Влияние состава многокомпонентных твердых растворов (TlInS2)1–x (TlGaSe2)х на их электрические свойства
- Authors: Мустафаева С.Н.1, Асадов С.М.2,3, Годжаев М.М.4
-
Affiliations:
- Институт физики Министерства науки и образования Азербайджана
- Научно-исследовательский институт «Геотехнологические проблемы нефти, газа и химия» Министерства науки и образования Азербайджана
- Институт катализа и неорганической химии им. М.Ф. Hагиева Министерства науки и образования Азербайджана
- Сумгаитский государственный университет Министерства науки и образования Азербайджана
- Issue: Vol 60, No 4 (2024)
- Pages: 470-477
- Section: Articles
- URL: https://bakhtiniada.ru/0002-337X/article/view/274559
- DOI: https://doi.org/10.31857/S0002337X24040078
- EDN: https://elibrary.ru/MZRVQI
- ID: 274559
Cite item
Full Text
Abstract
Синтезированы тройные соединения TlInS2 и TlGaSe2, а также твердые растворы (TlInS2)1-х (TlGaSe2)х (х = 0.1, 0.2, 0.4). Методом рентгенофазового анализа определен фазовый состав и параметры решетки образцов этих составов, выращенных методом направленной кристаллизации. При комнатной температуре образцы имели слоистую структуру и моноклинную сингонию с пр. гр. С2ℎ6(С2/с). Установлены закономерности в изменениях свойств с изменением состава образцов. В монокристаллических образцах твердых растворов на основе TlInS2 изучены частотные зависимости действительной (ε׳) и мнимой (ε″) составляющих комплексной диэлектрической проницаемости, тангенса угла диэлектрических потерь (tgδ) и проводимости в переменных электрических полях (σac) поперек слоев кристаллов. Измерения диэлектрических свойств образцов проводили резонансным методом в области частот переменного электрического поля f = 5 × 104–3.5 × 107 Гц. Наблюдаемый гиперболический спад tgδ с ростом частоты свидетельствует о том, что в изученных твердых растворах имеют место потери на проводимость. Установлен прыжковый механизм переноса носителей заряда в (TlInS2)1-х(TlGaSe2)х и определены параметры локализованных состояний в запрещенной зоне образцов: плотность локализованных состояний вблизи уровня Ферми (NF = 5.8 × 1018 – 1.9 × 1019 эВ-1см-3), средние значения времени ( τ = 2 × 10-7 с ) и расстояния прыжков (R = 86 Å), а также энергетический разброс локализованных состояний в окрестности уровня Ферми (∆E = 47 мэВ). Установлено, что изученные параметры (εʹ, εʺ, tgδ и σac) монокристаллов (TlInS2)1-х(TlGaSe2)х (х = 0.1, 0.2, 0.4) увеличиваются с ростом содержания TlGaSe2.
Full Text
ВВЕДЕНИЕ
Полупроводниковые твердые растворы используются в микро- и наноэлектронике благодаря возможности непрерывного изменения их химического состава и управления свойствами и спектральным диапазоном 0.32–32 мкм. В последнее время в числе фоточувствительных и лазерных материалов появились пятикомпонентные составы, в частности, на основе соединений типа TIBIIIC6VI, обладающих уникальными свойствами (оптическими, электрическими, фото-, пьезоэлектрическими и др). Полупроводниковые тройные соединения TlInS2 и TlGaSe2 имеют слоистую структуру, малое различие периодов решетки и характеризуются сильной анизотропией физических свойств, высокой фоточувствительностью и оптической прозрачностью. Поэтому эти материалы являются перспективными для применений в фотоприемниках, фотопреобразователях, детекторах импульсного лазерного излучения и рентгенрегистрирующих устройствах. Кристаллы TlInS2 и TlGaSe2 имеют различные модификации, например в виде двумерных слоев (2D), и в них наблюдается последовательность фазовых переходов [1].
Физические и физико-химические свойства кристаллов TlInS2 и TlGaSe2 были предметом ряда работ. В частности, результаты низкотемпературных рентгенографических исследований монокристаллов TlInS2, TlGaS2 и TlGaSe2 показывают, что в них имеют место фазовые переходы. При комнатной температуре они принадлежат к слоистому структурному типу b-TlInS2 [2]. В таком кристалле период решетки в направлении оси c содержит монослой, что приводит к анизотропии свойств. Это подтверждается изучением температурной зависимости степени анизотропии проводимости монокристаллов TlInS2 и TlGaSe2 на постоянном токе [3, 4]. В направлении оси c кристаллов 2D-TlInS2 сильно чувствительны также и другие свойства. Диэлектрические свойства и проводимость на переменном токе монокристаллов TlInS2, а также влияние на них γ-облучения изучены в [5].
Методом спектроскопии в работе [6] исследована собственная фотолюминесценция (ФЛ) нелегированных и легированных B-, Ag- или Er-слоистых монокристаллов TlInS2. Обнаружено, что положение и интенсивность спектрального пика ФЛ при 2.4 эВ сильно зависят от падения возбуждающего света и его поляризации относительно кристаллографических направлений. Показано, что присутствие примесей B и Ag в TlInS2 не влияет на собственную эмиссию ФЛ, а введение примеси Er усиливает и модифицирует тонкую экситонную структуру в сегнетоэлектрической фазе TlInS2 при низких температурах. Электронные и оптические свойства слоистого кристалла TlInS2 исследованы в рамках теории функционала плотности [7]. Зонный электронный спектр и парциальная плотность состояний рассчитаны с учетом дисперсионной поправки. На основе расчетов зонной структуры были получены оптические характеристики TlInS2, такие как действительная и мнимая части диэлектрической функции, показатель преломления и коэффициент поглощения. Сравнение теоретических и экспериментальных данных по оптическим свойствам TlInS2 показывает хорошее согласие. В работе [8] исследовано влияние рентгеновского облучения на проводимость постоянного тока сегнетоэлектриков политипов C и 2C кристалла TlInS2 в интервале температур 100–300 К. Рентгеновское облучение (поглощенные дозы 0.9 и 2.7 кГр) приводит к увеличению электропроводности как C-, так и 2C-TlInS2 пропорционально поглощенной дозе. Проводимость этих образцов снижается при охлаждении в интервале температур 100–300 К.
Изучено влияние электронов на свойства поверхности, спектры комбинационного рассеяния света (КРС) и структуру монокристалла TlInS2 [9]. Облучение TlInS2 электронами с энергией 2 МэВ и флюенсом 2х1017 эл/см2 приводит к изменению поверхности образца. Радиационная обработка TlInS2 электронами указывает на появление новых пиков при 204, 224 см-1 в спектрах КРс и стимулирует образование однофазного слоя на поверхности с гексагональной структурой (пр. гр. P63/mmc).
Полупроводниковые монокристаллы TlGaSe2 характеризуются высокой фоточувствительностью и эффектом памяти [10]. Кристаллы TlInS2 и TlGaSe2 также чувствительны к различным внешним электрическим полям и облучениям, что подтверждает изучение дисперсии комплексной диэлектрической проницаемости и проводимости монокристаллов TlGaSe2 при радиочастотах [11]. Это подтверждается также изучением влияния g-облучения на электропроводность и диэлектрические свойства кристаллов TlGaSe2 как при комнатной [12], так и при низких температурах [13].
Помимо вышеуказанных двумерных (2D) кристаллических материалов TlInS2 и TlGaSe2, в последнее время значительно возрос интерес к 2D-твердым растворам. Благодаря своей атомно-тонкой геометрической структуре и уникальным электронным и оптическим свойствам 2D-твердые растворы и гетероструктуры [14] актуальны для потенциального применения в интегральных устройствах нано- и оптоэлектроники.
Исследование диэлектрических и электрических откликов в полупроводниковых многокомпонентных халькогенидах таллия, в частности в TlGaSe2–TlInS2 [15–18], представляет собой сложную задачу. Результаты физико-химического анализа указывают на то, что Т–х-диаграмма фазового равновесия системы TlGaSe2–TlInS2 относится к эвтектическому типу с ограниченной растворимостью в твердом состоянии [18]. Эвтектическая точка располагается ниже температур плавления компонентов. Из расплава кристаллизуются два твердых раствора: a (на основе TlGaSe2) и b (на основе TlInS2). Эвтектика плавится при 953 К и имеет состав 50 мол.% TlInS2.
Для получения комплексного объяснения закономерного изменения чувствительных свойств от состава твердых растворов важны как экспериментальные, так и теоретические работы. Так, например, монотонные отклики диэлектрических свойств от состава наблюдаются в образцах твердых растворов (TlGaSe2)1-х(TlInS2)х (х = 0.1, 0.2, 0.4) на основе TlGaSe2 [18]. Однако не проведен рентгеновский анализ параметров решетки и не изучены диэлектрические свойства твердых растворов системы TlInS2–TlGaSe2на основе моноклинной фазы TlInS2.
Цель настоящей работы – получение слоистых кристаллов с регулируемыми свойствами различного состава, изучение параметров решетки и электрических свойств монокристаллов твердых растворов (TlInS2)1-х(TlGaSe2)х (х = 0.1, 0.2, 0.4) и установление в них механизма токопрохождения в переменных электрических полях радиочастотного диапазона.
ЭКСПЕРИМЕНТАЛЬНАЯ ЧАСТЬ
Исследования по синтезу, росту монокристаллов твердых растворов системы TlGaSe2–TlInS2 с различными составами на основе TlGaSe2 ранее представлены в работах [15–18]. Твердые растворы системы TlGaSe2–TlInS2 на основе TlInS2 синтезировали аналогичным способом. При синтезе тройных соединений TlInS2 и TlGaSe2 использовали таллий марки Tl-000, индий In-000, галлий Ga-000, серу ОСЧ-15-3 и селен ОСЧ-16-4 с содержанием примеси не выше 5 × 10–4 мас.%. Тройные соединения TlGaSe2 и TlInS2 получали сплавлением стехиометрических навесок соответствующих элементов в вакуумированных до 10–3 Па и запаянных кварцевых ампулах. Продуктами синтеза были компактные поликристаллические слитки на дне ампулы, из которых затем получали твердые растворы (TlInS2)1-х(TlGaSe2)х (х = 0.1, 0.2, 0.4). О завершении синтеза, образовании твердых растворов, их структуре судили по результатам рентгенографических исследований и дополнительно – по результатам термографических исследований.
Образцы твердых растворов (TlInS2)1-х(TlGaSe2)х (х = 0.1, 0.2, 0.4) получали также сплавлением стехиометрических навесок соединений TlInS2 и TlGaSe2 в вакуумированных до 10–3 Па кварцевых ампулах. Ампулы с образцами (х = 0.1, 0.2, 0.4) при периодическом перемешивании выдерживали 6–8 ч в электропечи при температуре на 25–30 K выше ликвидуса. Затем печь отключали, образцы охлаждали до 830 К и отжигали в течение 100 ч. Температуру плавления TlInS2 и TlGaSe2 и гомогенизирующего отжига образцов брали из Т–х-диаграммы системы TlInS2–TlGaSe2. Температуру контролировали с помощью хромель-алюмелевой термопары. Для получения однородной структуры (TlInS2)1-х(TlGaSe2)х после отжига образцы охлаждали со скоростью 25 К/мин до комнатной температуры.
Индивидуальность и фазовый состав кристаллов контролировали методами ДТА и РФА. Рентгенограммы порошковых образцов записывались на рентгеновском дифрактометре ДРОН-3 (CuKα-излучение) при комнатной температуре. Из синтезированных твердых растворов замещения (TlInS2)1-х(TlGaSe2)х методом Бриджмена-Стокбаргера были выращены слоистые монокристаллы.
Диэлектрические коэффициенты монокристаллов (TlInS2)1-х(TlGaSe2)х измерены резонансным методом [19]. Интервал частот переменного электрического поля составлял 5 × 104–3.5 × 107 Гц. Монокристаллические образцы (TlInS2)1-х(TlGaSe2)х для электрических измерений были изготовлены в виде плоских конденсаторов. В качестве электродов для образцов использована серебряная паста. Диэлектрические свойства образцов измерены в направлении, перпендикулярном слоям монокристаллов (TlInS2)1-х(TlGaSe2)х. Толщина изученных образцов составляла от 650–800 мкм, а площадь обкладок – 6.5 × 10-2–10-1 см2. Толщину кристаллических образцов определяли с помощью микроскопа Olympus LEXT OLS 3100. Диэлектрические измерения проведены при комнатной температуре. Воспроизводимость положения резонанса составляла по емкости ± 0.2 пФ, а по добротности (Q = 1/tgδ) ±1.0–1.5 деления шкалы. Наибольшие отклонения от средних значений составляли 3–4% для ε и 7% для tgδ. Воспроизводимость и точность экспериментальных данных проверяли по результатам параллельных измерений.
РЕЗУЛЬТАТЫ И ОБСУЖДЕНИЕ
На рис. 1а приведена уточненная нами методами РФА и ДТА фазовая диаграмма системы TlInS2–TlGaSe2. Результаты РФА порошковых образцов на основе TlInS2 показали, что при комнатной температуре стабильна моноклинная сингония (рис. 1б). Данные РФА образцов (TlInS2)1-х(TlGaSe2)х приведены в табл. 1. При определении параметров элементарной ячейки погрешности были порядка ± 0.002 Å для параметров a, b и ± 0.004 Å для с.
Рис. 1. Уточненная нами по данным ДТА и РФА фазовая диаграмма системы TlGaSe2–TlInS2 (а), рентгенограмма TlInS2 (б).
Таблица 1. Параметры элементарной ячейки полученных образцов (TlInS2)1-х(TlGaSe2)х (х = 0, 0.2, 0.4, 1) моноклинной сингонии с пр. гр. С2ℎ6(С2/с) при Т = 298 К
Состав | Параметры элементарной ячейки | |||
а, Å | b, Å | c, Å | β, град | |
TlInS2 (TlInS2)0.8(TlGaSe2)0.2 (TlInS2)0.6(TlGaSe2)0.4 TlGaSe2 | 10.942 10.720 10.866 10.722 | 10.484 10.738 10.703 10.722 | 15.606 15.493 15.531 15.636 | 100.7 100.7 100.6 100.6 |
На рис. 2 приведены частотные зависимости действительной части комплексной диэлектрической проницаемости εʹ(f) монокристаллов (TlInS2)1-х(TlGaSe2)х. Форму наблюдаемой частотной зависимости εʹ(f) для твердых растворов (TlInS2)1-х(TlGaSe2)х в отличие от зависимости εʹ(f) для TlInS2 можно объяснить наличием у твердых растворов двух времен релаксации [20], тогда как TlInS2 характеризуется одним временем релаксации. Видно, что с ростом х значение εʹ для образцов (TlInS2)1-х(TlGaSe2)х увеличивается. На рис. 3 показана зависимость εʹ от состава изученных твердых растворов при частоте f = = 5 × 104 Гц.
Рис. 2. Частотные зависимости действительной составляющей (εʹ) комплексной диэлектрической проницаемости монокристаллов твердых растворов (TlInS2)1-х(TlGaSe2)х при х = 0 (1), 0.1 (2), 0.2 (3), 0.4 (4) (Т = 300 К).
Рис. 3. Зависимость действительной составляющей (εʹ) комплексной диэлектрической проницаемости монокристаллов (TlInS2)1-х(TlGaSe2)х от их состава при частоте электрического поля f = 5 × 104 Гц.
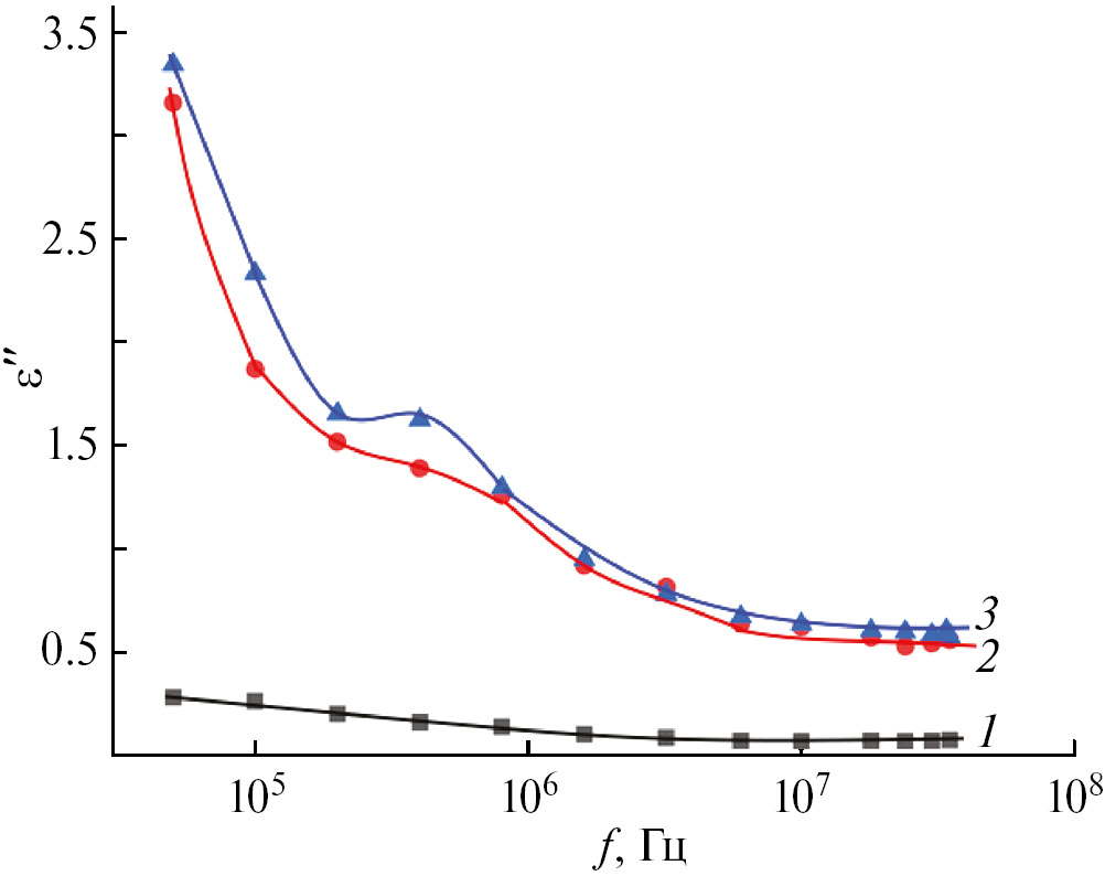
На рис. 4 приведены частотные зависимости мнимой составляющей комплексной диэлектрической проницаемости монокристаллов (TlInS2)1-х(TlGaSe2)х (х = 0, 0.1 и 0.2). Величина εʺ твердых растворов (кривые 2 и 3) претерпевала существенную частотную дисперсию по сравнению с частотной зависимостью εʺ(f) монокристалла TlInS2 (кривая 1). Эта величина уменьшалась в 5.7 раз при х = 0.1 и в 5.9 раз при х = 0.2 по мере увеличения частоты от 5 × 104 до 3.5 × 107 Гц. При этом значения εʺ твердых растворов (TlInS2)1-х(TlGaSe2)х (х = 0.1 и 0.2) не сильно отличались друг от друга, но более чем на порядок (в 12–13 раз) превышали значение εʺ монокристалла TlInS2 при f = 5 × 104 Гц. По мере увеличения частоты это отличие уменьшалось и при f = 3.5 × 107 Гц было примерно в 8 раз. Данные по частотной зависимости мнимой составляющей комплексной диэлектрической проницаемости для образца с x = 0.4 не приведены на рис. 4 в силу того, что полученная зависимость εʺ(f) для x = 0.4 почти сливалась с кривой 3 для образца с х = 0.2.
Рис. 4. Частотные зависимости мнимой составляющей (εʺ) комплексной диэлектрической проницаемости монокристаллов (TlInS2)1-х(TlGaSe2)х при х = 0 (1), 0.1 (2), 0.2 (3) (Т = 300 К).
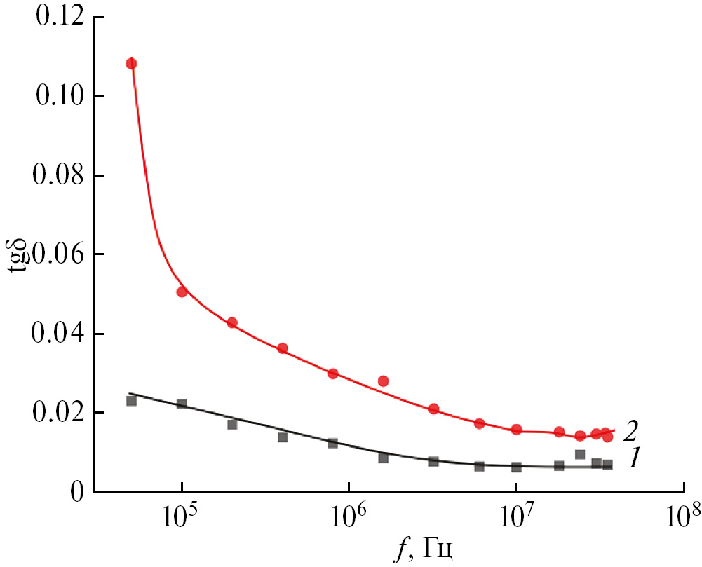
На рис. 5 представлены частотные зависимости тангенса угла диэлектрических потерь (tgδ) в монокристалле TlInS2 (кривая 1) и твердом растворе (TlInS2)0.6(TlGaSe2)0.4 (кривая 2). Зависимости tgδ (f) для твердых растворов (TlInS2)1-х(TlGaSe2)х с х = 0.1 и 0.2 располагались между кривыми 1 и 2. Во всех случаях кривые tgδ (f) носили спадающий характер с увеличением частоты, что свидетельствует о потерях сквозной проводимости [20] в кристаллах (TlInS2)1-х(TlGaSe2)х. С увеличением концентрации TlGaSe2 диэлектрические потери в кристаллах (TlInS2)1-х(TlGaSe2)х возрастали.
Рис. 5. Зависимости тангенса угла диэлектрических потерь в монокристаллах (TlInS2)1-х(TlGaSe2)х от частоты при х = 0 (1), 0.4 (2) (Т = 300 К).
На рис. 6 приведены частотные зависимости проводимости на переменном токе (ас-проводимость) монокристаллов (TlInS2)1-х(TlGaSe2)х. Для монокристалла TlInS2 зависимость σac(f) состояла из длинного участка σac ~ f 0.8 вплоть до частоты f = 107 Гц, сменяющегося суперлинейной областью при дальнейшем увеличении частоты до f = 3.5 × 107 Гц. В твердых растворах (TlInS2)1-х(TlGaSe2)х проводимость вначале слабо зависела от частоты. Начиная с f = 105 Гц и вплоть до 107 Гц зависимость σac(f) описывалась закономерностью σac ~ f 0.8, переходящей затем в суперлинейный участок. Значения ас-проводимости твердых растворов (TlInS2)1-х(TlGaSe2)х мало отличались друг от друга, но почти на порядок превышали σac монокристаллов TlInS2.
Рис. 6. Проводимость на переменном токе (ас-проводимость) монокристаллов (TlInS2)1-х(TlGaSe2)х при х = 0 (1), 0.1 (2), 0.4 (3) (Т = 300 К).
Вид экспериментальной зависимости sac ~ f 0.8 для твердых растворов (TlInS2)1-х(TlGaSe2)х свидетельствует о прыжковом переносе заряда между локализованными в запрещенной зоне состояниями. Это могут быть состояния, локализованные как вблизи краев разрешенных зон, так и вблизи уровня Ферми [21]. В силу того, что в экспериментальных условиях проводимость по состояниям вблизи уровня Ферми всегда доминирует над проводимостью по состояниям вблизи краев разрешенных зон, полученный нами закон sac ~ f 0.8 отражает прыжковый механизм переноса в окрестности уровня Ферми [18, 22]:
(1)
где e – заряд электрона, k – постоянная Больцмана, Т – температура, NF – плотность локализованных состояний вблизи уровня Ферми, a = 1/a – радиус локализации, a – постоянная спада волновой функции локализованного носителя заряда y ~ e–ar, nph – фононная частота.
Согласно формуле (1), ac-проводимость зависит от частоты как f [ln(νph/f)]4. Используемый нами диапазон частот соответствует условию f << nph. При этом условии величина sac приблизительно пропорциональна f 0.8. С помощью формулы (1) по экспериментально найденным значениям σac(f) вычислили плотность состояний на уровне Ферми: NF для монокристаллов (TlInS2)1-х(TlGaSe2)х были близки и составляли NF = 1.6 × 1019 эВ–1см–3. Полученное значение NF в (TlInS2)1-х(TlGaSe2)х было больше, чем в TlInS2 (5.8 × 1018 эВ-1см–3), а также на порядок превышало значение в твердых растворах (TlGaSe2)1-х(TlInS2)х на основе TlGaSe2 [18]. При вычислениях NF для радиуса локализации в кристаллах (TlInS2)1-х(TlGaSe2)х взято значение a = 14 Å, а nph = 1012 Гц по аналогии с монокристаллом TlInS2 [5].
Теория прыжковой проводимости на переменном токе позволяет определить среднее расстояние прыжков (R) носителей заряда между локализованными состояниями по следующей формуле [21]:
(2)
Полученные по формуле (2) значения R для кристаллов (TlInS2)1-х(TlGaSe2)х составляли R = = 86 Å, что примерно в 6 раз превышает среднее расстояние между центрами локализации носителей заряда в изученных кристаллах.
Из формулы
t–1 = nph · exp(–2aR) (3)
определено среднее время прыжков носителей заряда в кристаллах (TlInS2)1-х(TlGaSe2)х, которое составило τ = 2 × 10-7 с.
Формула [21]
(4)
позволила оценить энергетический разброс локализованных в окрестности уровня Ферми состояний: ∆Е = 47 мэВ.
На рис. 7 показаны концентрационные зависимости ас-проводимости твердых растворов (TlInS2)1-х(TlGaSe2)х различных составов как со стороны TlInS2, так и со стороны TlGaSe2 при f = 5 × 104 Гц. Видно, что все составы твердых растворов имеют мало различающиеся значения ас-проводимости. При этом в твердых растворах (TlInS2)1-х(TlGaSe2)х на основе TlInS2 с увеличением х ас-проводимость увеличивалась примерно на порядок. На рис.7 данные по составам со стороны TlGaSe2 – это результаты нашей предыдущей работы [18]. В (TlGaSe2)1-х(TlInS2) на основе TlGaSe2 увеличение концентрации TlInS2 приводило к уменьшению на порядок значения σac. Это связано с тем, что проводимость монокристаллов TlInS2 примерно на два порядка ниже, чем проводимость TlGaSe2, поэтому добавление TlGaSe2 в TlInS2 увеличивает проводимость полученных твердых растворов (TlInS2)1-х(TlGaSe2). Соответственно, добавление TlInS2 в TlGaSe2 уменьшает проводимость.
Рис. 7. Зависимость ас-проводимости твердых растворов (TlInS2)1-х(TlGaSe2)х от состава при f = 5 × × 104 Гц.
ЗАКЛЮЧЕНИЕ
Синтезированы и выращены полупроводниковые монокристаллы исходных тройных соединений и твердых растворов (TlInS2)1-х(TlGaSe2)х (х = 0, 0.1, 0.2, 0.4, 1.0) с пр. гр. С2ℎ6(С2/с) при Т = 298 К и моноклинной структурой. Результаты измерений в диапазоне f = 5 × 104–3.5 × × 107 Гц частотных зависимостей действительной (εʹ) и мнимой (εʺ) частей комплексной диэлектрической проницаемости, тангенса угла диэлектрических потерь (tgδ) и проводимости на переменном токе (σac) от состава кристаллов (TlInS2)1-х(TlGaSe2)х показывают, что они изменяются закономерно. В изученных кристаллах имеют место потери на электропроводность.
Установлен прыжковый механизм переноса заряда по локализованным в окрестности уровня Ферми состояниям в образцах (TlInS2)1–x(TlInS2)x (х = 0.1, 0.2, 0.4). Рассчитанная плотность локализованных состояний (NF) в твердых растворах на основе TlInS2 (NF = 1.6 × × 1019 эВ–1см–3) выше, чем вTlInS2 (NF = 5.8 × × 1018 эВ–1см-3) и TlGaSe2 NF = 7.5 × × 1018 эВ-1см–3). При этом средние значения времени ( τ = 2 × 10–7 с ) и расстояния (R = 86 Å)прыжков, а также энергетический разброс локализованных состояний в окрестности уровня Ферми ∆E = 47 мэВ) в твердых растворах (х = 0.1, 0.2, 0.4) по сравнению с TlInS2 почти не претерпевали изменений. С увеличением концентрации TlGaSe2 значения εʹ, εʺ, tgδ и σac в твердых растворах увеличиваются, также увеличивается частотная дисперсия этих диэлектрических параметров.
ФИНАНСИРОВАНИЕ РАБОТЫ
Настоящая работа выполнена при частичной поддержке Фонда развития науки при президенте Азербайджанской Республики (проект EİF-BGM-4-RFTFl/2017-21/05/l-M-07) и Российского фонда фундаментальных исследований (проект 18-57-06001 № Az_a 2018).
КОНФЛИКТ ИНТЕРЕСОВ
Авторы заявляют, что у них нет конфликта интересов.
About the authors
С. Н. Мустафаева
Институт физики Министерства науки и образования Азербайджана
Author for correspondence.
Email: solmust@gmail.com
Azerbaijan, AZ 1143 Баку, пр. Г. Джавида, 131
С. М. Асадов
Научно-исследовательский институт «Геотехнологические проблемы нефти, газа и химия» Министерства науки и образования Азербайджана; Институт катализа и неорганической химии им. М.Ф. Hагиева Министерства науки и образования Азербайджана
Email: solmust@gmail.com
Azerbaijan, AZ 1010 Баку, пр. Азадлыг, 20; AZ 1143 Баку, пр. Г. Джавида, 113
М. М. Годжаев
Сумгаитский государственный университет Министерства науки и образования Азербайджана
Email: solmust@gmail.com
Azerbaijan, AZ 5008 Сумгаит, ул. Бадалбейли, 43
References
- Плющ О. Б., Шелег А.У. Политипизм и фазовые переходы в кристаллах TlInS2 и TlGaSe2 // Кристаллография. 1999. Т. 44. № 5. С. 873-877. https://doi.org/10.1134/1.171106
- Шелег А.У., Шевцова В.В., Гуртовой В.Г., Мустафаева С.Н. Низкотемпературные рентгенографические исследования монокристаллов TlInS2, TlGaS2 и TlGaSe2 // Поверхность, рентгеновские, синхротронные и нейтронные исследования. 2013. № 11. С. 39-42.
- Mustafaeva S.N. The Interlayer Energy Barrier in the Anisotropic TlBIIIC2VI Monocrystals // Fizika. 2005. V. 11. № 1-2. P. 36-37.
- Мустафаева С.Н., Асадов М.М. Температурная зависимость степени анизотропии проводимости слоистых монокристаллов TlBIIICVI2 (BIII = In, Ga; CVI = S, Se) // Энциклопедия инженера-химика. 2010. № 8. С. 26-29.
- Мустафаева С.Н., Асадов М.М., Исмайлов А.А. Влияние γ-облучения на диэлектрические свойства и ас-проводимость монокристалла TlInS2 // ФТТ. 2009. Т. 51. № 11. С. 2140-2143.
- Korolik O.V., Kaabi S.A.D., Gulbinas K., Mazanik N.V., Drozdov N.A., Grivickas V. Band Edge Photoluminescence of Undoped and Doped TlInS2 Layered Crystals // J. Lumin. 2017. V. 187. P. 507–512. https://doi.org/10.1016/j.jlumin.2017.03.065
- Asadov S.M., Mustafaeva S.N., Mammadov A.N., Lukichev V.F. Modeling of Structural Properties and Transport Phenomena in Doped Multicomponent 2D Semiconductors // Rus. Microelectron. 2024. V. 53. No 6. P. 519-542. https://doi.org/10.1134/S106373972460081X
- Borovyi M., Gololobov Y.P., Isaieva K., Isaiev M. The Effect of X‐Ray Irradiation on Conductivity of C and 2C Polytype TlInS2 Ferroelectrics // Phys. Status Solidi B. 2021. V. 258. P. 2000556. https://doi.org/10.1002/pssb.202000556
- Tashmetov M.Yu., Khallokov F.K., Ismatov N.B., Yuldashova I.I., Nuritdinov I., Umarov S.Kh. Study of the Influence of Electronic Radiation on the Surface, Structure and Raman Spectrum of a TlInS2 Single Crystal // Phys. B: Condens. Matter. 2021. V. 613. P. 412879. https://doi.org/10.1016/j.physb.2021.412879
- Мустафаева С.Н., Мамедбейли С.Д., Асадов М.М., Мамедбейли И.А., Ахмедли К.М. Релаксационные электронные процессы в монокристаллах TlGaSe2 // ФТП. 1996. Т. 30. № 12. С. 2154-2158.
- Мустафаева С.Н. Дисперсия комплексной диэлектрической проницаемости и проводимости монокристаллов TlGaSe2 при радиочастотах // Журн. радиоэлектроники. 2015. № 1. С. 1-11.
- Мустафаева С.Н., Асадов М.М., Исмайлов А.А. Радиационные эффекты в монокристаллах TlGaSe2 // Прикладная физика. 2012. № 3. С. 19-23.
- Шелег А.У., Иодковская К.В., Курилович Н.Ф. Влияние g-облучения на электропроводность и диэлектрические свойства кристаллов TlGaSe2 при низких температурах // ФТТ. 1998. Т. 40. Вып. 7. С. 1328-1331.
- Li H., Wu X., Liu, H., Zheng B., Zhang Q., Zhu X., Wei Z., Zhuang X., Zhou H., Tang W., Duan X., Pan A. Composition-Modulated Two-Dimensional Semiconductor Lateral Heterostructures via Layer-Selected Atomic Substitution // ACS Nano. 2017. V. 11. № 1. P. 961–967. https://doi.org/10.1021/acsnano.6b07580
- Рустамов П.Г., Абдуллаева С.Г., Алиев О.М., Годжаев М.М., Наджафов А.И., Сеидов Ф.М. Взаимодействие тройных таллиевых халькогенидов галлия и индия // Изв. АН СССР. Неорган. материалы. 1983. Т. 19. № 3. С. 479-481.
- Гусейнов Г.Д., Абдинбеков С.С., Годжаев М.М., Агамалиев Д.Г. Параметры элементарной ячейки твердых растворов (TlGaSe2)1-х(TlInS2)х // Изв. АН СССР. Неорган. материалы. 1988. Т. 24. № 1. С. 144-145.
- Курбанов М.М., Годжаев М.М., Мамедов С.Д., Магеррамов А.Б., Мамедов Э.Г. Корреляция между тепловым расширением, изотермической сжимаемостью и фотопроводимостью в твердых растворах (TlGaSe2)1–х(TlnS2)х (x = 0.1, 0.2) // Неорган. материалы. 2012. T. 48. № 8. C. 884-886.
- Мустафаева С.Н., Асадов C.М., Годжаев М.М., Магеррамов А.Б. Комплексная диэлектрическая проницаемость и проводимость твердых растворов (TlGaSe2)1-х(TlInS2)x в переменных электрических полях // Неорган. материалы. 2016. T. 52. № 11. C. 1168-1174.
- Мустафаева С.Н. Методика измерения проводимости высокоомных материалов на переменном токе // Все материалы. Энциклопедический справочник. 2016. № 10. С. 74-79.
- Пасынков В.В. Сорокин В.С. Материалы электронной техники. 6-е изд. СПб.; М.; Краснодар: Лань, 2004. 368 с.
- Mott N.F., Davis E.A. Electronic Processes in Non-Crystalline Materials. OUP Oxford, 2012. 590 p. ISBN: 9780199645336
- Pollak M. Frequency Dependence of Conductivity in Amorphous Solids // Phil. Mag. 1971. V. 23. P. 519–542. https://doi.org/10.1080/14786437108216402
Supplementary files









