Теплофизические характеристики монокристаллов твердых растворов Ba1–x–yYbxRyF2+x+y (R = Tm, Ho)
- Authors: 1, 1, 1, 2, 3, 3, 1
-
Affiliations:
- Институт общей физики им. А.М. Прохорова Российской академии наук
- Брянский государственный университет им. И.Г. Петровского
- Институт физики и химии, Мордовский государственный университет им. Н.П. Огарева
- Issue: Vol 59, No 11 (2023)
- Pages: 1309-1317
- Section: Articles
- URL: https://bakhtiniada.ru/0002-337X/article/view/252409
- DOI: https://doi.org/10.31857/S0002337X23110088
- EDN: https://elibrary.ru/FSKSZT
- ID: 252409
Cite item
Full Text
Abstract
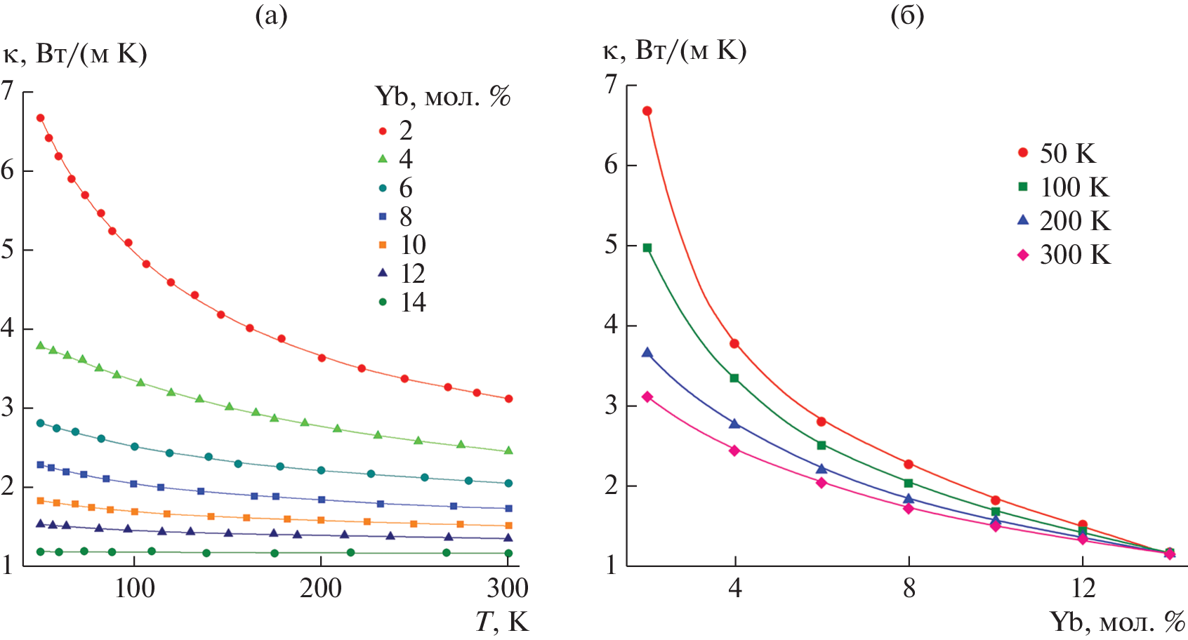
Методом Бриджмена в вакууме с использованием фторирующей атмосферы CF4 выращены монокристаллы твердых растворов Ba1–x–yYbxRyF2+x+y (R = Tm, Ho). Определены закономерности изменения коэффициента теплопроводности в диапазоне 50–300 K и показателя преломления от видимого до ИК-диапазона спектра. Теплопроводность полученных твердых растворов при комнатной температуре уменьшается с 3.39 до 1.18 и с 3.11 до 1.18 Вт/(м К) для R = Tm, Ho соответственно при увеличении концентрации иттербия от 2 до 14 мол. %. При повышении содержания гольмия и тулия в твердых растворах происходит постепенное увеличение показателя преломления, а при увеличении длины волны – его постепенное уменьшение.
About the authors
Институт общей физики им. А.М. Прохорова Российской академии наук
Author for correspondence.
Email: kouznetzovsv@gmail.com
Россия, 119991, Москва,
ул. Вавилова, 38, ГСП-1,
Институт общей физики им. А.М. Прохорова Российской академии наук
Email: kouznetzovsv@gmail.com
Россия, 119991, Москва,
ул. Вавилова, 38, ГСП-1,
Институт общей физики им. А.М. Прохорова Российской академии наук
Email: kouznetzovsv@gmail.com
Россия, 119991, Москва,
ул. Вавилова, 38, ГСП-1,
Брянский государственный университет им. И.Г. Петровского
Email: kouznetzovsv@gmail.com
Россия, 241036, Брянск,
ул. Бежицкая, 14
Институт физики и химии, Мордовский государственный университет
им. Н.П. Огарева
Email: kouznetzovsv@gmail.com
Россия, 430005, Саранск, ул. Большевистская, 68
Институт физики и химии, Мордовский государственный университет
им. Н.П. Огарева
Email: kouznetzovsv@gmail.com
Россия, 430005, Саранск, ул. Большевистская, 68
Институт общей физики им. А.М. Прохорова Российской академии наук
Email: kouznetzovsv@gmail.com
Россия, 119991, Москва,
ул. Вавилова, 38, ГСП-1,
References
- Brites C.D.S., Marin R., Suta M., Carneiro Neto A.N., Ximendes E., Jaque D., Carlos L.D. Spotlight on Luminescence Thermometry: Basics, Challenges, and Cutting-Edge Applications // Adv. Mater. 2023. V. 35. P. 2302749. https://doi.org/10.1002/adma.202302749
- Runowski M., Marciniak J., Grzyb T., Przybylska D., Shyich-uk A., Barszcz B., Katrusiak A., Lis S. Lifetime Nanomanometry – High-Pressure Luminescence of Up-Converting Lanthanide Nanocrystals – SrF2:Yb3+,Er3+ // Nanoscale. 2017. V. 9. P. 16030–16037. https://doi.org/10.1039/C7NR04353H
- Przybylska D., Ekner-Grzyb A., Grześkowiak B.F., Grzyb T. Upconverting SrF2 nanoparticles doped with Yb3+/Ho3+,Yb3+/Er3+ and Yb3+/Tm3+ Ions – Optimisation of Synthesis Method, Structural, Spectroscopic and Cytotoxicity Studies // Sci. Rep. 2019. V. 9. P. 8669. https://doi.org/10.1038/s41598-019-45025-1
- Sun L., Wei R., Feng J., Zhang H. Tailored Lanthanide-Doped Upconversion Nanoparticles and their Promising Bioapplication Prospects // Coord. Chem. Rev. 2018. V. 364. P. 10–32. https://doi.org/10.1016/j.ccr.2018.03.007
- Wolfbeis S. An Overview of Nanoparticles Commonly Used in Fluorescent Bioimaging // Chem. Soc. Rev. 2015. V. 44. P. 4743–4768. https://doi.org/10.1039/C4CS00392F
- Pominova D.V., Ryabova A.V., Romanishkin I.D., Grachev P.V., Burmistrov I.A., Kuznetsov S.V. Multifunctional Upconversion Nanoparticles Based on NaYGdF4 for Laser Induced Heating, Non-Contact Temperature Sensing and Controlled Hyperthermia with Use of Pulsed Periodic Laser Excitation // Saratov Fall Meeting 2017: Optical Technologies in Biophysics and Medicine XIX, SPIE. 2018. P. 334–340. https://doi.org/10.1117/12.2312484
- Weissleder R. A Clearer Vision for in vivo Imaging // Nat. Biotechnol. 2001. V. 19. P. 316–317. https://doi.org/10.1038/86684
- Janani K., Gayathri E., Vijayatha V., Ramasubramanian S., Thiyagarajan P. Emission Colour Tuning in KLnF4:Yb3+,Er3+/Ho3+ Phosphor // J. Rare Earths. 2023. https://doi.org/10.1016/j.jre.2023.02.014
- Arnold M., Katzmann J., Naik A., Görne A. L., Härtling T., George J., Schuster C. Investigations on Electron Beam Irradiated Rare-Earth Doped SrF2 for Application as Low Fading Dosimeter Material: Evidence for and DFT Simulation of a Radiation-Induced Phase // J. Mater. Chem. C. 2022. V. 10. P. 11579–11587. https://doi.org/10.1039/D2TC01773C
- Madirov E.I., Konyushkin V.A., Nakladov A.N., Fedorov P.P., Bergfeldt T., Busko D., Howard I.A., Richards B.S., Kuznetsov S.V., Turshatov A. An up-Conversion Luminophore with High Quantum Yield and Brightness Based on BaF2 :Yb3+,Er3+ Single Crystals // J. Mater. Chem. C. 2021. V. 9. P. 3493–3503. https://doi.org/10.1039/D1TC00104C
- Yagoub M.Y.A., Swart H.C., Coetsee E. Structural, Surface and Luminescent Properties of SrF2:Eu Annealed Thin Films // Vacuum. 2021. V. 191. P. 110362. https://doi.org/10.1016/j.vacuum.2021.110362
- Przybylska D., Grzyb T. Synthesis and up-Conversion of Core/Shell SrF2:Yb3+,Er3+@SrF2:Yb3+,Nd3+ Nanoparticles under 808, 975, and 1532 nm Excitation Wavelengths // J. Alloys Compd. 2020. V. 831. P. 154797. https://doi.org/10.1016/j.jallcom.2020.154797
- Ryszczyńska S., Grzyb T. NIR-to-NIR and NIR-to-Vis up-Conversion of SrF2:Ho3+ Nanoparticles under 1156 nm Excitation // Methods Appl. Fluoresc. 2022. V. 10. P. 024001. https://doi.org/10.1088/2050-6120/ac4999
- Richards B.S., Hudry D., Busko D., Turshatov A., Howard I.A. Photon Upconversion for Photovoltaics and Photocatalysis: a Critical Review: Focus Review // Chem. Rev. 2021. V. 121. P. 9165–9195. https://doi.org/10.1021/acs.chemrev.1c00034
- Radzhabov E.A., Shendrik R.Yu. Upconversion of infrared radiation in Er3+-doped alkaline-earth fluorides // Opt. Spectrosc. 2020. V. 128. P. 1752–1757. https://doi.org/10.1134/S0030400X20110211
- Karimov D.N., Demina P.A., Koshelev A.V., Rocheva V.V., Sokovikov A.V., Generalova A.N., Zubov V.P., Khaydukov E.V., Koval’chuk M.V., Panchenko V.Ya. Upconversion Nanoparticles: Synthesis, Photoluminescence Properties, and Applications // Nanotechnol. Russ. 2020. V. 15. P. 655–678. https://doi.org/10.1134/S1995078020060117
- Liu X., Ji Q., Hu Q., Li C., Chen M., Sun J., Wang Y., Sun Q., Geng B. Dual-mode Long-Lived Luminescence of Mn2+-Doped Nanoparticles for Multilevel Anticounterfeiting // ACS Appl. Mater. Interfaces. 2019. V. 11. P. 30146–30153. https://doi.org/10.1021/acsami.9b09612
- Li J., Xia D., Gao M., Jiang L., Zhao S., Li G. Invisible Luminescent Inks and Luminescent Films Based on Lanthanides for Anti-Counterfeiting // Inorg. Chim. Acta. 2021. V. 526. P. 120541. https://doi.org/10.1016/j.ica.2021.120541
- Woidasky J., Sander I., Schau A., Moesslein J., Wendler P., Wacker D., Gao G., Kirchenbauer D., Kumar V., Busko D., Howard I.A., Richards B.S., Turshatov A., Wiethoff S., Lang-Koetz C. Inorganic Fluorescent Marker Materials for Identification of Post-Consumer Plastic Packaging // Resour. Conserv. Recycl. 2020. V. 161. P. 104976. https://doi.org/10.1016/j.resconrec.2020.104976
- Dobretsova E.A., Xia X., Pant A., Lim M.B., De Siena M.C., Boldyrev K.N., Molchanova A.D., Novikova N.N., Klimin S.A., Popova M.N., Chen Y., Majumdar A., Gamelin D.R., Pauzauskie P.J. Hydrothermal synthesis of Yb3+: LuLiF4 Microcrystals and Laser Refrigeration of Yb3+:LuLiF4/Silicon-Nitride Composite Nanostructures // Laser Photon. Rev. 2021. V. 15. P. 2100019. https://doi.org/10.1002/lpor.202100019
- Bloembergen N. Solid State Infrared Quantum Counters // Phys. Rev. Lett. 1959. V. 2. P. 84–85. N. https://doi.org/10.1103/PhysRevLett.2.84
- Ovsyankin V.V., Feofilov P.P. Mechanism of Summation of Electronic Excitations in Activated Crystals // JETP Lett. 1966. V. 3. P. 322–323.
- Auzel F.E. Materials and Devices Using Double-Pumped-Phosphors with Energy Transfer // Proc. IEEE. 1973. V. 61. P. 758–786. https://doi.org/10.1109/PROC.1973.9155
- Madirov E., Busko D., Cardona F.A., Hudry D., Kuznetsov S.V., Konyushkin V.A., Nakladov A.N., Alexandrov A.A., Howard I.A., Richards B.S., Turshatov A. Comparison of Quantum Yield of Upconversion Nanocrystals Determined by Absolute and Relative Methods // Adv. Photonics Res. 2023. V. 4. № 4. P. 2200187. https://doi.org/10.1002/adpr.202200187
- Monks M.-J., Würth C., Kemnitz E., Resch-Genger U. Dopant Ion Concentration-Dependent Upconversion Luminescence of Cubic SrF2:Yb3+,Er3+ Nanocrystals Prepared by a Fluorolytic Sol–Gel Method // Nanoscale. 2022. V. 14. P. 11590–11599. https://doi.org/10.1039/D2NR02337G
- Kuznetsov S., Ermakova Y., Voronov V., Fedorov P., Busko D., Howard I.A., Richards B.S., Turshatov A. Up-conversion quantum yields of SrF2:Yb3+,Er3+ sub-micron particles prepared by precipitation from aqueous solution // J. Mater. Chem. 2018. V. 6. P. 598–604. https://doi.org/10.1039/C7TC04913G
- Kuznetsov S.V., Fedorov P.P. Morphological Stability of Solid-Liquid Interface during Melt Crystallization of M1–xRxF2+x Solid Solutions // Inorg. Mater. 2008. V. 44. № 13. P. 1434–1458. https://doi.org/10.1134/S0020168508130037
- Попов П.А., Федоров П.П. Теплопроводность фторидных оптических материалов. Брянск: Десяточка, 2012. 210 с.
- Popov P.A., Sidorov A.A., Kul’chenkov E.A., Anishchenko A.M., Avetissov I.Ch., Sorokin N.I., Fedorov P.P. Thermal Conductivity and Expansion of PbF2 Single Crystals // Ionics. 2017. V. 23. № 1. P. 233–239. https://doi.org/10.1007/s11581-016-1802-2
- Shannon R.D. Revised Effective Ionic Radii and Systematic Studies of Interatomic Distances in Halides and Chalcogenides // Acta Crystallogr., Sect. A. 1976. V. 32. P. 751–767. https://doi.org/10.1107/S0567739476001551
- Федоров. П.П., Соболев Б.П. Концентрационная зависимость параметров элементарных ячеек фаз M1–xRxF2+x со структурой флюорита // Кристаллография. 1992. Т. 37. № 5. С. 1210–1219.
- Попов П.А., Федоров П.П., Кузнецов С.В., Конюшкин В.А., Осико В.В., Басиев Т.Т. Теплопроводность монокристаллов твердого раствора Ba1–xYbxF2+x // Докл. РАН. 2008. Т. 421. № 2. С. 183–185.
Supplementary files





