Lanthanide Phosphates Prepared by Direct Precipitation and Hydrothermal Synthesis: Structure and Behavior during Heating
- Authors: Koryttseva A.K.1, Orlova A.I.1, Atopshev A.A.1, Turchenko V.А.2, Beskrovnyi A.I.2, Murashov A.A.1, Nokhrin A.V.3
-
Affiliations:
- Lobachevsky State University
- Joint Institute for Nuclear Research
- Lobachevsky State University of Nizhny Novgorod
- Issue: Vol 59, No 8 (2023)
- Pages: 878-887
- Section: Articles
- URL: https://bakhtiniada.ru/0002-337X/article/view/231969
- DOI: https://doi.org/10.31857/S0002337X23080067
- EDN: https://elibrary.ru/SHQWEK
- ID: 231969
Cite item
Full Text
Abstract
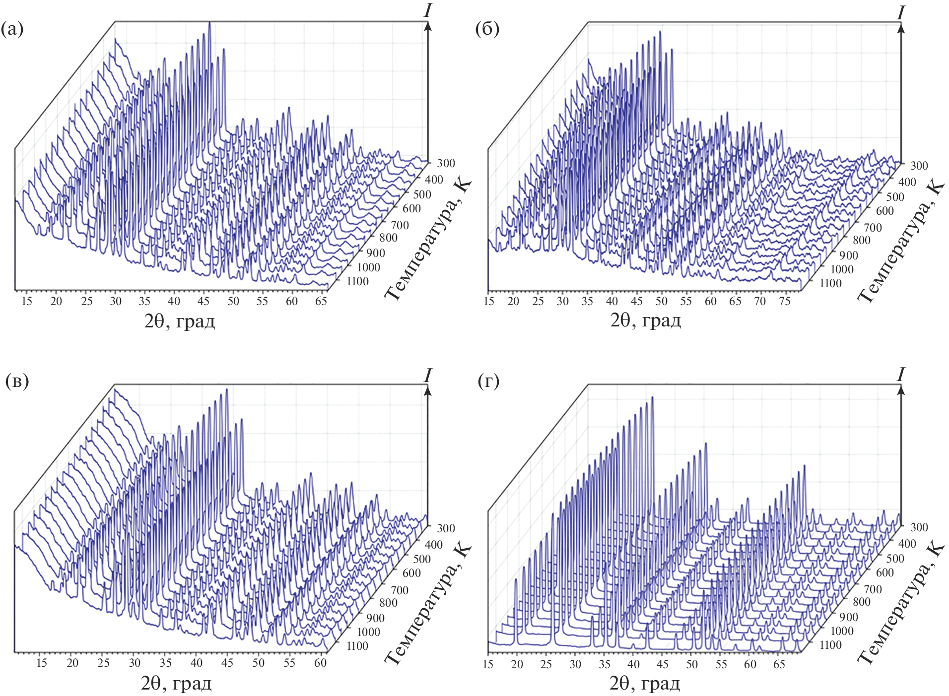
Phosphates isostructural with the mineral monazite—NdPO4, GdPO4, and a La0.3Nd0.5Sm0.1Eu0.1PO4 solid solution modeling the composition of the lanthanide components of radioactive waste—and YbPO4, crystallizing in the xenotime structure, have been prepared via direct precipitation from acid solutions. Under hydrothermal conditions, we have prepared the crystalline hydrate NdPO4·0.67Н2О isostructural with the mineral rhabdophane and the YbPO4 phosphate with the xenotime structure. The powders range in crystallite size from 13 to 65 nm. The particle morphology and size have been shown to depend on the synthesis process. During heating to 1170 K, the phase composition of the powders remained unchanged. Their average 900-K thermal expansion coefficients lie in the range (5.6–9.6) × 10–6 K–1, so these phosphates can be regarded as having medium thermal expansion.
Keywords
About the authors
A. K. Koryttseva
Lobachevsky State University
Email: koak@mail.ru
603022, Nizhny Novgorod, Russia
A. I. Orlova
Lobachevsky State University
Email: golovkina_lyudmila@mail.ru
Russia, Nizhniy Novgorod, 603022
A. A. Atopshev
Lobachevsky State University
Email: koak@mail.ru
603022, Nizhny Novgorod, Russia
V. А. Turchenko
Joint Institute for Nuclear Research
Email: turchenko@jinr.ru
Russia, 141980, Dubna
A. I. Beskrovnyi
Joint Institute for Nuclear Research
Email: bala@nf.jinr.ru
141980, Dubna, Moscow oblast, Russia
A. A. Murashov
Lobachevsky State University
Email: golovkina_lyudmila@mail.ru
603022, Nizhny Novgorod, Russia
A. V. Nokhrin
Lobachevsky State University of Nizhny Novgorod
Author for correspondence.
Email: nokhrin@nifti.unn.ru
Russia, 603022, Nizhny Novgorod
References
- Orlova A.I., Ojovan M.I. Ceramic Mineral Waste-Forms for Nuclear Waste Immobilization // Materials. 2019. V. 12. № 16. P. 2638. https://doi.org/10.3390/ma12162638
- Clavier N., Podor R., Dacheux N. Crystal Chemistry of the Monazite Structure // J. Eur. Ceram. Soc. 2011. V. 31. № 6. P. 941–976.https://doi.org/10.1016/j.jeurceramsoc.2010.12.019
- Cuney M., Mathieu R. Extreme Light Rare Earth Element Mobilization by Diagenetic Fluids in The Geological Environment of the Oklo Natural Reactor Zones, Franceville basin, Gabon // Geology. 2000. V. 28. № 8. P. 743–746.
- Montel J.-M., Razafimahatratra D., Ralison B., Parseval P., Thibault M., Randranja R. Monazite from Mountain to Ocean: A Case Study from Trolognaro (Fort-Dauphin), Madagascar // Eur. J. Mineral. 2011. V. 23. P. 745–757. https://doi.org/10.1127/0935-1221/2011/0023-2149
- Ewing C., Weber W.J., Clinard F.W. Radiation Effects in Nuclear Waste Forms for High-Level Radioactive Waste // Progr. Nucl. Energy. 1995. V. 29. № 2. P. 63–127.https://doi.org/10.1016/0149-1970(94)00016-Y
- Heuser J., Bukaemskiy A.A., Neumeier S., Neumann A., Bosbach D. Raman and Infrared Spectroscopy of Monazite-Type Ceramics Used for Nuclear Waste Conditioning // Progr. Nucl. Energy. 2014. V. 72. P. 149–155. https://doi.org/10.1016/j.pnucene.2013.09.003
- Dellen J., Kegler P., Gatzen C., Schreinemachers C., Shelyug A., Klinkenberg M., Navrotsky A., Bosbach D. Structural and Thermodynamic Mixing Properties of La1–xNdxPO4 Monazite-Type Solid Solutions // J. Solid State Chem. 2019. V. 270. P. 470–478.https://doi.org/10.1016/j.jssc.2018.11.040
- Terra O., Clavier N., Dacheux N., Podor R. Preparation and Characterization of Lanthanum–Gadolinium Monazites as Ceramics for Radioactive Waste Storage // New J. Chem. 2003. V. 27. № 6. P. 957–967. https://doi.org/10.1039/B212805P
- Neumeier S., Arinicheva Y., Clavier N., Podor R., Bukaemskiy A., Modolo G., Dacheux N., Bosbach D. The Effect of the Synthesis Route of Monazite Precursors on the Microstructure of Sintered Pellets // Progr. -Nucl. Energy. 2016. V. 92. P. 1–8. https://doi.org/10.1016/j.pnucene.2016.07.011
- Potanina E., Golovkina L., Orlova A., Nokhrin A., Boldin M., Sakharov N. Lanthanide (Nd Gd) Compounds with Garnet and Monazite Structures. Powders Synthesis by “Wet” Chemistry to Sintering Ceramics by Spark Plasma Sintering // J. Nucl. Mater. 2016. V. 473. P. 93–98.
- Abraham M.M., Boatner L.A., Quinby T.C., Thomas D.K., Rappaz M. Preparation and Compaction of Synthetic Monazite Powders // Radioactive Waste Management. 1980. V. 1(2). P. 181–191.
- DIFFRAC.EVA. Release 2011. Copyright Bruker AXS 2010, 2011. Version 2.0. www.bruker-axs.com.
- Kraus W., Nolze G. POWDER CELL – a Program for the Representation and Manipulation of Crystal Structures and Calculation of the Resulting X-ray Powder Patterns // J. Appl. Crystallogr. 1996. V. 29. P. 301–303.
- Mooney R.C.L. X-ray Diffraction Study of Cerous Phosphate and Related Crystals. I. Hexagonal Modification // Acta Crystallogr. 1950. V. 3. P. 337.
- Perriere L., Bregiroux D., Naitali B., Audubert F., Champion E., Smith D.S., Bernache-Assollant D. Microstructural Dependence of the Thermal and Mechanical Properties of Monazite LnPO4 (Ln = La to Gd) // J. Eur. Ceram. Soc. 2007. V. 27. P. 3207–3213.
- Han J., Wang Y., Liu R., Fan W. Theoretical and Experimental Investigation of Xenotime-type Rare Earth Phosphate REPO4, (RE = Lu, Yb, Er, Y and Sc) for Potential Environmental Barrier Coating Applications // Sci. Rep. 2020. V. 10. P. 13681.
Supplementary files









