Характеристики позиционной чувствительности при оптическом зондировании фотоприемного элемента на основе высокоомных слоев CdSe
- Авторы: Чукита В.И.1, Воронов А.В.1, Чукичев М.В.2, Фещенко В.С.3
-
Учреждения:
- Приднестровский государственный университет им. Т.Г. Шевченко
- Московский государственный университет им. М.В. Ломоносова
- Российский технологический университет МИРЭА
- Выпуск: Том 59, № 11 (2023)
- Страницы: 1283-1291
- Раздел: Статьи
- URL: https://bakhtiniada.ru/0002-337X/article/view/252406
- DOI: https://doi.org/10.31857/S0002337X23110039
- EDN: https://elibrary.ru/BPVFXG
- ID: 252406
Цитировать
Полный текст
Аннотация
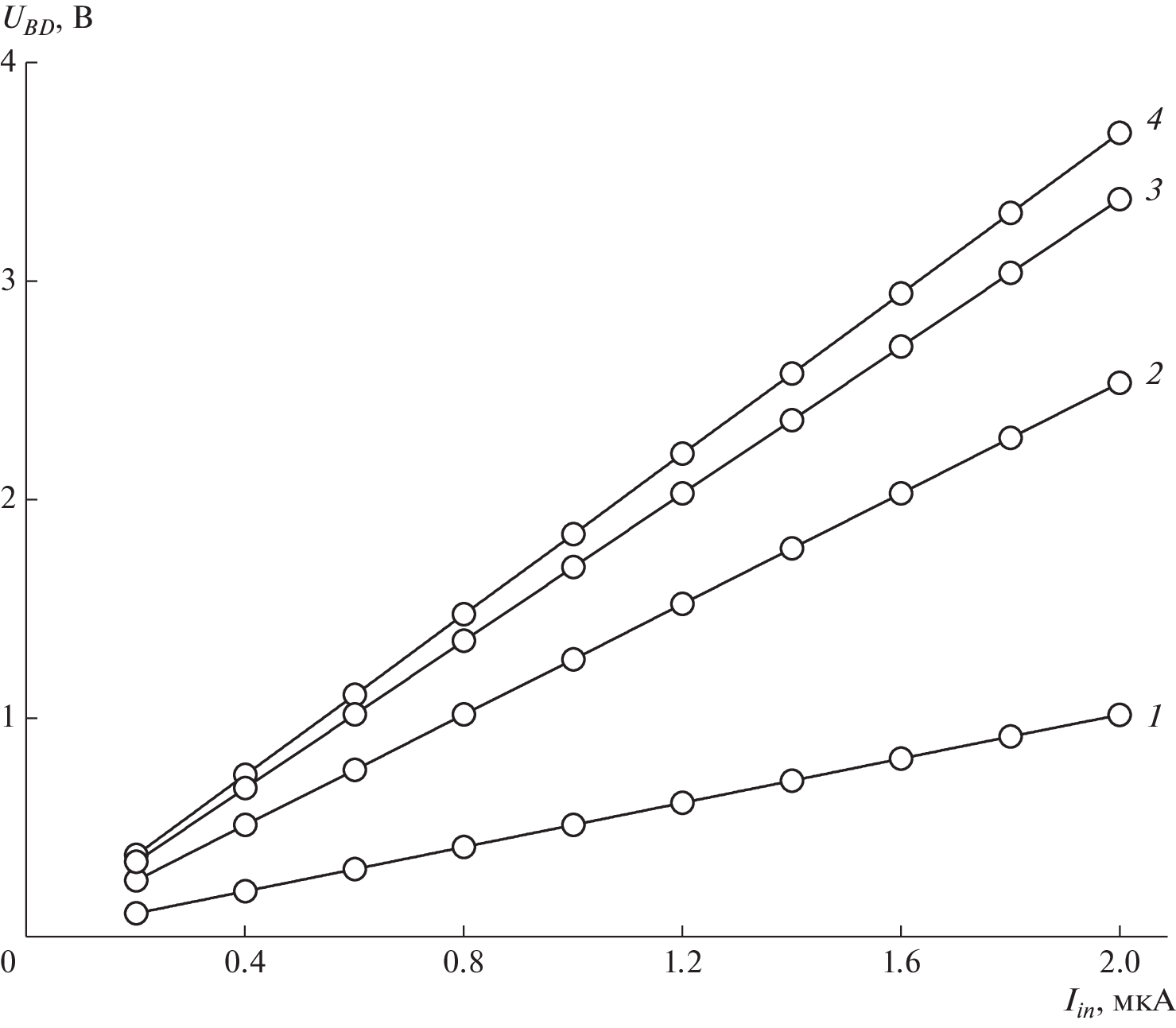
Впервые найдено, что выходное напряжение, координатная и спектральная чувствительность фотоприемного элемента, изготовленного на основе высокоомных светочувствительных слоев CdSe, уменьшаются по гиперболическому закону при увеличении толщины слоев в пределах 6–60 мкм и линейно возрастают при увеличении входного электрического тока. Установленные в работе высокие значения координатной и спектральной чувствительности (70.8 мВ/(мм мкА мВт) и 375 мВ/(мкА мВт) соответственно), которые существенно превышают аналогичные характеристики слоев теллурида кадмия, свидетельствуют о перспективности использования высокоомных слоев CdSe в качестве материала для позиционно-чувствительных фотоприемников.
Об авторах
В. И. Чукита
Приднестровский государственный университет им. Т.Г. Шевченко
Автор, ответственный за переписку.
Email: chykita@mail.ru
Приднестровская Молдавская республика, МD-3300 Тирасполь, ул. 25 Октября, 107
А. В. Воронов
Приднестровский государственный университет им. Т.Г. Шевченко
Email: chykita@mail.ru
Приднестровская Молдавская республика, МD-3300 Тирасполь, ул. 25 Октября, 107
М. В. Чукичев
Московский государственный университет им. М.В. Ломоносова
Email: chykita@mail.ru
Россия, 119991, Москва,
Ленинские горы, 1
В. С. Фещенко
Российский технологический университет МИРЭА
Email: chykita@mail.ru
Россия, 119454, Москва, пр. Вернадского, 78
Список литературы
- Сенокосов Э.А., Чукита В.И., Хамидуллин Р.А. и др. Исследование характеристик позиционной чувствительности эпитаксиальных слоев n-СdSe, выращенных в квазизамкнутом объеме на кристаллах слюды // Неорган. материалы. 2016. Т. 52. № 8. С. 822–825. https://doi.org/10.7868/S0002337X16080157
- Сенокосов Э.А., Чукита В.И., Хамидуллин Р.А. и др. Экспериментальное и теоретическое исследования характеристик позиционно-чувствительных фотоприемников на основе эпитаксиальных слоев n-CdSe/слюда // Физика и техника полупроводников. 2017. Т. 51. № 5. С. 689–694. https://doi.org/10.21883/FTP2017.05.44430.8406
- Fortunato E., Ferreira I., Giuliani F. et al. Flexible Large Area Thin Film Position Sensitive Detectors // Sens. Actuators. 2000. V. 86. P. 182–186.
- Andersson H.A., Bertilsson K., Thungström G., Nilsson H.-E. Processing and Characterization of a MOS-Type Tetra Lateral Position Sensitive Detector with Indium Tin Oxide Gate Contact // IEEE Sens. J. 2008. V. 8. № 10. P. 1704–1709.
- Гурин Н.Т., Новиков С.Г., Корнеев И.В. и др. Позиционно-чувствительный фотоприемник для фотоэлектрических преобразователей углов поворота // Письма в ЖТФ. 2011. Т. 37. Вып. 6. С. 57–62.
- Рахимов Н.Р., Минин О.В., Минин И.В., Алижанов Д.Д. Особенности получения координатно-чувствительного приемника оптического излучения на основе полупроводниковых пленок с аномальным фотонапряжением // Автоматика и программная инженерия. 2012. № 2. С. 41–46.
- Клюканов А.А., Сенокосов Э.А., Сорочан В.В., Цирулик Л.Д. Двукоординатные фотодатчики на основе однородных проводящих полупроводниковых пленок // ЖТФ. 2003. Т. 73. Вып. 5. С. 123–125.
- Клюканов А.А., Сенокосов Э.А., Богинский Д.Е. и др. Функциональные возможности фотоприемников на основе низкоомных полупроводниковых пленок // Технология и конструирование в электронной аппаратуре. 2003. № 1. С. 49–51.
- Cенокосов Э.А., Сорочан В.В. Характеристики позиционно-чувствительных фотоприемников на основе слоев n-СdTe:In // Прикладная физика. 2006. № 2. С. 77–80.
- Cенокосов Э.А., Сорочан В.В. Координатно-чувствительные фотоприемники на основе полупроводниковых слоев n-СdTe:In // Вестн. Мордовского ун-та. 2007. № 3. С. 103–109.
- Nasir E.M., Al-Lamy H.K., Abdul-Ameer H.J. Optical Properties of CdSe Films at Different Thickness and Annealing Temperature // Chalcogen. Lett. 2019. V. 16. P. 485–497.
- Mahato S., Kar A.K. The Effect of Annealing on Structural, Optical and Photosensitive Properties of Electrodeposited Cadmium Selenide Thin Films // J. Sci.: Adv. Mater. Devices. 2017. V. 2. P. 165–171.
- Shelke N.T., Karle S.C., Karche B.R. Photoresponce Properties of CdSe Thin Film Photodetector // J. Mater. Sci.: Mater. Electron. 2020. V. 31. P. 15061–15069.
- Olgar M.A., Başol B.M., Polat İ. et al. Photodetector Properties of CdSe Thin Films Grown by Close Space Sublimation Method // J. Mater. Sci.: Mater. Electron. 2023. V. 34. P. 1749–1757.
- Сенокосов Э.А., Чукита В.И., Жданов А.А. Управление технологией выращивания в квазизамкнутом объеме кристаллически совершенных полупроводниковых слоев // Вестн. Приднестровского ун-та. Сер.: Физ.-мат. науки. 2018. № 3. С. 16–19.
- Чукита В.И., Сенокосов Э.А., Суринов В.Г. и др. Спектры экситонной люминесценции и электрофизические характеристики фоточувствительных слоев CdSe, выращенных на слюде в квазизамкнутом объеме // Неорган. материалы. 2021. Т. 57. № 7. С. 700–704. https://doi.org/1031857/S002337X21070034
- Сенокосов Э.А., Чукита В.И. Фотоэлектрические свойства эпитаксиальных слоев CdSe, выращенных методом термического напыления в квазизамкнутом объеме на кристаллах (0001) слюды // Вестн. Приднестровского ун-та. Сер.: Физ.-мат. науки. 2016. № 3. С. 36–43.
Дополнительные файлы











