Исследование влияния концентрации носителей заряда и дефектов структуры на спектры комбинационного рассеяния в монокристаллах GaAs, полученных методом Чохральского
- Авторы: Максимов А.Д.1, Тарасов Ю.И.1, Санжаровский Н.А.1, Чусовская К.А.1
-
Учреждения:
- МИРЭА – Российский технологический университет
- Выпуск: Том 60, № 6 (2024)
- Страницы: 661-666
- Раздел: Статьи
- URL: https://bakhtiniada.ru/0002-337X/article/view/279294
- DOI: https://doi.org/10.31857/S0002337X24060018
- EDN: https://elibrary.ru/MSWYXD
- ID: 279294
Цитировать
Полный текст
Аннотация
Исследованы спектры комбинационного рассеяния света, полученные на кристаллическом арсениде галлия, выращенном методом Чохральского. Обнаружено, что частота связанной колебательной плазмон-фононной моды с ростом концентрации электронов n возрастает и приближается к частоте моды поперечных колебаний при n~3 × 1018 см−3. Установлено, что рост концентрации дырок приводит к уширению пика продольных колебаний. При увеличении степени разупорядоченности наблюдалось снижение относительной интенсивности поперечной моды.
Ключевые слова
Полный текст
ВВЕДЕНИЕ
В настоящее время арсенид галлия является основой для создания быстродействующих устройств микро-, опто- и наноэлектроники. Полученные методом Чохральского объемные монокристаллы GaAs применяются в качестве подложек при последующем эпитаксиальном росте приборных структур [1]. Так как при подобном росте эпитаксиальный слой “наследует” параметры подложки, итоговые характеристики изделий сильно зависят от качества исходного монокристаллического GaAs [2].
Рамановская спектроскопия является современным и экспрессным методом исследования веществ и структур [3]. Она позволяет получать информацию о структуре и свойствах материалов, основываясь на их спектрах испускания. Легирование донорными или акцепторными примесями, наличие внутренних напряжений, дефектов и деформаций оказывает значительное влияние на колебательные и электронные состояния [4]. В результате спектроскопия комбинационного рассеяния (КР) света представляет широкие возможности для исследования полупроводниковых материалов и структур [5].
Цель работы – исследование образцов арсенида галлия, полученных методом Чохральского при различных условиях, методом КР света.
GaAs кристаллизуется в структуре цинковой обманки (пр. гр. . Эта структура включает два типа атомов в элементарной ячейке и, согласно теории групп, имеет три акустические (одна продольная TA и две поперечные LA) и три оптические (одна TO и 2 LO) колебательные моды. Однако правило отбора допускает в спектрах КР только продольные оптические (LO) фононные моды с поверхности (100), поперечные оптические (ТО) фононные моды с поверхности (110), а с поверхности (111) – как LO-, так и TO-фононные моды [6]. Также частота рамановских фононных полос является функцией межатомных сил. Любое изменение длины связи (например, из-за напряжения/деформации, повреждения, аморфизации и т.д.) влияет на спектры КР света. Возрастающий уровень аморфизации приводит к смещению частоты мод LO-фононов в низкочастотную область, к уширению спектральных полос и, в пределе, к исчезновению LO-моды [7].
В полярных полупроводниках, таких как GaAs, LO-фононы сильно взаимодействуют с коллективными колебаниями системы свободных носителей заряда (плазмонов) [8]. Степень взаимодействия является наибольшей, когда две моды имеют сравнимые энергии и сильно зависит от концентрации свободных носителей заряда. Для n-GaAs это приводит к двум ветвям, связанным с LO-плазмоном: L+ (верхняя) и L− (нижняя), при собственной плазменной частоте ωp. Возникновение двух плазмонных мод происходит из-за фотон-фононного взаимодействия и результирующего типичного расщепления дисперсионного соотношения в соответствии с правилом фон Неймана [9]. При низкой концентрации носителей заряда энергия плазмона зависит от концентрации носителей как квадратный корень. При более высокой концентрации носителей заряда, когда энергия плазмона приближается к энергии LO-фононов, образуется смешанное плазмон-фононное состояние с двумя ветвями, так что дисперсионные кривые фонона и плазмона не пересекаются. Частоты плазмонных колебаний можно рассчитать по уравнению [10]:
. (1)
В данной работе частоты нормальных LO- и TO-мод, ωLO и ωTO, получены из измерений спектров КР образца нелегированного GaAs, полученного вертикальной кристаллизацией, с низкой концентрацией дефектов. Плазмонная частота ωp рассчитывается как
где n – концентрация носителей заряда, e – эффективный заряд [11], εopt – оптическая диэлектрическая постоянная, ε0 – электрическая постоянная, mn – эффективная масса носителя заряда.
ЭКСПЕРИМЕНТАЛЬНАЯ ЧАСТЬ
Образцы GaAs, легированные донорными и акцепторными примесями, выращивались методом Чохральского в АО “Гиредмет”. Спектры КР измеряли на рамановском микроскопе Confotec DUO при комнатной температуре. Колебания возбуждались с помощью монохроматического лазера с длиной волны 532 нм. Концентрация носителей заряда и равномерность распределения примеси определялись холловскими измерениями – изменение концентрации носителей заряда в разных точках образца незначительно.
РЕЗУЛЬТАТЫ И ОБСУЖДЕНИЕ
Образцы с электронным типом проводимости. На рис. 1 представлены спектры КР для образцов n-GaAs<Te> с разной концентрацией свободных электронов, легированных теллуром. Образцами сравнения выбраны нелегированный i-GaAs, полученный методом вертикальной кристаллизации, и образец Poly GaAs<Te>, легированный теллуром, спектр КР на котором измерен в разупорядоченной области. Определенная методом Холла концентрация носителей заряда и рассчитанные отношения ILO ∕ (ITO+ILO) для всех образцов также представлены на рис. 1.
Рис. 1. Спектры КР образцов GaAs с разной концентрацией электронов: сплошными вертикальными линиями показаны положения пиков TO- и LO-мод, измеренных на референсном образце нелегированного GaAs; пунктиром показаны сдвиги максимума связанной плазмон-фононной ω− (слева) и LO-мод (справа).
Из результатов измерений видно, что в спектрах КР нелегированного образца i-GaAs, ориентированного в направлении (100), ярко выражена только продольная оптическая LO-мода. При этом связанные плазмон-фононные моды отсутствуют полностью в силу незначительности концентрации свободных носителей заряда (~107 см−3). Для образцов n-GaAs<Te>, также ориентированных в направлении [100] и легированных теллуром, с ростом концентрации свободных электронов значительно уменьшается отношение интенсивностей продольной к поперечной мод ILO ∕ (ITO+ILO).
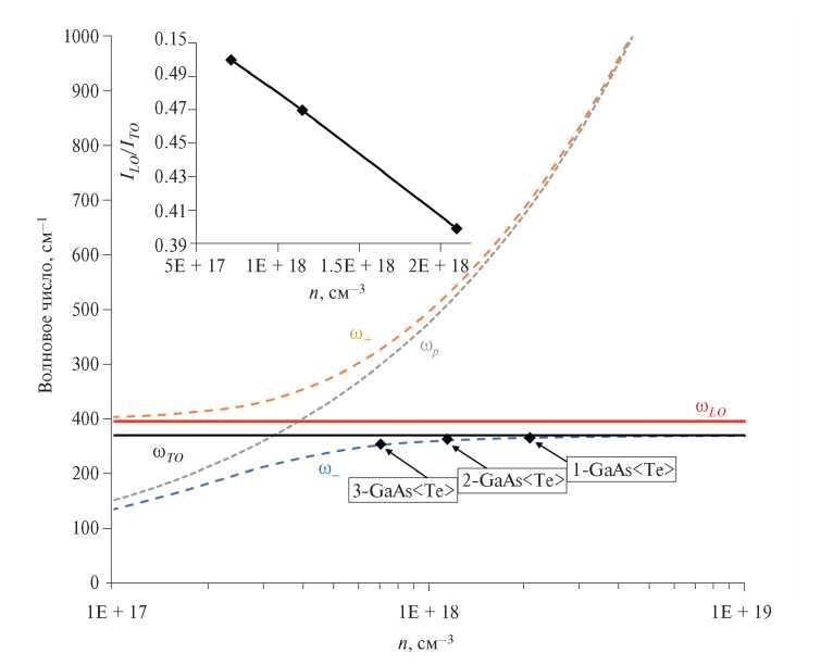
Это обусловлено ростом интенсивности связанной плазмон-фононной моды ω–, зависящей от концентрации свободных электронов. При этом наблюдается сдвиг ее частоты к частоте TO-моды. На рис. 2 представлены рассчитанные по выражению (1) зависимости частот плазмонной моды ωp и плазмон-фононных мод ω− и ω+ от концентрации носителей заряда. Также представлена экспериментальная зависимость относительной интенсивности мод ILO ∕ (ITO+ILO) от концентрации электронов.
Рис. 2. Зависимости частот плазмонной моды ωp и плазмон-фононных мод ω− и ω+ от концентрации носителей заряда.
Сопоставление результатов расчета и измеренных частот связаннойплазмон-фононной моды ω− (рис. 2) подтверждает наблюдаемый сдвиг ее рамановского пика. Он показан на рис. 1 пунктирной линией.
Из данных рис. 1 видно, что для образца Poly GaAs<Te> LO-мода практически отсутствует. Однако концентрация электронов сопоставима с концентрацией в образце 1-GaAs<Te>. Катастрофическое снижение интенсивности продольной оптической моды связано, по-видимому, с разупорядоченностью кристаллической структуры. Авторы [12] провели исследование влияния неоднородностей в образцах GaAs, полученных молекулярно-лучевой эпитаксией. Показано, что неоднородности в слое приводят к снижению LO-моды вплоть до полного исчезновения. Следуя их результатам, мы измерили спектры КР образца GaAs, легированного теллуром и ориентированного в направлении (100), с разными типами дефектов структуры (рис. 3).
Рис. 3. Микрофотографии поверхности образца GaAs<Te> (отмечены места сьемки спектров КР): а – поликристаллическая область, б – центр ламели, в – скопление дислокаций, г – малоугловая граница, д – край малоугловой границы, е – дислокация.
Разные типы дефектов можно характеризовать разной степенью разупорядоченности кристаллической структуры в месте съемки спектров КР. Из полученных спектров КР (рис. 4) видно, что при переходе к более неупорядоченной структуре отношение ILO ∕ (ITO+ILO) снижается до значений порядка 0.1. Здесь следует учитывать, что под ITO мы понимаем суммарную интенсивность поперечной моды и связанной плазмон-фононной моды ω‒, так как частоты этих мод практически совпадают при концентрации электронов ~3 × 1018 см‒3. Уменьшение интенсивности продольной моды и снижение ее частоты связаны с увеличением доли разупорядоченной области по отношению к кристаллической и ориентированной в направлении [100] в месте сьемки спектров КР. Это согласуется с результатами [13].
Рис. 4. Спектры КР образцов GaAs<Te>, полученные в точках с разными типами дефектов на поверхности (см. рис. 3).
Образцы с дырочным типом проводимости. На рис. 5 представлены спектры КР образцов p-GaAs, легированных акцепторными примесями. Все образцы ориентированы в направлении [100] и имеют концентрацию дырок не больше 1.5 × 1017 см−3.
Рис. 5. Спектры КР образцов p-GaAs.
В спектрах КР всех образцов отсутствуют пики, соответствующие связанным плазмон-фононным модам. Это обусловлено тем, что эффективная масса дырки на порядок больше эффективной массы электрона, поэтому при сопоставимых концентрациях носителей заряда плазмонная частота ωp будет модулироваться при меньших частотах. Соответственно, интенсивность связанной плазмон-фононной моды должна быть значительно меньше. Однако из данных рис. 5 видно, что с ростом концентрации дырок наблюдается снижение интенсивности LO-моды и ее уширение, характеризуемое рассчитанной полушириной пика (FWHM). Оба эти фактора, по-видимому, связаны с ухудшением кристаллического совершенства GaAs в результате легирования. Эти выводы хорошо согласуются с результатами предыдущих исследований [14, 15].
ЗАКЛЮЧЕНИЕ
Исследованы спектры КР света, полученные на образцах GaAs с разным типом проводимости и разной концентрацией носителей заряда. Рассчитанные частоты связанных плазмон-фононных мод хорошо согласуются с результатами проведенных экспериментов. Показана возможность применения рамановской спектроскопии для идентификации дефектной структуры GaAs.
КОНФЛИКТ ИНТЕРЕСОВ
Авторы заявляют, что у них нет конфликта интересов.
Об авторах
А. Д. Максимов
МИРЭА – Российский технологический университет
Автор, ответственный за переписку.
Email: maksimov_a@mirea.ru
Россия, пр. Вернадского, 78, Москва, 119454
Ю. И. Тарасов
МИРЭА – Российский технологический университет
Email: maksimov_a@mirea.ru
Россия, пр. Вернадского, 78, Москва, 119454
Н. А. Санжаровский
МИРЭА – Российский технологический университет
Email: maksimov_a@mirea.ru
Россия, пр. Вернадского, 78, Москва, 119454
К. А. Чусовская
МИРЭА – Российский технологический университет
Email: maksimov_a@mirea.ru
Россия, пр. Вернадского, 78, Москва, 119454
Список литературы
- Nguyen P. T., Dinh N. T., Ho K. H. Effects of Electric Field and Device Size on the Electron Velocity in p-i-n GaAs Semiconductor // Phys. Lett. A. 2023. V. 490. P. 129174. https://doi.org/10.1016/j.physleta.2023.129174
- Lackner D., Urban T., Lang R., Pellegrino C., Ohlmann J., Dudek V. Ultrafast GaAs MOVPE Growth for Power Electronics // J. Cryst. Growth. 2023. V. 613. P. 127201. https://doi.org/10.1016/j.jcrysgro.2023.127201
- Smith E., Dent G. Modern Raman Spectroscopy: A Practical Approach. 2nd Ed. N.Y.:Wiley, 2019.
- Desnica U.V., Wagner J., Haynes T.E., Holland O.W. Raman and Ion Channeling Analysis of Damage in Ion‐Implanted GaAs: Dependence on Ion Dose and Dose Rate // J. Appl. Phys. 1992. V. 71. № 6. P. 2591–2595. https://doi.org/10.1063/1.351077
- De Biasio M. et al. Raman Spectroscopy for Thermal Characterization of Semiconductor Devices // Next-Generation Spectroscopic Technologies XV. 2023. V. 12516. P. 212–218. https://doi.org/10.1117/12.2682223
- Burns G., Dacol F.H., Wie C.R., Bursteint E., Cardona M. Phonon Shifts in Ion Bombarded GaAs: Raman Measurements // Solid State Commun. 1987. V. 62. № 7. P. 449–454. https://doi.org/10.1016/0038-1098(87)91096-9
- Brodsky M. H. Raman Scattering in Amorphous Semiconductors // Light Scattering in Solids I. Topics in Applied Physics/Ed. Cardona M. V. 8. Berlin, Heidelberg: Springer, 1983.
- Olson C. G., Lynch D. W. Longitudinal-Optical-Phonon-Plasmon Coupling in GaAs // Phys. Rev. 1969. V. 177. № 3. P. 1231. https://doi.org/10.1103/PhysRev.177.1231
- Yu P., Cardona M. Fundamentals of Semiconductors Physics and Materials Properties. Berlin, Heidelberg: Springer, 2010.
- Böer K.W., Pohl U.W. Properties and Growth of Semiconductors // Semiconductor Physics. Cham: Springer, 2014.
- Adachi S. GaAs, AlAs, and : Material Parameters for Use in Research and Device Applications // J. Appl. Phys. 1985. V. 58. № 3. P. 1–29. https://doi.org/10.1063/1.336070
- Dobal P. S., Bist H. D., Mehta S. K., Jain R. K. Inho-mogeneities in MBE-Grown GaAs/: A Micro-Raman Study // Semicond. Sci. Technol. 1996. V. 11. № 3. P. 315–322. https://doi.org/10.1088/0268-1242/11/3/008
- Steele J. A., Lewis R. A., Henini M., Lemine O. M., Fan D., Mazur Yu. I., Dorogan V. G., Grant P. C., Yu S.-Q., Salamo G. J. Raman Scattering Reveals Strong LO-phonon-hole-plasmon Coupling in Nominally Undoped GaAsBi: Optical Determination of Carrier Concentration // Opt. Express. 2014. V. 22. P. 11680–11689. https://doi.org/10.1364/OE.22.011680
- Takeuchi H., Sumioka T., Nakayama M. Longitudinal Optical Phonon-Plasmon Coupled Mode in Undoped GaAs/n-Type GaAs Epitaxial Structures Observed by Raman Scattering and Terahertz Time-Domain Spectroscopic Measurements: Difference in Observed Modes and Initial Polarization Effects // IEEE Trans. Terahertz Sci. Technol. 2017. V. 7. № 2. P. 124–130. https://doi.org/10.1109/TTHZ.2017.2650220
- Duan J., Wang C., Vines L., Rebohle L., Helm M., Zeng Y., Zhou S., Prucna S. Increased Dephasing Length in Heavily Doped GaAs // New J. Phys. 2021. V. 23. P. 083034. https://doi.org/10.1088/1367-2630/ac1a98
Дополнительные файлы







