5875. https://doi.org/10.1063/1.1368156
- Гусейнов Р.Р., Танрывердиев В.А., Kipshidze G., Алиева Е.Н., Алигулиева Х.В., Абдуллаев Н.А., Мамедов Н.Т. Гетероэпитаксиальные структуры InAs1−xSbx на градиентных буферных слоях GaInSb и AlGaInSb // ФТП. 2017. Т. 51. Вып. 4. C. 551–557. http://doi.org/10.21883/FTP.2017.04.44351.8401
- Ludewig P., Bushell Z.L., Nattermann L., Knaub N., Stolz W., Volz K. Growth of Ga(AsBi) on GaAs by Continuous Flow MOVPE // J. Cryst. Growth. 2014. V. 396. P. 95–99. http://dx.doi.org/10.1016/j.jcrysgro.2014.03.041
- Sterzer E., Knaub N., Ludewig P., Straubinger R., Beyer A., Volz K. Investigation of the Microstructure of Metallic Droplets on Ga(AsBi)/GaAs // J. Cryst. Growth. 2014. V. 408. P. 71–77. https://doi.org/10.1016/j.jcrysgro.2014.09.006
- Лозовский В.Н. Зонная плавка с градиентом температуры. М.: Металлургия, 1972. 240 с.
- Малышев С.А. Высокоскоростные фотодиоды на гетероструктурах на основе арсенида галлия и фосфида индия: Дис. … докт. физ-мат. наук. Минск: Ин-т физики им. Б.И. Степанова НАН Беларуси, 2010. 205 с.
- Лозовский В.Н., Лунин Л.С., Попов В.П. Зонная перекристаллизация градиентом температуры полупроводниковых материалов. М.: Металлургия, 1987. 232 с.
- Лозовский В.Н., Лунин Л.С. Пятикомпонентные твердые растворы соединений AIIIBV. Ростов-на-Дону: Изд-во Ростовского ун-та, 1992. 193 с.
- Лозовский В.Н., Лунин Л.С., Благин А.В. Градиентная жидкофазная кристаллизация многокомпонентных полупроводниковых материалов. Ростов-на-Дону: СКНЦ ВШ, 2003. 376 с.
- Кузнецов В.В., Лунин Л.С., Ратушный В.В. Гетероструктуры на основе четверных и пятерных твердых растворов соединений AIIIBV // Ростов-на-Дону: СКНЦ ВШ, 2003. 376 с.
- Алфимова Д.Л., Лунин Л.С., Лунина М.Л., Казакова А.Е., Пащенко А.С., Чеботарев. Синтез и свойства гетероструктур InxAlyIn1–x–y PzAs1–z/GaAs // Неорган. материалы. 2017. Т. 53. № 12. С. 1245–1256. https://doi.org/10.7868/S0002337X17120016
- Лунина М.Л., Лунин Л.С., Калинчук В.В., Казакова А.Е. Тонкопленочные гетероструктуры InxAlyGa1–x–yAszSb1–z/GaSb, выращенные в поле температурного градиента // ФТТ. 2018. Т. 60. № 5. С. 888–896. https://doi.org/10.21883/FTT.2018.05.45782.252
- Благин А.В., Валюхов Д.П., Лунин Л.С., Пигулев Р.В., Хабибулин И.М. Масс-спектрометрическое исследование гетероструктуры GaInPAsSb/GaSb // Неорган. материалы. 2008. Т. 44. № 8. С. 903–905.
- Лунин Л.С., Лунина М.Л., Алфимова Д.Л., Пащенко А.С., Яковенко Н.А., Пащенко О.С. Варизонные гетероструктуры AlxInyGa1–x–yPzAs1–z/ GaAs для фотоэлектрических преобразователей // ПЖТФ. 2021. Т. 47. № 20. С. 27–30. https://doi.org/10.21883/PJTF.2021.20.51610.18907
Дополнительные файлы










