Получение, структурные и электрофизические исследования керамических образцов твердых растворов со структурой перовскита (1 – 2x)BiScO3∙(2 – y)xPbTiO3∙yxPbMg1/3Nb2/3O3
- Авторлар: 1, 1, 1, 2, 3, 3
-
Мекемелер:
- МИРЭА – Российский технологический университет
- Институт металлургии и материаловедения им. А.А. Байкова Российской академии наук
- Казахский агротехнический исследовательский университет им. С. Сейфуллина
- Шығарылым: Том 59, № 12 (2023)
- Беттер: 1391-1401
- Бөлім: Articles
- URL: https://bakhtiniada.ru/0002-337X/article/view/252420
- DOI: https://doi.org/10.31857/S0002337X23120084
- EDN: https://elibrary.ru/VCOWWI
- ID: 252420
Дәйексөз келтіру
Толық мәтін
Аннотация
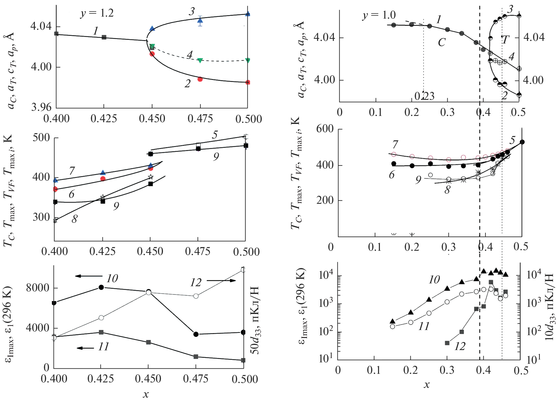
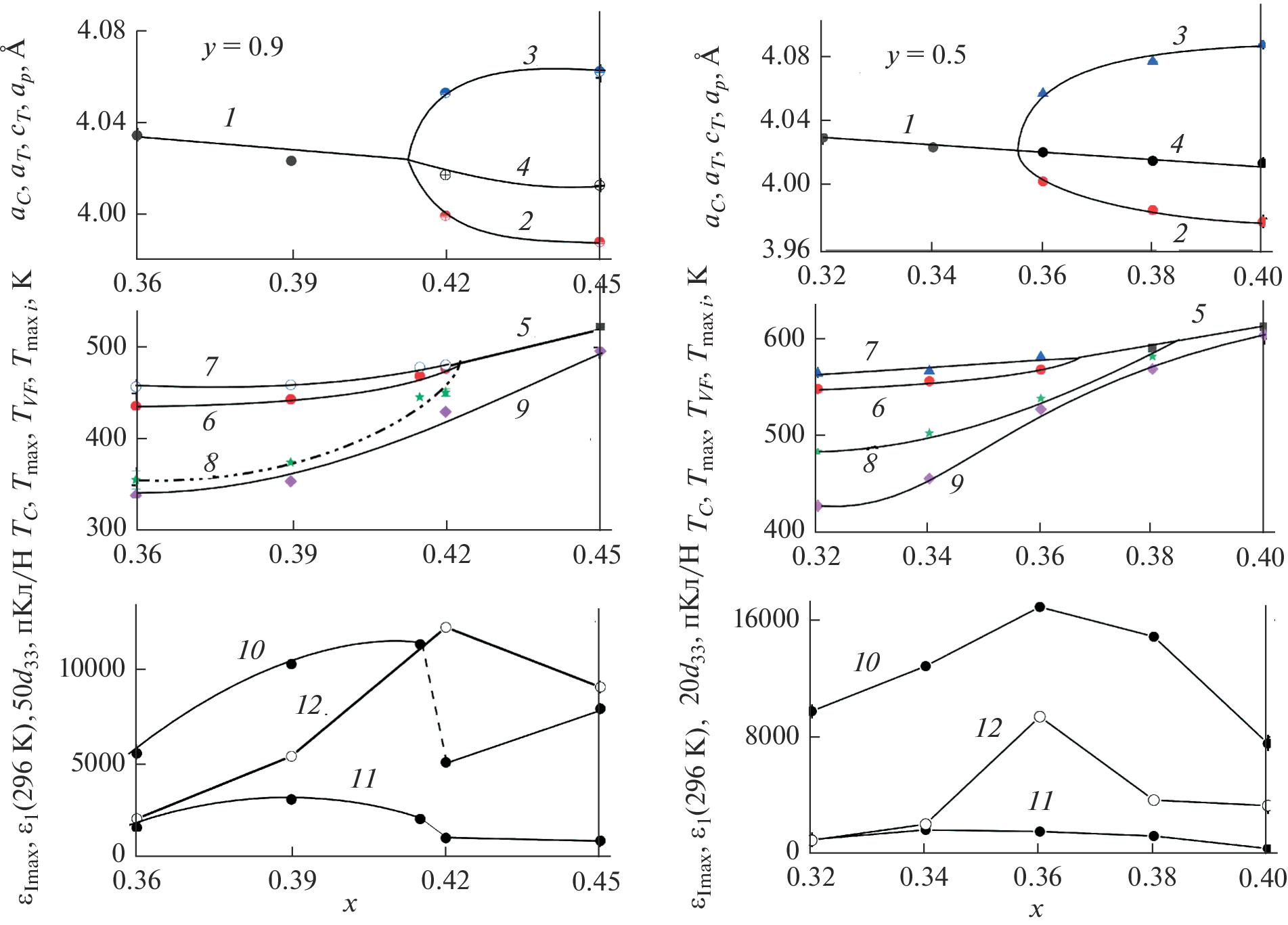
На синтезированных керамических образцах разрезов (1 – 2x)BiScO3·(2 – y)xPbTiO3∙yxPbMg1/3Nb2/3O3 с y = 1.2, 1.0, 0.9 и 0.5 тройной системы BiScO3–PbTiO3–PbMg1/3Nb2/3O3 (BS–PT–PMN) проведены рентгенодифракционные, диэлектрические и пьезоэлектрические исследования, а также изучены токи термостимулированной деполяризации. Установлено, что образцы при (1 – 2x) ≲ 0.5 представляют собой твердые растворы со структурой перовскита, их симметрия с ростом содержания BS повышается от тетрагональной до кубической, в промежуточной области составов (морфотропной области – МО) образцы состоят из смеси твердых растворов разной симметрии. Определены границы МО, получены данные об изменении диэлектрических и пьезоэлектрических свойств твердых растворов с изменением их состава.
Авторлар туралы
МИРЭА – Российский технологический университет
Email: aabush@yandex.ru
Россия, 119454, Москва, пр. Вернадского, 78
МИРЭА – Российский технологический университет
Хат алмасуға жауапты Автор.
Email: aabush@yandex.ru
Россия, 119454, Москва, пр. Вернадского, 78
МИРЭА – Российский технологический университет
Email: aabush@yandex.ru
Россия, 119454, Москва, пр. Вернадского, 78
Институт металлургии и материаловедения им. А.А. Байкова
Российской академии наук
Email: aabush@yandex.ru
Россия, 119334, Москва, Ленинский пр., 49
Казахский агротехнический исследовательский университет
им. С. Сейфуллина
Email: aabush@yandex.ru
Казахстан, 010011, Астана, пр. Женис, 62
Казахский агротехнический исследовательский университет
им. С. Сейфуллина
Email: aabush@yandex.ru
Казахстан, 010011, Астана, пр. Женис, 62
Әдебиет тізімі
- Handbook of Dielectric, Piezoelectric and Ferroelectric Materials: Synthesis, Properties and Applications / Ed. Ye Z.-G. N. Y.: Woodhead, 2008. 1096 p.
- Advanced Piezoelectric Materials. Science and Technology / Ed. Uchino K. 2nd Ed. N. Y.: Woodhead, 2017. 848 p.
- Kania A., Slodczyk A., Ujma Z. Flux Growth and Characterization of (1 – x)PbMg1/3Nb2/3O3 – xPbTiO3 Single Crystals // J. Cryst. Growth. 2006. V. 289. P. 134–139. https://doi.org/10.1016/j.jcrysgro.2005.11.009
- Stringer C.J., Donnelly N.J., Shrout T.R., Randall C.A., Alberta E.F., Hackenberger W.S. Dielectric Characteristics of Perovskite-Structured High-Temperature Relaxor Ferroelectrics: the BiScO3–Pb(Mg1/3Nb2/3)O3–PbTiO3 Ternary System // J. Am. Ceram. Soc. 2008. V. 91. № 6. P. 1781–1787. https://doi.org/10.1111/j.1551-2916.2008.02298.x
- Буш А.А., Каменцев К.Е., Лаврентьев А.М., Сегалла А.Г., Фетисов Ю.К. Диэлектрические и пьезоэлектрические свойства керамических образцов твердых растворов (1 – 2x)BiScO3·xPbTiO3·xPbMg1/3Nb2/3O3 (0.30 ≤ x ≤ 0.46) // Неорган. материалы. 2011. Т. 47. № 7. С. 865–871. https://doi.org/10.1134/S0020168511070065
- Буш А.А., Каменцев К.Е., Бехтин М.А., Сегалла А.Г. Сегнетоэлектрические-релаксорные свойства образцов системы. (1 – 2x)BiScO3·xPbTiO3· xPbMg1/3Nb2/3O3 (0.30 ≤ x≤ 0.46) // ФТТ. 2017. Т. 59. № 1. С. 36–44.
- Xie G. Structure and Electrical Properties of PMN–BS–PT Piezoelectric Ceramics // Symp. on Piezoelectricity, Acoustic Waves, and Device Applications (Oct. 27–30). Chengdu, Sichuan 2017. P. 537–540. https://doi.org/10.1109/SPAWDA.2017.8340285
- Talanov M.V., Bush A.A., Kamentsev K.E., Sirotinkin V.P., Segalla A.G. Structure-Property Relationships in BiScO3–PbTiO3–PbMg1/3Nb2/3O3 Ceramics Near the Morphotropic Phase Boundary // J. Am. Ceram. Soc. 2018. V. 101. № 2. P. 683–693. https://doi.org/10.1111/jace.15225
- Спицин А.И., Буш А.А., Каменцев К.Е., Сиротинкин В.П., Таланов М.В. Получение, структурные и электрофизические исследования сегнетокерамических образцов системы (1 – 2x)BiScO3· ·xPbTiO3·xPbMg1/3Nb2/3O3, 0 ≤ x ≤ 0.50 // Тонкие хим. технологии. 2019. Т. 14. № 3. С. 78–89. https://doi.org/10.32362/2410-6593-2019-14-3-78-89
- Noheda B., Cox D.E., Shirane G., Gao J., Ye Z.-G. Phase Diagram of the Ferroelectric Relaxor (1–x)PbMg1/3Nb2/3O3–xPbTiO3 // Phys. Rev. B. 2002. V. 66. P. 054104. https://doi.org/10.1103/PhysRevB.66.054104
- Eitel R., Zhang S., Shrout T., Randall C.A., Levin I. Phase Diagram of the Perovskite System (1–x)BiScO3–xPbTiO3 // J. Appl. Phys. 2004. V. 96. P. 2828–2831. https://doi.org/10.1063/1.1777810
- Chaigneau J., Kiat J.M., Malibert C., Bogicevic C. Morphotropic Phase Boundaries in (BiScO3)1–x(PbTiO3)x (0.60 < x < 0.75) and Their Relation to Chemical Composition and Polar Order // Phys. Rev. B. 2007. V. 76. P. 094111. https://doi.org/10.1103/PhysRevB.76.094111
- Inaguma Y., Miyaguchi A., Yoshida M., Katsumata T., Shimojo Y., Wang R., Sekiya T. High-Pressure Synthesis and Ferroelectric Properties in Perovskite-Type BiScO-3–PbTiO3 Solid Solution // J. Appl. Phys. 2004. V. 95. № 1. P. 231–235. https://doi.org/10.1063/1.1629394
- Bokov A., Ye Z.-G. Recent Progress in Relaxor Ferroelectrics with Perovskite Structure// J. Mater. Sci. 2006. V. 41. P. 31–52. https://doi.org/10.1142/S2010135X1241010X
- Kang B.S., Choi S.K., Park C.H. Diffuse Dielectric Anomaly in Perovskite-Type Ferroelectric Oxides in the Temperature Range of 400–700°C // J. Appl. Phys. 2003. V. 84. № 3. P. 1904–1911. https://doi.org/10.1063/1.1589595
Қосымша файлдар









