Влияние состава на перенос заряда в монокристаллах твердых растворов (TlGaSe2)1–x(TlGaS2)x (0 ≤ x ≤ 1)
- 作者: Асадов С.М.1,2,3, Мустафаева С.Н.4
-
隶属关系:
- Научно-исследовательский институт “Геотехнологические проблемы нефти, газа и химия” Министерства науки и образования Азербайджана
- Азербайджанский государственный университет нефти и промышленности
- Институт катализа и неорганической химии им. М.Ф. Hагиева
- Институт физики Министерства науки и образования Азербайджана
- 期: 卷 60, 编号 7 (2024)
- 页面: 787-796
- 栏目: Articles
- URL: https://bakhtiniada.ru/0002-337X/article/view/288001
- DOI: https://doi.org/10.31857/S0002337X24070018
- EDN: https://elibrary.ru/LRGDHK
- ID: 288001
如何引用文章
全文:
详细
Синтезированы поликристаллы твердых растворов (TlGaSe2)1–x(TlGaS2)x (x = 0–1) и из них методом Бриджмена–Стокбаргера выращены монокристаллы. Изучены диэлектрические свойства приготовленных монокристаллических образцов твердых растворов в переменных электрических полях частотой f = 5×104–3.5×107 Гц. Установлены релаксационный характер комплексной диэлектрической проницаемости, природа диэлектрических потерь, а также прыжковый механизм переноса заряда в образцах (TlGaSe2)1–x(TlGaS2)x. Показано, что в образцах (TlGaSe2)1–x(TlGaS2)x с увеличением х проводимость, среднее расстояние и время прыжков носителей заряда по локализованным состояниям в запрещенной зоне уменьшаются, а энергетический разброс локализованных вблизи уровня Ферми состояний и их концентрация увеличиваются.
全文:
ВВЕДЕНИЕ
Монокристаллы TlGaS2 и TlGaSe2 имеют высокую фоточувствительность [1, 2], эффект памяти [3] и в них наблюдается последовательность структурных фазовых переходов [4]. Рентгенографическим методом были обнаружены различные модификации кристаллов TlGaSe2 [5]. Результаты низкотемпературных рентгенографических исследований монокристаллов TlGaS2 и TlGaSe2 приведены в работе [6].
Изучена дисперсия показателя преломления в кристаллах Tl1–xCuxGaSe2 (0 ≤ x ≤ 0.02) и Tl1–xCuxInS2 (0 ≤ x ≤ 0.015) методом интерференции [7]. В кристаллах, исследованных при длинах волн, превышающих соответствующие экситонные пики, имеются области аномальной дисперсии; предлагается объяснение этого явления. Изучена прыжковая проводимость монокристаллов TlGaS2 как на постоянном [8], так и на переменном токе [9].
Результаты изучения влияния γ-радиации [10] и электронного облучения [11] на проводимость и электрические характеристики монокристаллов TlGaS2 показали следующее. Ионизирующее излучение с ростом дозы приводит к значительному увеличению удельной электропроводности и уменьшению диэлектрической проницаемости TlGaS2 в области температур 80–320 К.
Таким образом, слоистые соединения типа TlGaХ2 (X – S, Se, Te) [1–11] и твердые растворы на их основе (TlGaSe2)1–x(TlGaS2)x [12, 13] перспективны для использования в качестве активных элементов полупроводниковых оптоэлектронных устройств видимого диапазона. Прямая и непрямая запрещенные зоны (Eg) TlGaSe2 составляют 2.08 и 1.93 эВ соответственно [14]. Для TlGaSe2 в работе [15] приведены следующие данные для Eg: 1.95 эВ для непрямой запрещенной зоны и 2.11 эВ для прямой запрещенной зоны. Eg соединения TlGaS2 при 10 К составляет 2.62 эВ [16], а оптическая непрямая и прямая запрещенные зоны – 2.45 и 2.63 эВ [17]. Кристаллы TlGaSe2 и TlGaS2 имеют слоистую структуру и характеризуются анизотропией физических свойств. Кристаллы TlGaSe2 и TlGaS2 могут быть изготовлены в виде двумерных (2D) слоистых структур благодаря слабым силам Ван-дер-Ваальса между соседними монослоями. TlGaSe2 и TlGaS2 являются полупроводниками p-типа. Измерения фотопроводимости и удельного электросопротивления показали наличие акцепторных состояний, например, для TlGaSe2 – это уровни с энергией 0.21–0.43 эВ выше валентной зоны. Эти акцепторные состояния относятся к структурным дефектам и примесям [15, 18]. Сопротивления TlGaSe2 при комнатной температуре анизотропны (ρ⊥ / ρ|| ≈ 105): значения удельного сопротивления вдоль плоскости ρ|| = 2.7–2 × 104 Ом × см [15, 18, 19], поперек плоскости ρ⊥ = 104–1010 Ом × см [15, 19, 20]. TlGaSe2 имеет следующие значения подвижности носителей тока: 23–99 см2/(В × с) для электронов [19] и 61–65 см2/(В × с) для дырок [15, 18, 19].
Получены слоистые легированные кристаллы как на основе TlGaS2 [21–35], так и на основе TlGaSe2 [36–40]. Регулируя в составе TlGaS2–TlGaSe2 соотношение S и Se, можно настроить постоянные решетки и ширину запрещенной зоны для создания оптоэлектронных устройств. Исследования кристаллов твердых растворов (TlGaSe2)1–x(TlGaS2)x показали, что они характеризуются заметным изменением физических свойств в зависимости от состава [12, 13] и интенсивным спектром фотолюминесценции в видимом диапазоне для всех составов.
Экспериментальные результаты показывают изменение физических характеристик образцов (TlGaSe2)1–x(TlGaS2)x при изменении их состава и толщины. Значения физических параметров твердых растворов (TlGaSe2)1–x(TlGaS2)x (ширины запрещенной зоны, проводимости, диэлектрической проницаемости) могут как уменьшаться, так и повышаться с увеличением концентрации Se.
Цель настоящей работы – изучение влияния состава полученных твердых растворов (TlGaSe2)1–x(TlGaS2)x (х = 0–1) на их диэлектрические характеристики и установление механизма переноса заряда в них в переменных электрических полях радиочастотного диапазона.
ЭКСПЕРИМЕНТАЛЬНАЯ ЧАСТЬ
Сначала по известной методике синтезировали TlGaS2 и TlGaSe2 [30–35, 38, 39]. В качестве исходных компонентов использовали: Tl (Тл00), Ga (Ga 5N), Se (ОСЧ 15-2), S (ОСЧ 16-5). Стехиометрические количества соответствующих элементов (компонентов) взвешивались и помещались в кварцевую ампулу для синтеза тройных соединений TlGaS2 и TlGaSe2. Поликристаллы TlGaS2 и TlGaSe2 получали сплавлением исходных компонентов в вакуумированных до 10–3 Па кварцевых ампулах в электропечи. Исходные компоненты в ампулах нагревали на 5 К выше температур плавлений (Tm) соединений TlGaS2 (Tm = 1170 ± 1 K) и TlGaSe2 (Tm = 1077 ± 1 K). Ампулы выдерживали 2 ч при этих Tm и затем температуру понижали до 1010 K и выдерживали в течение 5–7 ч. После этого ампулы с синтезированными веществами TlGaS2 и TlGaSe2 охлаждали до комнатной температуры в режиме выключенной печи. Завершенность синтеза образцов (TlGaSe2)1–x(TlGaS2)x, их гомогенность и индивидуальность контролировали методом дифференциального термического анализа с помощью анализатора STA 449 F3 Jupiter и методом рентгенофазового анализа. Рентгенограммы образцов были получены на дифрактометре типа D8-ADVANCE (CuKα-излучение).
Твердые растворы (TlGaSe2)1–x(TlGaS2)x (х = 0–1) синтезировали из взятых в стехиометрических соотношениях соединений TlGaS2 и TlGaSe2. Образцы заданных составов (TlGaSe2)1–x(TlGaS2)x навеской загружали в кварцевые ампулы, которые вакуумировали до 10–3 Па и запаивали. Синтез поликристаллических образцов твердых растворов (TlGaSe2)1–x(TlGaS2)x проводили в вышеуказанных условиях получения TlGaS2 и TlGaSe2.
Монокристаллы выращивали методом Бриджмена–Стокбаргера из полученных поликристаллов (TlGaSe2)1–x(TlGaS2)x. Стехиометрические количества (TlGaSe2)1–x (TlGaS2)x взвешивались и помещались в кварцевые ампулы для выращивания. Затем ампулы вакуумировали до давления 10–3 Па, герметизировали и помещали в вертикальную двухзонную (первая зона “горячая”, вторая – “холодная”) печь. Для выращивания чистых кристаллов TlGaS2 и TlGaSe2 температуры первой и второй зон печи устанавливались равными 1173, 1063 K для TlGaS2 и 1077, 1057 K для TlGaSе2 соответственно. В этих условиях проводили выращивание твердых растворов. Скорость перемещения ампулы с твердым раствором (TlGaSe2)1–x(TlGaS2)x в печи составляла 0.3–0.5 см/ч, а градиент температуры у фронта кристаллизации – 25 ± 2 К.
Диэлектрические коэффициенты образцов (TlGaSe2)1–x(TlGaS2)x (х = 0–1) измерены резонансным методом [30–33, 41]. Диапазон частот переменного электрического поля составлял 5 × 104–3.5 × 107 Гц.
Монокристаллические образцы (TlGaSe2)1–x(TlGaS2)x для электрических измерений были изготовлены в виде плоских конденсаторов. В качестве электродов к образцам использована серебряная паста. Диэлектрические свойства образцов измерены в направлении, перпендикулярном слоям кристаллов (TlGaSe2)1–x(TlGaS2)x. Толщина изученных образцов (TlGaSe2)1–x(TlGaS2)x составляла от 0.03 до 0.08 см. Все диэлектрические измерения проведены при 298 K. Воспроизводимость положения резонанса составляла по емкости ± 0.2 пФ, а по добротности (Q = 1 / tgδ) ± 1.0–1.5 деления шкалы. При этом наибольшие отклонения от средних значений составляли: 3–4% для ε и 7% для tgδ.
РЕЗУЛЬТАТЫ И ОБСУЖДЕНИЕ
Диэлектрические свойства и электропроводность выращенных монокристаллов твердых растворов (TlGaSe2)1–x(TlGaS2)x измеряли на переменном токе. Образцы (TlGaSe2)1–x(TlGaS2)x (0 ≤ x ≤ 1) в условиях эксперимента находились в параэлектрической фазе. Рентгенограммы образцов (TlGaSe2)1–x(TlGaS2)x при комнатной температуре показывают, что в системе образуется непрерывный ряд твердых растворов. Данные РФА исходных соединений TlGaS2 и TlGaSe2 согласуются с данными [19, 24, 39, 42]. В качестве примера на рис. 1 приведены рентгенограммы TlGaS2 и TlGaSe2. На основе рентгеновских данных мы определили параметры решетки (TlGaSe2)1–x(TlGaS2)x. Образцы имеют моноклинную сингонию (пр. гр. C/2c, Z = 16, № 15), параметры элементарной ячейки меняются в интервале от a = 10.299 Å, b = 10.284 Å, c = 15.175 Å, β = 99.603° для TlGaS2 до a = 15.623, b = 10.773, c = 10.744, β = 100.04° для TlGaSе2.
Рис. 1. Рентгенограммы соединений TlGaS2 (а) и TlGaSe2 (б) (Т = 298 К).
На рис. 2 приведены частотные зависимости действительной составляющей комплексной диэлектрической проницаемости (ε′) образцов (TlGaSe2)1–x(TlGaS2)x при х = 0, 0.4, 0.8 и 1.0. Видно, что во всем изученном диапазоне частот существенную дисперсию претерпевала ε′ монокристалла TlGaSe2 (рис. 2, кривая 1). С увеличением частоты в диапазоне 5 × 104–3.5 × 107 Гц значение ε′ TlGaSe2 уменьшалось в 4 раза. Такой ход зависимости ε′(f) свидетельствует о релаксационной дисперсии [43]. С увеличением х частотные зависимости ε′ ослабевали, и для TlGaS2 диэлектрическая проницаемость практически не зависела от частоты во всем изученном диапазоне частот (рис. 2, кривая 4). Из кривых 2 и 3 на рис. 2 видно, что диэлектрическая проницаемость образцов (TlGaSe2)1–x(TlGaS2)x сначала растет с ростом частоты, а затем уменьшается, проходя через минимум, и достигает высокочастотного значения. Такое поведение ε′ в зависимости от частоты характерно для резонансной дисперсии.
Рис. 2. Частотные зависимости действительной составляющей комплексной диэлектрической проницаемости кристаллов (TlGaSe2)1–x(TlGaS2)x при х = 0 (1), 0.4 (2), 0.8 (3) и 1.0 (4) (Т = 298 К).
Диэлектрическая проницаемость зависела также от состава кристаллов (TlGaSe2)1–x(TlGaS2)x. Ощутимо эта зависимость проявлялась при сравнительно низких частотах. На рис. 3 показана зависимость ε′ от состава твердых растворов (TlGaSe2)1–x (TlGaS2)x при f = 5 × 104 Гц. С увеличением х от 0 до 1 ε′ уменьшалась от 87.8 до 23.5. При высоких частотах зависимость ε′ от состава (TlGaSe2)1–x(TlGaS2)x была слабой. Так, при f ≥ 3.2 × 106 Гц значения диэлектрической проницаемости монокристаллов TlGaSe2 и TlGaS2 почти совпадали (рис. 2).
Рис. 3. Зависимость диэлектрической проницаемости от состава твердых растворов (TlGaSe2)1–x(TlGaS2)x при f = 5 × 104 Гц.
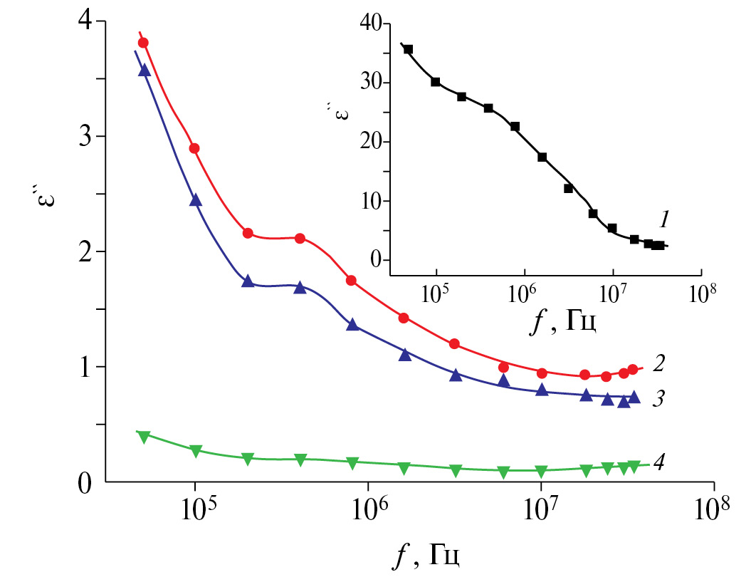
Частотные зависимости мнимой части комплексной диэлектрической проницаемости ε″ твердых растворов (TlGaSe2)1–x (TlGaS2)x свидетельствуют о релаксационной дисперсии (рис. 4). На рис. 5 приведена зависимость ε″ от состава твердых растворов (TlGaSe2)1–x(TlGaS2)x при f = 5 × 104 Гц.
Рис. 4. Частотные зависимости мнимой составляющей комплексной диэлектрической проницаемости кристаллов твердых растворов (TlGaSe2)1–x(TlGaS2)x при х = 0 (1), 0.4 (2), 0.8 (3) и 1.0 (4) (Т = 298 К).
Рис. 5. Зависимость мнимой составляющей комплексной диэлектрической проницаемости от состава твердых растворов (TlGaSe2)1–x(TlGaS2)x при f = 5 × 104 Гц.
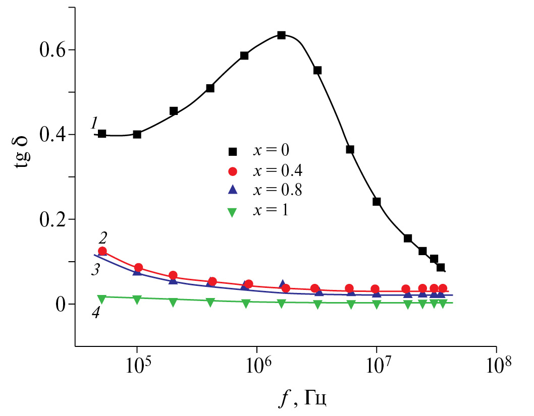
Частотные зависимости тангенса угла диэлектрических потерь (tgδ) твердых растворов (TlGaSe2)1–x(TlGaS2)x показаны на рис. 6. В монокристалле TlGaSe2 зависимость tgδ(f) проходила через максимум при частоте f = 1.6 × 106 Гц с дальнейшим резким спадом (рис. 6, кривая 1). Наличие максимума на кривой tgδ(f) свидетельствует о релаксационных потерях [43] в монокристалле TlGaSe2. Кривые 2, 3 и 4 на рис. 6 характеризовались гиперболическим спадом, свидетельствующим о потерях, обусловленных сквозной проводимостью. Увеличение х в кристаллах (TlGaSe2)1–x(TlGaS2)x приводило к уменьшению tgδ (рис. 6).
Рис. 6. Зависимости тангенса угла диэлектрических потерь в (TlGaSe2)1–x(TlGaS2)x от частоты при х = 0 (1), 0.4 (2), 0.8 (3) и 1.0 (4) (Т = 298 К).
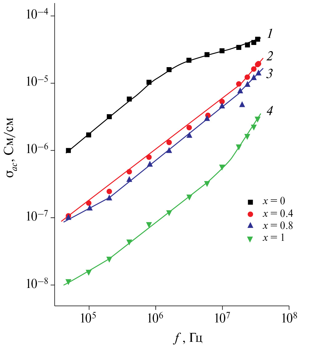
Нами изучена также частотно-зависимая проводимость (σac) твердых растворов (TlGaSe2)1–x(TlGaS2)x (рис. 7). Значения σac для твердых растворов (TlGaSe2)1–x(TlGaS2)x по мере увеличения х от 0 до 1 в условиях эксперимента снизились примерно на два порядка. На рис. 8 приведена зависимость проводимости твердых растворов (TlGaSe2)1–x(TlGaS2)x от состава при f = 5 × 104 Гц.
Рис. 7. Частотно-зависимая проводимость кристаллов (TlGaSe2)1–x(TlGaS2)x при х = 0 (1), 0.4 (2), 0.8 (3) и 1.0 (4) (Т = 298 К).
Рис. 8. Зависимость проводимости твердых растворов (TlGaSe2)1–x(TlGaS2)x от состава при f = 5 × 104 Гц.
Во всех изученных твердых растворах на частотной зависимости σac(f) (рис. 7) наблюдались степенные участки σac ~ fn. В кристалле TlGaSe2 вначале имела место зависимость σac ~ f0.8, которая затем становилась пологой. В кристаллах (TlGaSe2)1–x(TlGaS2)x при х > 0 сублинейные участки σac ~ f0.8 сменялись суперлинейными (n > 1).
Сублинейная (степенная) частотная зависимость проводимости σac ~ f0.8 материала указывает на прыжковый характер транспорта заряда [44]. При этом такая зависимость обычно связывается с прыжками носителей заряда по локализованным состояниям с участием фононов. Это так называемая релаксационная прыжковая проводимость [45]. Вещественная часть проводимости при сравнительно низких частотах определяется фононным механизмом, а с ростом частоты внешнего поля преобладающей становится бесфононная прыжковая проводимость. Такая проводимость характеризуется суперлинейной зависимостью σac ~ fn , где n > 1.
В силу сказанного полученный нами закон σac ~ f0.8 для кристаллов (TlGaSe2)1–x(TlGaS2)x свидетельствует о прыжковом механизме переноса заряда по состояниям, локализованным вблизи уровня Ферми [31, 44]. По экспериментально найденным значениям σac (f) твердых растворов (TlGaSe2)1–x(TlGaS2)x в рамках модели Мотта вычислили плотность состояний на уровне Ферми (NF):
, (1)
где e – заряд электрона, k – постоянная Больцмана, Т – температура, NF – плотность состояний вблизи уровня Ферми, a = 1 / α – радиус локализации, α – постоянная спада волновой функции локализованного носителя заряда ψ ~ e–αr, νph – фононная частота (т.е. частота попыток перехода электрона при релаксационной прыжковой проводимости).
Полученные для плотности состояний NF значения приведены в табл. 1. При вычислениях NF для радиуса локализации взяты значения: а = 34 Å для TlGaSe2 [7, 24] и а = 14 Å для TlGaS2 [8, 9]. Значения νph для TlGaSe2 и TlGaS2 составляли 1012 Гц [24, 26].
Таблица 1. Параметры локализованных состояний в монокристаллах (TlGaSe2)1–x(TlGaS2)x, полученные из электрических измерений на переменном токе при 298 К
x | NF, эВ–1см–3 | R, Å | τ, с | ∆E, эВ | Nt, см–3 |
0 | 7.5 × 1018 | 240 | 1.2 × 10–6 | 0.005 | 3.8 × 1016 |
0.4 | 2.2 × 1018 | 198 | 1.1 × 10–7 | 0.029 | 6.2 × 1016 |
0.8 | 1.7 × 1019 | 82 | 1.0 × 10–7 | 0.053 | 8.7 × 1017 |
1 | 5.9 × 1018 | 81 | 9.9 × 10–8 | 0.15 | 8.8 × 1017 |
Согласно теории прыжковой проводимости на переменном токе, расстояние прыжков (R) определяется по следующей формуле [31, 44]:
. (2)
Как видно из формулы (2), с ростом частоты характерная длина прыжка уменьшается. Вычисленные по формуле (2) средние расстояния прыжков в области релаксационной прыжковой проводимости (σac ~ f0.8) в кристаллах (TlGaSe2)1–x(TlGaS2)x приведены в 3-м столбце табл. 1. Суперлинейный характер частотной зависимости вещественной части проводимости при высоких частотах связан с переходом от режима проводимости с переменной (зависящей от частоты) длиной прыжка к режиму с независящей от частоты оптимальной длиной прыжка.
Вычисленное значение R позволило по формуле
(3)
определить среднее время прыжков в кристаллах (TlGaSe2)1–x(TlGaS2)x (4-й столбец в табл. 1).
(4)
в кристаллах (TlGaSe2)1–x(TlGaS2)x оценен разброс локализованных вблизи уровня Ферми состояний (∆E), а по формуле
(5)
вычислена концентрация глубоких ловушек, ответственных за перенос заряда на переменном токе (Nt). Эти значения приведены в 5-м и 6-м столбцах табл. 1.
Из табл. 1 видно, что увеличение х от 0 до 1 в кристаллах (TlGaSe2)1–x(TlGaS2)x приводит к уменьшению средних значений времени и длины прыжков, а также к увеличению энергетического разброса локализованных вблизи уровня Ферми состояний и концентрации глубоких ловушек, по которым осуществляется перенос носителей заряда в переменных электрических полях.
Таким образом, установлено, что изменение частоты приложенного переменного электрического поля и состава монокристаллов твердых растворов (TlGaSe2)1–x(TlGaS2)x позволяет изменять диэлектрические коэффициенты и проводимость, а также варьировать параметры локализованных состояний в запрещенной зоне твердых растворов.
ЗАКЛЮЧЕНИЕ
Из предварительно синтезированных поликристаллов твердых растворов (TlGaSe2)1–x(TlGaS2)x (х = 0–1) методом Бриджмена–Стокбаргера выращены монокристаллы. Изучены комплексная диэлектрическая проницаемость и проводимость (TlGaSe2)1–x(TlGaS2)x в переменных электрических полях. Выявлена частотная дисперсия действительной и мнимой составляющих комплексной диэлектрической проницаемости и проводимости () монокристаллических образцов (TlGaSe2)1–x (TlGaS2)x в интервале f = 5 × 104–3.5 × 107 Гц. Установлено, что наряду с потерями, обусловленными сквозной проводимостью, в (TlGaSe2)1–x(TlGaS2)x проявляются также релаксационные потери. Увеличение х в кристаллах (TlGaSe2)1–x(TlGaS2)x приводило к уменьшению действительной и мнимой составляющих комплексной диэлектрической проницаемости, тангенса угла диэлектрических потерь и проводимости на переменном токе.
В монокристаллах (TlGaSe2)1–x(TlGaS2)x имеет место прыжковый механизм переноса заряда по состояниям, локализованным в окрестности уровня Ферми. В рамках модели Мотта вычислены параметры локализованных состояний в образцах (TlGaSe2)1–x(TlGaS2)x: плотность состояний вблизи уровня Ферми NF = 2.2 × 1018–1.7 × 1019 эВ–1см–3 и их энергетический разброс ∆E = 0.005–0.15 эВ, среднее время τ = 9.9 × 10–8–1.2 × 10–6 с и расстояние прыжков R = 81–240 Å. Увеличение х от 0 до 1 в (TlGaSe2)1–x(TlGaS2)x приводило к уменьшению средних значений времени и длины прыжков, а также к увеличению энергетического разброса локализованных вблизи уровня Ферми состояний и концентрации глубоких ловушек в запрещенной зоне, ответственных за перенос носителей заряда в переменных электрических полях.
ФИНАНСИРОВАНИЕ РАБОТЫ
Настоящая работа выполнена при частичной поддержке Фонда развития науки при Президенте Азербайджанской Республики (грант EIF-BGM-4-RFTFl/2017-21/05/l-M-07).
КОНФЛИКТ ИНТЕРЕСОВ
Авторы заявляют, что у них нет конфликта интересов.
作者简介
С. Асадов
Научно-исследовательский институт “Геотехнологические проблемы нефти, газа и химия” Министерства науки и образования Азербайджана; Азербайджанский государственный университет нефти и промышленности; Институт катализа и неорганической химии им. М.Ф. Hагиева
Email: solmust@gmail.com
阿塞拜疆, пр. Азадлыг, 20, Баку, AZ 1010; пр. Азадлыг, 20, Баку, AZ 1010; пр. Г. Джавида, 113, Баку, AZ 1143
С. Мустафаева
Институт физики Министерства науки и образования Азербайджана
编辑信件的主要联系方式.
Email: solmust@gmail.com
阿塞拜疆, пр. Г. Джавида, 131, Баку, AZ 1143
参考
- Qasrawi A.F., Gasanly N.M. Optoelectronic and Electrical Properties of TlGaS2 Single Crystal // Phys. Status Solidi A. 2005. V. 202. № 13. P. 2501–2507. https://doi.org/10.1002/pssa.200521190
- Seyidov M.-H.Yu., Suleymanov R.A., Salehli F. Влияние “отрицательного химического” давления на температуры фазовых переходов в слоистом кристалле TlInS2 // ФТT. 2009. T. 51. № 12. C. 2365–2370.
- Delice S., Isik M., Gasanly N.M. Thermoluminescence Properties and Trapping Parameters of TlGaS2 Single Crystals // J. Lumin. 2022. V. 244. P. 118714. https://doi.org/10.1016/j.jlumin.2021.118714
- Шелег А.У., Иодковская К.В., Курилович Н.Ф. Влияние -облучения на электропроводность и диэлектрические свойства кристаллов TlGaSe2 при низких температурах // ФТТ. 1998. Т. 40. № 7. С. 1328–1331.
- Плющ О.Б., Шелег А.У. Политипизм и фазовые переходы в кристаллах TlInS2 и TlGaSe2 // Кристаллография. 1999. Т. 44. № 5. С. 873–877.
- Шелег А.У., Шевцова В.В., Гуртовой В.Г., Мустафаева С.Н., Керимова Э.М. Низкотемпературные рентгенографические исследования монокристаллов TlInS2, TlGaS2 и TlGaSe2 // Поверхность: рентгеновские, синхротронные и нейтронные исследования. 2013. № 11. С. 39–42.
- Георгобиани А.Н., Матиев А.Х., Хамхоев Б.М. Дисперсия показателя преломления в кристаллах Tl1−xCuxGaSe2 (0 ≤ x ≤ 0.02) и Tl1−xCuxInS2 (0 ≤ x ≤ 0.015) // ФТП. 2005. Т. 39. № 7. С. 811–813.
- Мустафаева С.Н., Алиев В.А., Асадов М.М. Прыжковая проводимость на постоянном токе в монокристаллах TlGaS2 и TlInS2 // ФТТ. 1998. Т. 40. № 4. С. 612–615.
- Мустафаева С.Н. Частотная дисперсия диэлектрических коэффициентов слоистых монокристаллов TlGaS2 // ФТТ. 2004. Т. 46. № 6. C. 979–981.
- Шелег А.У., Иодковская К.В., Курилович Н.Ф. Влияние -облучения на диэлектрическую проницаемость и электропроводность кристаллов TlGaS2 // ФТТ. 2003. Т. 45. № 1. С. 68–70.
- Шелег А.У., Гуртовой В.Г., Шевцова В.В., Мустафаева С.Н. Влияние ионизирующего излучения на диэлектрические характеристики монокристаллов TlInS2 и TlGaS2 // ФТТ. 2012. Т. 54. № 9. С. 1754–1757.
- Gasanly N.M. Compositional Dependence of Refractive Index and Oscillator Parameters in TlGa(SxSe1–x)2 Layered Mixed Crystals (0 ≤ x ≤ ≤ 1) // Mater. Chem. Phys. 2012. V. 136. № 1. P. 259–263. https://doi.org/10.1016/j.matchemphys.2012.06.064
- Isik M., Gasanly N.M. Ellipsometry Study of Interband Transitions in TlGaS2xSe2–x Mixed Crystals (0 ≤ x ≤ 1) // Opt. Commun. 2012. V. 285. № 20. P. 4092–4096. https://doi.org/10.1016/j.optcom.2012.06.029
- El-Nahass M.M., Sallam M.M., Rahman S.A., Ibrahim E.M. Optical, Electrical Conduction and Dielectric Properties of TlGaSe2 Layered Single Crystal // Solid State Sci. 2006. V. 8. № 5. P. 488–499. https://doi.org/10.1016/j.solidstatesciences.2005.10.020
- Johnsen S., Liu Z., Peters J.A., Song J. H., Peter S.C., Malliakas C.D., Cho N.Ki., Jin H., Freeman A.J., Wessels B.W., Kanatzidis M.G. Thallium Chalcogenide-Based Wide-Band-Gap Semiconductors: TlGaSe2 for Radiation Detectors // Chem. Mater. 2011. V. 23. № 12. P. 3120–3128. https://doi.org/10.1021/cm200946y
- Song H-J., Yun S.-H., Kim W.-T. Photoluminescence Properties of TlGaS2 and TlGaS2:Er3+ Single Crystals // J. Phys. Chem. Solids. 1995. V. 56. № 6. P. 787–790. https://doi.org/10.1016/0022-3697(94)00265-7
- Gasanly N.M. Coexistence of Indirect and Direct Optical Transitions, Refractive Indices, and Oscillator Parameters in TlGaS2, TlGaSe2, and TlInS2 Layered Single Crystals // J. Korean Phys. Soc. 2010. V. 57. № 1. P. 164–168. https://doi.org/10.3938/JKPS.57.164
- Qasrawi A.F., Gasanly N.M. Hall Effect, Space-Charge Limited Current and Photoconductivity Measurements on TlGaSe2 Layered Crystals // Semicond. Sci. Technol. 2004. V. 19. № 3. P. 505–509. https://doi.org/10.1088/0268-1242/19/3/039
- Shaban H.T. Measurements of Transport Properties of TlGaSe2 Crystals // Mater. Chem. Phys. 2010. V. 119. № 1–2. P. 131–134. https://doi.org/10.1016/j.matchemphys.2009.08.034
- Madelung O. Semiconductors: Data Handbook, 3rd ed. Berlin, Heidelberg: Springer, 2004. 691 p. ISBN-13 9783540404880
- Мустафаева С.Н., Асадов М.М., Джаббарлы А.И. Перенос заряда и термо-э.д.с. в монокристалле (TlInSe2)0.2(TlGaTe2)0.8 // Неорган. материалы. 2015. Т. 51. № 3. С. 267–271. https://doi.org/10.7868/S0002337X15030112
- Асадов М.М., Мустафаева С.Н., Мамедов А.Н., Алджанов М.А., Керимова Э.М., Наджафзаде М.Д. Диэлектрические свойства и теплоемкость твердых растворов (TlInSe2)1–х(TlGaTe2)х // Неорган. материалы. 2015. T. 51. № 8. C. 843–849. https://doi.org/10.7868/S0002337X15080059
- Матиев А.Х., Янарсаев А.В., Хамидов М.М. Дисперсия показателя преломления в кристаллах Tl1–xAgxGaSe2 (0 ≤ x ≤ 0.025) // Изв. PAH. Сер. физ. 2016. Т. 80. № 6. C. 718–720.
- Мустафаева С.Н., Асадов C.М., Годжаев М.М., Магеррамов А.Б. Комплексная диэлектрическая проницаемость и проводимость полученных твердых растворов (TlGaSe2)1–х(TlInS2)x в переменных электрических полях // Неорган. материалы. 2016. T. 52. № 11. C. 1168–1174. https://doi.org/10.7868/S0002337X16110105
- Ünlü B.A., Karatay A., Yüksek M., Ünver H., Gasanly N., Elmali A. The Effect of Ga/In Ratio and Annealing Temperature on The Nonlinear Absorption Behaviors in Amorphous TlGaxIn(1–x)S2 (0 ≤ x ≤ 1) Chalcogenide Thin Films // Opt. Laser Technol. 2020. V. 128. P. 106230. https://doi.org/10.1016/j.optlastec.2020.106230
- Мустафаева С.Н., Асадов М.М., Керимова Э.М., Гасанов Н.З. Диэлектрические и оптические свойства синтезированных твердых растворов TlGa1–xErxS2 (х = 0; 0.001; 0.005 и 0.01) // Неорган. материалы. 2013. Т. 49. № 12. С. 1271–1276. https://doi.org/10.7868/S0002337X13120129
- Мустафаева С.Н., Асадов С.М. Диэлектрические свойства и электропроводность легированного серебром монокристалла TlGaS2 // ФТП. 2018. Т. 52. № 2. С. 167–170. https://doi.org/10.21883/FTP.2018.02.45438.8517
- Karabulut O., Yilmaz K., Boz B. Electrical and Optical Properties of Co Doped TlGaS2 Crystals // Cryst. Res. Technol. 2011. V. 46. № 1. P. 79–84. https://doi.org/10.1002/crat.201000486
- Bakran H., Yakut S., Bozoglu D., Deger D., Ismailova P., Mustafaeva S., Hasanov A., Ulutas K. The Effect of Fe Content on The Dielectric Properties of TlGa(0.999)Fe(0.001)S2 Thin Films // Physica B: Conden. Matter. 2024. V. 685. Р. 416031. https://doi.org/10.1016/j.physb.2024.416031
- Мустафаева С.Н. Диэлектрические свойства монокристаллов TlGa1−xMnxS2 (0 ≤ x ≤ ≤ 0.03) // Неорган. материалы. 2006. T. 42. № 5. C. 530–533.
- Мустафаева С.Н., Асадов М.М., Гусейнова С.С., Джабаров А.И., Лукичев В.Ф. Электронные, диэлектрические свойства и перенос заряда в монокристалле TlGaS2 : Nd3+ на постоянном и переменном токе // ФТТ. 2022. T. 64. № 4. C. 428–436. https://doi.org/10.21883/FTT.2022.04.52182.251
- Асадов С.М., Мустафаева С.Н. Механизм переноса заряда в TlSb1–xGaxS2 (x = 0, 0.03) на переменном токе // Неорган. материалы. 2017. Т. 53. № 12. С. 1257–1261. https://doi.org/10.7868/S0002337X17120028
- Асадов С.М., Мустафаева С.Н. Диэлектрические потери и перенос заряда в легированном сурьмой монокристалле TlGaS2 // ФТТ. 2018. Т. 60. № 3. С. 495–498. https://doi.org/10.21883/FTT.2018.03.45551.266
- Асадов М.М., Кязимов С.Б., Гасанов Н.З. Фазовая T–x-диаграмма системы TlGaS2–TlFeS2 и ширина запрещенной зоны монокристаллов TlGa1–xFexS2 (0 ≤ x ≤ 0.01) // Неорган. материалы. 2012. Т. 48. № 10. C. 1110–1113.
- Мустафаева С.Н. Влияние частоты на электрические и диэлектрические свойства монокристаллов (TlGaS2)1−x(TlInSe2)x (x = 0.005, 0.02) // Неорган. материалы. 2010. T. 46. № 2. C. 145–148.
- Георгобиани А.Н., Матиев А.Х., Хамхоев Б.М. Диаграмма состояния системы TlGaSe2–CuGaSe2 // Неорган. материалы. 2005. Т. 41. № 2. С. 1168–1170.
- Матиев А.Х., Янарсаев А.В., Успажиев Р.Т., Евтеева Р.М. T–x-диаграммa cистемы TlGaSе2–AgGaSе2 // Неорган. материалы. 2015. Т. 51. № 7. С. 730–732. https://doi.org/10.7868/S0002337X15070118
- Мустафаева С.Н., Асадов М.М. Влияние состава кристаллов TlGa1–xErxSe2 на их диэлектрические характеристики и параметры локализованных состояний // ФТТ. 2013. Т. 55. № 12. С. 2346–2350.
- Мустафаева С.Н., Асадов С.М. Диэлектрические свойства и проводимость кристаллов (1–x)TlGaSe2 xTm // Неорган. материалы. 2018. Т. 54. № 7. С. 662–667. https://doi.org/10.7868/S0002337X18070023
- Yoon C.S., Kim B.H., Cha D.J., Kim W.T. Electrical and Optical Properties of TlGaSe2 and TlGaSe2:Co Single Crystals // Jpn. J. Appl. Phys. 1993. V. 32. Suppl. 3. P. 555–557. https://doi.org/10.7567/JJAPS.32S3.555
- Мустафаева С.Н. Методика измерения проводимости высокоомных материалов на переменном токе // Все материалы. Энциклопедический справочник. 2016. № 10. С. 74–79.
- Delgado G.E., Mora A.J., Pérez F.V. González J. Crystal Structure of the Ternary Semiconductor Compound Thallium Gallium Sulfide, TlGaS2 // Phys. B. 2007. V. 391. № 2. P. 385–388. https://doi.org/10.1016/j.physb.2006.10.030
- Пасынков В.В., Сорокин В.С. Материалы электронной техники. М.: Высш. школа, 1986. 368 с.
- Mott N.F., Davis E.A. Electronic Processes in Non-Crystalline Materials. OUP Oxford, 2012. 590 p. ISBN: 9780199645336
- Ормонт М.А. Смена механизма переноса в области перехода от сублинейности к суперлинейности частотной зависимости проводимости неупорядоченных полупроводников // ФТП. 2015. Т. 49. № 10. С. 1314–1319.
补充文件










