Синтез пленок TiSiN методом реактивного магнетронного распыления при комнатной температуре
- Authors: Суляева В.С.1, Сыроквашин M.M.1, Кожевников A.К.1, Ермакова E.Н.2
-
Affiliations:
- Институт неорганической химии им. А.В. Николаева СО Российской академии наук
- Институт неорганической химии им. А.В. Николаева СО Российской академии наук пр. Академика Лаврентьева, 3, Новосибирск, 630090
- Issue: Vol 60, No 2 (2024)
- Pages: 164–174
- Section: Articles
- URL: https://bakhtiniada.ru/0002-337X/article/view/274490
- DOI: https://doi.org/10.31857/S0002337X24020044
- EDN: https://elibrary.ru/LITLQF
- ID: 274490
Cite item
Full Text
Abstract
Методом реактивного магнетронного распыления катода смешанного состава TiSi (10%) при комнатной температуре получены образцы TiSiN. Исследование методами рентгенофазового и элементного анализа и рентгеновской фотоэлектронной спектроскопии показало формирование аморфной фазы с включениями нанокристаллов TiN с преобладанием кристаллографической плоскости (200) без включений нитрида кремния. Полученные образцы обладают твердостью до 31 ГПа. Отжиг при 500°С в условиях вакуума в течение 1 ч привел к увеличению степени окристаллизованности пленки без изменения преимущественной ориентации. Исследование дифрактограмм образцов, отожженных на воздухе при температурах 500 и 700°С, продемонстрировало устойчивость полученных пленок TiSiN к окислению при умеренных температурах.
Keywords
Full Text
ВВЕДЕНИЕ
В последние десятилетия большое внимание уделяется исследованию различных покрытий на основе нитридов переходных металлов. Бинарные и тройные системы, такие как TiN, AlCrN, CrN и др., нашли широкое применение в различных областях промышленности благодаря уникальным функциональным свойствам, среди которых можно выделить высокую износостойкость, твердость, устойчивость к воздействию факторов коррозии и эрозии, хорошую проводимость, тугоплавкость, химическую стабильность. Это позволяет выделить основные области использования подобных материалов: износостойкие покрытия на металлообрабатывающем инструменте, материалы полупроводниковой техники, различные диффузионные барьеры, защитные и противокоррозионные покрытия [1–5].
Среди пленок нитридов переходных металлов TiN наиболее широко изучен. Нитрид титана имеет кубическую гранецентрированную решетку типа NaCl и представляет собой фазу внедрения с содержанием азота, варьирующимся от 37.5 до 50 ат.%. Особая распространенность покрытия TiN обусловлена легкостью его получения, а также сочетанием эстетических и защитных свойств. Так, пленки нитрида титана позволяют значительно увеличить срок службы режущего инструмента. Особый интерес представляет возможность их использования в трущихся парах без жидкой смазки [6, 7]. Благодаря своей твердости, пластичности и биосовместимости они широко применяются для защиты поверхности различных типов протезов [8]. Тем не менее, наряду со всеми достоинствами данного материала существует ряд недостатков. Склонность нитрида титана к образованию колончатых структур вызывает повышение хрупкости материала. В то же время для синтеза высококачественных стехиометрических покрытий нитрида титана необходимы особые требования к атмосфере реакционной среды. Присутствие значительной концентрации кислорода в реакционной камере приводит к преимущественному осаждению оксидов и оксинитридов титана нестехиометрического состава [9].
Одним из путей решения приведенных проблем является переход от бинарной системы Ti–N к многокомпонентным пленкам. Добавление элементов в состав покрытия, таких как кремний, хром, алюминий, позволяет значительно повысить его эксплуатационные характеристики, обеспечивая высокую термическую и окислительную стабильность и коррозионную стойкость наряду с высокой твердостью [10]. Введение аморфизирующих добавок (SiNx) препятствует образованию столбчатой структуры за счет формирования аморфных прослоек нитрида кремния между кристаллитами фазы TiN [11]. Содержание кремния в составе пленок TiSiN во многом определяет их структуру, механические свойства и устойчивость к окислению. В работе [12] были сопоставлены физико-механические и адгезионные характеристики пленок TiN и TiSiN, полученных методом магнетронного распыления. Показано, что введение кремния на уровне 5 ат.% приводит к значительному улучшению твердости: 40 ГПа для TiSiN в сравнении с 28 ГПа для TiN. Более того, пленки TiSiN продемонстрировали большие критические нагрузки, необходимые для их отрыва от подложки. М. Бартосик и др. [13] исследовали зависимость твердости осаждаемых пленок TiSiN от содержания кремния. Авторами было показано, что введение Si на уровне 10 ат.% позволяет получать пленки наибольшей твердости 32 ГПа, при этом дальнейшее увеличение доли допанта снижает твердость. В работе [14] также показано существование оптимального содержания кремния в пленках для достижения наилучших механических характеристик. Наибольшее значение твердости 39 ГПа было получено для пленки TiSiN с содержанием кремния 8 ат.%. Авторами было установлено, что с возрастанием доли кремния происходит изменение структуры пленок. В области его низких концентраций наблюдается столбчатый рост кристаллитов TiN, с увеличением содержания Si происходит уменьшение размера колонн. Если содержание кремния выше оптимального, наблюдается образование слишком мелких зерен TiN, а наличие избытка аморфного нитрида кремния приводит к уменьшению твердости.
Помимо этого, при изменении состава пленок наблюдается смена ориентации образующихся кристаллитов. В работе [15] исследованы пленки в более широком диапазоне содержания Si. Показано, что при увеличении содержания кремния до 25 ат.% происходят изменение структуры пленки и переход от твердого раствора включения TixSi1–xN с плотной колончатой структурой и преимущественной ориентацией (111) к двухфазной системе, содержащей (002)-ориентированные мелкие кристаллиты TiN, распределенные в матрице SiNx. Различие в значениях приведенных выше механических характеристик при оптимальной концентрации кремния может быть объяснено вариацией содержания примеси кислорода в составе пленок, которая в свою очередь зависит от уровня вакуума в реакционной камере.
Что касается окислительной устойчивости пленок TiSiN, наблюдается обратная зависимость от содержания кремния. Исследования механизма окисления нитрида титана показали [16], что деградация пленок протекает преимущественно по границам зерен TiN. В работе [17] показано, что введение избытка Si позволяет увеличить устойчивость покрытия к окислению вследствие образования слоя оксида кремния, защищающего кристаллиты TiN от окисления. Авторами [18] была сопоставлена устойчивость к окислению пленок TiN и TiSiN с содержанием кремния 10 ат.% при нагреве до 900°С. Показано, что толщина окисленного слоя для допированного кремнием нитрида титана в 8 раз меньше, чем для бинарного TiN.
Пленки TiSiN получают как физическими (PVD), так и химическими (CVD) методами осаждения. Наибольшее распространение получили процессы вакуумно-дугового испарения [19, 20], реактивного магнетронного распыления [21–23], а также химическое [24, 25] и плазмохимическое [26, 27] осаждение из газовой фазы. Тем не менее, наиболее предпочтительным является метод магнетронного распыления. Во-первых, он позволяет избежать присутствия включений капельной фазы, значительно снижающих функциональные свойства, что характерно для покрытий, полученных в процессах вакуумно-дугового испарения. При этом скорости осаждения слоев в этих процессах сопоставимы. Во-вторых, он позволяет значительно уменьшить температуру синтеза пленок по сравнению с химическим осаждением из газовой фазы.
Целью работы являлось исследование особенностей формирования пленок TiSiN, полученных методом реактивного магнетронного распыления при комнатной температуре. В качестве катода была использована мишень TiSi смешанного состава с содержанием кремния 10%, являющимся, согласно литературным данным, оптимальным для осаждения пленок TiSiN. Изучено влияние состава исходной газовой смеси, отжига в вакууме и на воздухе на характеристики нанесенных слоев.
Экспериментальная часть
Пленки TiSiN осаждали на подложки из пластин кремния (100), германия (111) и подшипниковой стали ШХ-15. Подложки кремния были использованы для исследования поперечного скола образцов методом сканирующей электронной микроскопии (СЭМ), подложки германия – для определения элементного состава пленок методом энергодисперсионной спектроскопии (ЭДС). Все остальные исследования (СЭМ, рентгенофотоэлектронная спектроскопия (РФЭС) и тестирование механических характеристик) были проведены на пленках, осажденных на стальные подложки. Пластины стали были предварительно механически обработаны до шагреневой (2 типа) и зеркальной поверхностей. Шероховатость, определенная методом атомно-силовой микроскопии, составила 300, 80 и 10 нм. Перед осаждением слоя TiSiN подложки подвергались очистке, включающей этапы обезжиривания (для всех) и химического травления (для Si, Ge).
Осаждение пленки TiSiN проводили методом реактивного ВЧ-магнетронного распыления (13.56 МГц). В качестве катода была использована мишень диаметром 50.8 мм состава TiSi с содержанием кремния 10%. Перед проведением экспериментов осуществляли предраспыление мишени с закрытым плазменным отсекателем при мощности ВЧ-магнетрона 100 Вт в потоке аргона 60 см³/мин в течение 10 мин для очистки ее поверхности от загрязнений. Распыление мишени проводили при мощности генератора 150 Вт при комнатной температуре. Расстояние мишень–подложка составляло 40 мм. Осаждение проводили в атмосфере N₂+Ar. Аргон был использован для распыления мишени, а в качестве реактивного газа для осаждения азотсодержащих пленок применяли азот. Вакуумную камеру откачивали до остаточного давления 3×10–5 Торр. Расход азота варьировали от 0 до 30 см³/мин, содержание N₂ при этом составляло 0–50%. Суммарная скорость потока N₂+Ar во всех экспериментах поддерживалась равной 60 см³/мин. Рабочее давление в камере реактора составляло 4×10–3 Торр. Условия проведения экспериментов приведены в табл. 1.
Таблица 1. Параметры осаждения покрытий TiSiN
, см³/мин | , см³/мин | × 100% |
0 | 60 | 0 |
6 | 54 | 10 |
12 | 48 | 20 |
18 | 42 | 30 |
24 | 36 | 40 |
30 | 30 | 50 |
Примечание. tподл = 25°С, P = 150 Вт
Морфологию поверхности, толщину слоя, а также элементный состав пленок исследовали с использованием СЭМ JSM 6700F с приставкой EDS Bruker Quantax 200 с детектором X-Flash 6|60. Для картирования по элементному составу изучали область размером 24×18 мкм, размер пятна составлял 23 нм.
Фазовый состав пленок TiSiN, нанесенных на пластины подшипниковой стали ШХ-15, был исследован методом рентгеновской дифрактометрии с использованием дифрактометра Shimadzu XRD-7000 (CuKα-излучение, λ = 0.154051 нм). Измерения проводили в интервале углов Брэгга 7°–70°. Расшифровку дифрактограмм проводили согласно базе данных «Кристаллических структур неорганических соединений» (ICSD) [28].
Запись РФЭС проводили с использованием спектрометра ESCALAB 220i. Для возбуждения использовали немонохроматизированный алюминиевый источник с энергией линии AlKα, равной 1486.6 эВ. Выстраивание спектров по шкале энергий с учетом зарядки образцов выполняли по пику адсорбированных атомов углерода (Есв = 284.8 эВ).
Твердость пленок измеряли с использованием сканирующего нанотвердомера NanoScan-3D, снабженного алмазным индентором Берковича. Измерения проводились при нагрузках от 0.5 до 50 мН и глубине проникновения 50–860 нм. Калибровку инструмента и анализ данных проводили по методу Оливера–Фарра [29].
РЕЗУЛЬТАТЫ И ОБСУЖДЕНИЕ
Исследованы особенности процесса реактивного магнетронного распыления TiSi в газовой среде Ar⁺N₂ при пониженном давлении. Скорость роста пленок изменялась в зависимости от условий синтеза. При возрастании содержания N₂ в газовой фазе от 0 до 50% ее значение уменьшается от 35 до 23 нм/мин. Распыление в присутствии реактивного газа азота сопровождается образованием нитридного слоя на поверхности мишени [30], имеющего меньший коэффициент распыления по сравнению с чистой мишенью. Возрастание потока азота приводит к повышению степени покрытия мишени нитридным слоем, уменьшая скорость распыления катода, и, следовательно, скорость осаждения пленки. Сравнение с литературными данными показывает, что наблюдаемые скорости роста сопоставимы для подобного процесса [31, 32].
Рис. 1. Элементный состав пленок TiSiN в зависимости от содержания N₂ в исходной смеси (а); ЭДС-картирование по элементам (б).
Элементный состав пленок TiSiN/Ge изучали методом ЭДС. Выбор данной подложки обусловлен необходимостью исключения влияния характеристического излучения элементов подложки на определение концентрации Si в составе пленки. Спектры ЭДС подтвердили присутствие титана, кремния и азота (рис. 1а). Помимо этого, были детектированы пики, относящиеся к кислороду. Наличие кислорода в пленках обусловлено относительно низким вакуумом в камере и высоким сродством Ti к О. С ростом содержания азота в исходной смеси наблюдается нелинейное изменение элементного состава. Пленка, полученная без добавления азота в исходную газовую смесь, характеризовалась составом Ti0.67Si0.14N0.01O0.18. Присутствие азота в пленке объясняется остаточным давлением в камере. При добавлении в газовую фазу N₂ на уровне 10% содержание азота в пленке значительно возрастает, состав пленки становится Ti0.33Si0.11N0.46O0.11. Стоит отметить высокое содержание кремния: соотношение Si/Ti = 0.33 значительно превышает значение, полученное для мишени – Si/Ti = 0.11. Дальнейшее увеличение скорости потока N₂ в камере приводит к плавному возрастанию содержания азота в пленке. Так, при введении азота на уровне 50% осажденная пленка имела состав Ti0.27Si0.11N0.51O0.11. Методом ЭДС-картирования показано, что полученные слои обладают высокой однородностью распределения элементов по площади образца (рис. 1б).
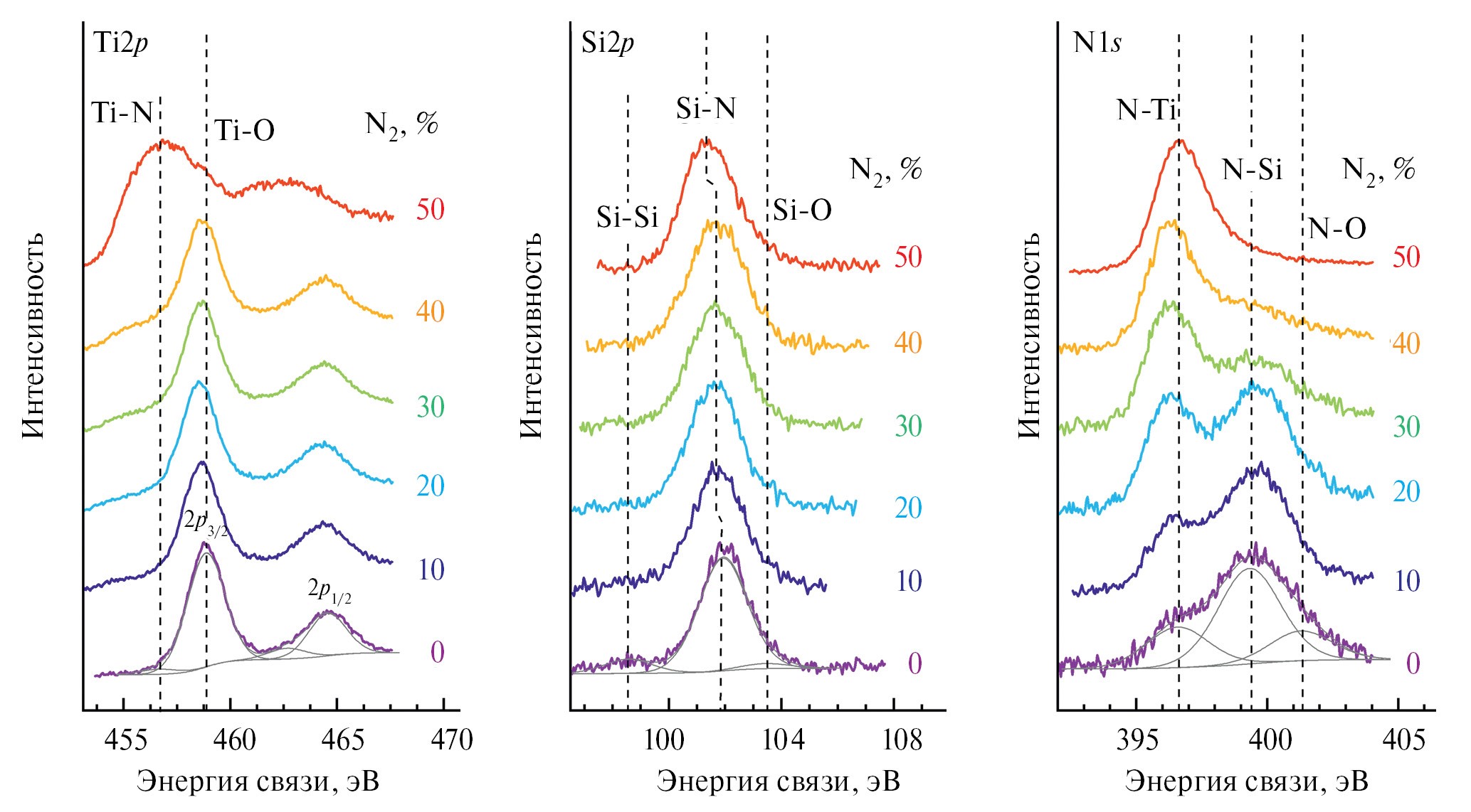
Рис. 2. Эволюция РФЭС Ti2p, Si2p, N1s пленок TiSiN при увеличении содержания N₂ в исходной смеси от 0 до 50%.
Методом РФЭС было исследовано химическое состояние поверхности пленок. На рис. 2 представлены РФЭС Ti2p, Si2p и N1s пленок TiSiN, полученных из различных газовых смесей. Фотоэлектронный спектр титана представляет собой спин-орбитальный дублет Ti2p3/2 и Ti2p1/2 c расстоянием между максимумами ~5.7 эВ. Низкоэнергетический компонент Ti2p3/2 с энергией ~455.8 эВ соответствует связи Ti–N в TiN [33, 34], в то время как компонент с энергией ~458.5 эВ соответствует связи Ti–O в TiO2 [34–36]. Увеличение концентрации азота при реактивном магнетронном распылении приводит к смещению линий титана в низкоэнергетическую область. В спектре пленки, полученной при содержании азота 50% в газовой смеси, преобладает компонент Ti–N. Фотоэлектронный спектр кремния Si2p во всех случаях представлен доминирующим компонентом с энергией ~101.6 эВ, соответствующим связи Si–N [34, 37]. В области больших энергий связи присутствует компонент Si–O (~103.1 эВ) [34], интенсивность которого уменьшается с ростом количества азота в камере. Кроме того, в спектрах образцов, синтезированных с 0–40% N₂, наблюдается низкоинтенсивный пик в области 98.9 эВ, который может указывать на формирование связи Si–Si [38] или Si–Ti в TiSi2 [37].
Фотоэлектронный спектр N1s представляет собой широкую линию, в которой можно выделить три компонента: N–Ti (~396.4 эВ), N–Si (~398.9 эВ) и N–O (~400.6 эВ) [34, 37, 38]. В спектре образца, синтезированного без добавления азота, доминирующим компонентом является N–Si. По мере добавления азота в газовую фазу интенсивность этого компонента наряду с N–O снижается, в то время как вклад компонента N–Ti значительно возрастает и становится доминирующим. Это свидетельствует о преимущественном формировании связей между атомами азота и титана при больших концентрациях азота в газовой фазе.
Таким образом, данные РФЭС указывают на наличие нитрида кремния в полученных пленках TiSiN, содержание которого значительно уменьшается при увеличении концентрации азота. Анализ методом РФЭС, как и ЭДС, показал присутствие кислорода в пленках, а также позволил уточнить характер его химического связывания. Согласно полученным результатам, кислород присутствует в основном в составе связей Ti–O, а также некоторого количества связей N–O. Наличие пиков, относящихся к кислородсодержащим связям, вызвано относительно невысоким вакуумом в камере, а также окислением поверхностного слоя пленок.
Рис. 3. Рентгеновские дифрактограммы образцов TiSiN, полученных при содержании N₂ в исходной смеси 0–50 %.
Результаты рентгенофазового анализа пленок TiSiN, полученных из различных газовых смесей, представлены на рис. 3. На дифрактограммах всех образцов зафиксированы рефлексы от стальной подложки, включающей несколько фаз: α-Fe (44.7°, 110; ICDD #52258), α-Fe₂O₃ (35.7, 110; 49.5, 024; ICDD #15840). Помимо этого, обнаружены рефлексы при углах Брэгга 42.7°, соответствующие индексам Миллера 200 гранецентрированной кубической решетки TiN (ICDD #1547). Данный сигнал имеет относительно низкую интенсивность при большой ширине, что может указывать на присутствие незначительного количества соответствующих нанокристаллов, распределенных в аморфной фазе. Это соотносится с модельными исследованиями [39], где было показано, что пленки TiSiN с содержанием кремния выше 10 ат.% имеют квази-аморфную структуру. Интенсивность данного пика возрастает с увеличением доли азота в составе исходной смеси. Стоит отметить, что рефлексы Si3N4 не обнаружены. Между тем, согласно данным РФЭС, связи между кремнием и азотом в пленке присутствуют. Совокупность этих данных указывает на аморфную природу включений нитрида кремния или же на образование тройного соединения Ti–Si–N аморфной природы.
Рис. 4. СЭМ-изображения пленки TiSiN, полученной при содержании азота в исходной газовой смеси 50%, на подложках различной шероховатости: 300 (а), 10 нм (б), а также скол образца (в).
Морфология поверхности полученных пленок была изучена с помощью СЭМ. На рис. 4 приведены изображения поверхности пленки, полученной при содержании азота в исходной смеси 50%, на подложках стали ШХ-15 различной шероховатости (300, 10 нм), а также поперечное сечение образца. Исследование образцов показало, что вне зависимости от типа подложки на поверхности имеются глобулярные образования размером 50–200 нм. Пленка равномерно покрывает подложку, повторяя ее форму. Поперечное сечение образца демонстрирует, что пленка не обладает колончатой структурой.
Механические свойства пленок были охарактеризованы методом наноиндентирования (рис. 5).
Рис. 5. Результаты наноиндентирования пленки TiSiN, полученной при содержании азота в исходной газовой смеси 50%, а также подложки стали ШХ-15.
Для проведения экспериментов были синтезированы образцы TiSiN толщиной 1.4 мкм. Исследования показали, что с увеличением азота в составе исходной смеси наблюдается повышение твердости пленок до 31.3 ГПа. Это, вероятно, обусловлено снижением доли аморфной фазы и формированием фазы TiN с высокими показателями механических характеристик.
Рис. 6. Дифрактограммы пленки TiSiN, полученной при содержании N₂ в исходной смеси 50%, после отжига в вакууме при 500°С (а), на воздухе при 500 (б) и 700°С (в) в сравнении с дифрактограммами Fe (ICDD #52258), Fe₂O₃ (ICDD #15840), TiN (ICDD #1547).
Исследовано поведение покрытия при высокотемпературном отжиге. На рис. 6 представлены дифрактограммы пленки TiSiN, осажденной из газовой смеси, содержащей 50% N₂, после отжига в вакууме при 500°С (а) и на воздухе при 500 (б) и 700°С (в). Дифрактограммы свидетельствуют о содержании в пленках единственной кристаллической фазы TiN, характеризующейся кубической решеткой, как до, так и после отжига. Наряду с рефлексами TiN для образцов, отожженных на воздухе, наблюдаются рефлексы α-Fe₂O₃ 113, 024, 116, 018, интенсивность которых возрастает в процессе отжига в результате окисления стальной подложки. При проведении высокотемпературной обработки в вакуумированной камере происходит значительное сужение рефлекса TiN 200, сопровождающееся увеличением его интенсивности, что указывает на возрастание кристалличности образца. В случае отжига пленки на воздухе в первые 10 мин, так же как при отжиге в вакууме, происходит увеличение интенсивности пика 200, однако при более длительном отжиге наблюдаются его уширение и уменьшение интенсивности, что, вероятно, вызвано разупорядочением кристаллической структуры. Рефлексы оксида титана не обнаружены, что указывает на его отсутствие в кристаллической форме, но не исключает образования аморфной фазы. Сопоставление данных ЭДС-анализа исходной пленки и образцов, отожженных на воздухе в течение 60 мин, показало увеличение содержания кислорода на 2 ат.% при температуре обработки 500°С и 14 ат.% при 700°С. Совокупность полученных данных указывает на то, что пленка довольно устойчива к окислительному отжигу при умеренных температурах.
ЗАКЛЮЧЕНИЕ
Методом реактивного ВЧ-магнетронного распыления при комнатной температуре получены образцы TiSiN на подложках кремния, германия и стали различной шероховатости. Совокупность данных рентгенофазового и элементного анализа, а также РФЭС позволила установить, что осажденные пленки являются аморфными и содержат незначительное количество частиц нитрида титана с преобладающей кристаллографической плоскостью (200), в то время как кремний присутствует в форме аморфной фазы нитрида кремния. После отжига образцов в вакууме при температуре 500°С в течение 1 ч наблюдается сохранение единственного рефлекса TiN 200 при увеличении кристалличности пленки, в то время как нитрид кремния остается аморфным. Отжиг на воздухе температуре 500°С приводит к незначительному изменению фазового и элементного составов.
Анализ морфологии поверхности образцов показал наличие глобулярных образований размером 50–200 нм. Пленка равномерно покрывает подложку, повторяя ее форму вне зависимости от шероховатости. С увеличением содержания азота в исходной смеси наблюдается повышение твердости до 31.3 ГПа, что, вероятно, обусловлено снижением доли аморфной фазы и формированием фазы TiN с хорошими механическими свойствами.
БЛАГОДАРНОСТЬ
Авторы благодарят И.В. Королькова и М.Н. Хомякова за помощь в исследовании образцов.
Авторы благодарят Министерство науки и высшего образования Российской Федерации.
ФИНАНСИРОВАНИЕ РАБОТЫ
Исследование выполнено за счет гранта Российского научного фонда № 22-79-00173, https://rscf.ru/project/22-79-00173/
КОНФЛИКТ ИНТЕРЕСОВ
Авторы заявляют, что у них нет конфликта интересов.
About the authors
В. С. Суляева
Институт неорганической химии им. А.В. Николаева СО Российской академии наук
Email: ermakova@niic.nsc.ru
Russian Federation, пр. Академика Лаврентьева, 3, Новосибирск, 630090
M. M. Сыроквашин
Институт неорганической химии им. А.В. Николаева СО Российской академии наук
Email: ermakova@niic.nsc.ru
Russian Federation, пр. Академика Лаврентьева, 3, Новосибирск, 630090
A. К. Кожевников
Институт неорганической химии им. А.В. Николаева СО Российской академии наук
Email: ermakova@niic.nsc.ru
Russian Federation, пр. Академика Лаврентьева, 3, Новосибирск, 630090
E. Н. Ермакова
Институт неорганической химии им. А.В. Николаева СО Российской академии наукпр. Академика Лаврентьева, 3, Новосибирск, 630090
Author for correspondence.
Email: ermakova@niic.nsc.ru
Russian Federation
References
- Aissani L., Alhussein A., Zia A.W., Mamba G., Rtimi S. Magnetron Sputtering of Transition Metal Nitride Thin Films for Environmental Remediation // Coatings. 2022. V. 12. P. 1746. https://doi.org/10.3390/coatings12111746
- Ma T., Hu J., Dong X. A Review of Physical Vapor Deposition Coatings for Rolling Bearings // Proc. IMech. Part J.: J Eng. Tribol. 2021. V. 236. P. 1–18. https://doi.org/10.1177/13506501211024106
- Скворцова С.В., Гвоздева О.Н., Шалин А.В., Степушин А.С., Сарычев С.М. Создание барьерных покрытий с помощью термической и термохимической обработки для формирования однонаправленных градиентных структур в двухфазных титановых сплавах // Журн. неорган. химии. 2021. T. 66. № 8. С. 1070–1076. https://doi.org/10.31857/S0044457X21080274
- Liu C., Leyland A., Bi Q., Matthews A. Corrosion Resistance of Multi-Layered Plasma-Assisted Physical Vapour Deposition TiN and CrN Coatings // Surf. Coat. Technol. 2001. V. 141. P. 164–173. https://doi.org/10.1016/S0257-8972(01)01267-1
- Navinsek B., Seal S. Transition Metal Nitride Functional Coatings // JOM. 2001. V. 53. P. 51–54. https://doi.org/10.1007/s11837-001-0072-1
- Bay N., Olsson D.D., Andreasen J.L. Lubricant Test Methods for Sheet Metal Forming // Tribol. Int. 2008. V. 41. P. 844–853. https://doi.org/10.1016/j.triboint.2007.11.017
- Podgornik B., Zajec B., Bay N., Vižintin J. Application of Hard Coatings for Blanking and Piercing Tools // Wear. 2011. V. 270. P. 850–856. https://doi.org/10.1016/j.wear.2011.02.013
- Rosu R.A., Serban V.A., Bucur A.I., Dragoş U. Deposition of Titanium Nitride and Hydroxyapatite-Based Biocompatible Composite by Reactive Plasma Spraying // Appl. Surf. Sci. 2012. V. 258. P. 3871–3876. https://doi.org/10.1016/j.apsusc.2011.12.049
- Guo W.P., Mishra R., Cheng C.W. Titanium Nitride Epitaxial Films as a Plasmonic Material Platform: Alternative to Gold // ACS Photonics. 2019. V. 6. P. 1848–1854. https://doi.org/10.1021/acsphotonics.9b00617
- Guha S., Bandyopadhyay A., Das S., Swain B.P. Investigation of Titanium Silicon Nitride: A Review // Advances in Electronics, Communication and Computing. Lecture Notes in Electrical Engineering/Eds. Kalam A., Das S., Sharma K. V. 443. Singapore: Springer, 2018. https://doi.org/10.1007/978-981-10-4765-7_18
- Chen Y.H., Polonsky I.A., Chung Y.W., Keer L.M. Tribological Properties and Rolling-Contact-Fatigue Lives of TiN/SiNx Multilayer Coatings // Surf. Coat. Technol. 2002. V. 154. P. 152–161. https://doi.org/10.1016/S0257-8972(02)00022-1
- Akhter R., Zhou Z., Xie Z., Munroe P. TiN Versus TiSiN Coatings in Indentation, Scratch and Wear Setting // Appl. Surf. Sci. 2021. V. 563. P. 150356. https://doi.org/10.1016/j.apsusc.2021.150356
- Bartosik M., Hahn R., Zhang Z.L., Ivanov I., Arndt M., Polcik P., Mayrhofer P.H. Fracture Toughness of Ti-Si-N Thin Films // Int. J. Refract. Met. Hard. Mater. 2018. V. 72. P. 78–82. https://doi.org/10.1016/j.ijrmhm.2017.12.015
- Li S., Deng J., Qin X., Ji C. Effects of Ti Target Current on Properties of TiSiN Coatings // Surf. Eng. 2017. V. 33. P. 578–584. https://doi.org/10.1080/02670844.2015.1125408
- Greczynski G., Patscheider J., Lu J., Alling B., Ektarawong A., Jensen J., Petrov I., Greene J.E., Hultman L. Control of Ti1−xSixN Nanostructure via Tunable Metal-Ion Momentum Transfer during HIPIMS/DCMS Co-Deposition // Surf. Coat. Technol. 2015. V. 280. P. 174–184. https://doi.org/10.1016/j.surfcoat.2015.09.001.
- Van Bui H., Groenland A. W., Aarnink A. A.I., Wolters R.A.M., Schmitz J., Kovalgin A.Y. Growth Kinetics and Oxidation Mechanism of ALD TiN Thin Films Monitored by In Situ Spectroscopic Ellipsometry // J. Electrochem. Soc. 2011. V. 158(3). P. H214–H220. http://dx.doi.org/10.1149/1.3530090
- Arab Pour Yazdi M., Lomello F., Wang J., Sanchette F., Dong Z., White T., Wouters Y., Schuster F., Billard A. Properties of TiSiN Coatings Deposited by Hybrid HiPIMS and Pulsed-DC Magnetron Co-Sputtering // Vacuum. 2014. V. 109. P. 43–51. https://doi.org/10.1016/j.vacuum.2014.06.023
- Gao Z., Malecka J.K., Bousser E., Zhang X., Chen Y., Liu H., Kelly P., Xiao P. Sputter-Deposited Nitrides for Oxidation Protection in a Steam Environment at High Temperatures // Thin Solid Films. 2019. V. 688. P. 137439. https://doi.org/10.1016/j.tsf.2019.137439
- Cheng Y.H., Browne T., Heckerman B. Nanocomposite TiSiN Coatings Deposited by Large Area Filtered Arc Deposition // J. Vacuum Sci. Technol. A. 2009. V. 27. P. 82–88. https://doi.org/10.1116/1.3043460
- Yang S.M., Chang Y.Y., Lin D.Y., Wang D.Y., Wu W. Mechanical and Tribological Properties of Multilayered TiSiN/CrN Coatings Synthesized by a Cathodic Arc Deposition Process // Surf. Coat. Technol. 2008. V. 202. P. 2176–2181. https://doi.org/10.1016/j.surfcoat.2007.09.004
- Mohammadpour E., Liew W.Y.H., Mondinos N., Altarawneh M., Lee S., Radevski, Minakshi M., Amri A., Jiang Z.T. Enhancement of Thermal and Mechanical Stabilities of Silicon Doped Titanium Nitride Coating by Manipulation of Sputtering Conditions // J. Mater. Res. Technol. 2022. V. 17. P. 1122–1131. https://doi.org/10.1016/j.jmrt.2022.01.039
- Miletić A., Panjan P., Čekada M., Kovačević L., Terek P., Kovač J., Dražič G., Škorić B. Nanolayer CrAlN/TiSiN Coating Designed for Tribological Applications // Ceram. Int. 2021. V. 47. P. 2022–2033. https://doi.org/10.1016/j.ceramint.2020.09.034
- Sateesh Kumar Ch., Saroj Kumar Patel. Performance Analysis and Comparative Assessment of Nano-Composite TiAlSiN/TiSiN/TiAlN Coating in Hard Turning of AISI 52100 Steel // Surf. Coat. Technol. 2018. V. 335. P. 265–279. https://doi.org/10.1016/j.surfcoat.2017.12.048
- Endler I., Höhn M., Schmidt J., Scholz S., Herrmann M., Knaut M. Ternary and Quarternary TiSiN and TiSiCN Nanocomposite Coatings Obtained by Chemical Vapor Deposition // Surf. Coat. Technol. 2013. V. 215. P. 133–140. https://doi.org/10.1016/j.surfcoat.2012.10.067
- Perez-Mariano J., Lau K.H., Sanjurjo A., Caro J., Casellas D., Colominas C. TiSiN Nanocomposite Coatings by Chemical Vapor Deposition in a Fluidized Bed Reactor at Atmospheric Pressure (AP/FBR-CVD) // Surf. Coat. Technol. 2006. V. 201. P. 2217–2225. https://doi.org/10.1016/j.surfcoat.2006.03.029
- Park I.W., Kim K.H. Coating Materials of TiN, Ti–Al–N, and Ti–Si–N by Plasma-Enhanced Chemical Vapor Deposition for Mechanical Applications // J. Mater. Proc. Technol. 2002. V. 130–13. P. 254–259. https://doi.org/10.1016/S0924-0136(02)00807-5
- Bendavid A., Martin P., Cairney J., Hoffman M., Fischer-Cripps A.C. Deposition of Nanocomposite TiN-Si3N4 Thin Films by Hybrid Cathodic Arc and Chemical Vapor Process // Appl. Phys. A. 2005. V. 81. P. 151–158. https://doi.org/10.1007/s00339-004-2951-0
- Inorganic Crystal Structure Database. FIZ Karlsruhe. https://icsd.products.fiz-karlsruhe.de/
- Oliver W.C., Pharr G.M. An Improved Technique for Determining Hardness and Elastic Modulus Using Load and Displacement Sensing Indentation Experiments // J. Mater. Res. 1992. V. 7. P. 1564–1583. https://doi.org/10.1557/JMR.1992.1564
- Юрьев Ю.Н., Михневич К.С., Бордулев Ю.С., Киселева Д.В., Новиков В.А., Сиделев Д.В. Реактивное осаждение электропроводящих пленок нитрида титана // Изв. вузов. Физика. 2014. Т. 57. № 11/2. С. 165–169. http://vital.lib.tsu.ru/vital/access/manager/Repository/vtls:000512106
- Cavaleiro D., Carvalho S., Cavaleiro A., Fernandes F. TiSiN(Ag) Films Deposited by HiPIMS Working in DOMS Mode: Effect of Ag Content on Structure, Mechanical Properties and Thermal Stability // Appl. Surf. Sci. 2019. V. 478. P. 426–434. https://doi.org/10.1016/j.apsusc.2019.01.174
- Akhter R., Zhou Z., Xie Z, Munroe P. Influence of Substrate Bias on the Scratch, Wear and Indentation Response of TiSiN Nanocomposite Coatings // Surf. Coat. Technol. 2021. V. 425. P. 127687. https://doi.org/10.1016/j.surfcoat.2021.127687
- Vennemann A., Stock H.-R, Kohlscheen J., Rambadt S., Erkens G. Oxidation Resistance of Titanium–Aluminium–Silicon Nitride Coatings // Surf. Coat. Technol. 2003. V. 174–175. P. 408–415. https://doi.org/10.1016/S0257-8972(03)00407-9
- NIST X-ray Photoelectron Spectroscopy (XPS) Database, Version 3.5. Available online: https://srdata.nist.gov/xps/ (accessed on 14 November 2023).
- Zhou Z.F., Tam P.L., Shum P.W., Li K.Y. High Temperature Oxidation of CrTiAlN Hard Coatings Prepared by Unbalanced Magnetron Sputtering // Thin Solid Films. 2009. V. 517. P. 5243–5247. https://doi.org/10.1016/j.tsf.2009.03.115
- Ananthakumar R., Subramanian B., Kobayashi A., Jayachandran M. Electrochemical Corrosion and Materials Properties of Reactively Sputtered TiN/TiAlN Multilayer Coatings // Ceram. Int. 2012. V. 38. P. 477–485. https://doi.org/10.1016/j.ceramint.2011.07.030
- Veprek S., Niederhofer A., Moto K., Bolom T., Männling H.-D., Nesladek P., Dollinger G, Bergmaier A. Composition, Nanostructure and Origin of the Ultrahardness in nc-TiN/a-Si3N4/a- and nc-TiSi2 Nanocomposites with HV=80 to ≥105 GPa // Surf. Coat. Technol. 2000. V. 133–134. P. 152–159. https://doi.org/ 10.1016/S0257-8972(00)00957-9
- Deng Z.-W., Souda R. XPS Studies on Silicon Carbonitride Films Prepared by Sequential Implantation of Nitrogen and Carbon into Silicon // Diamond Relat. Mater. 2002. V. 11. P. 1676–1682. https://doi.org/10.1016/S0925-9635(02)00143-7
- Patscheider J., Zehnder T., Diserens M. Structure–Performance Relations in Nanocomposite Coatings // Surf. Coat. Technol. 2001. V. 146–147. P. 201–208. https://doi.org/10.1016/S0257-8972(01) 01389-5
Supplementary files








