Влияние добавки ванадия на коррозионно-электрохимическое поведение цинкового сплава ЦАМСв 4-1-2.5 в среде NaCl
- Авторы: Ганиев И.Н.1, Шарифзода Н.В.1, Бердиев А.Э.1, Давлатзода Ф.С.2, Алихонова С.Д.1
-
Учреждения:
- Российско-Таджикский (Славянский) университет
- Дангаринский государственный университет
- Выпуск: Том 59, № 6 (2023)
- Страницы: 712-718
- Раздел: Статьи
- URL: https://bakhtiniada.ru/0002-337X/article/view/140210
- DOI: https://doi.org/10.31857/S0002337X23060076
- EDN: https://elibrary.ru/EQOLRJ
- ID: 140210
Цитировать
Полный текст
Аннотация
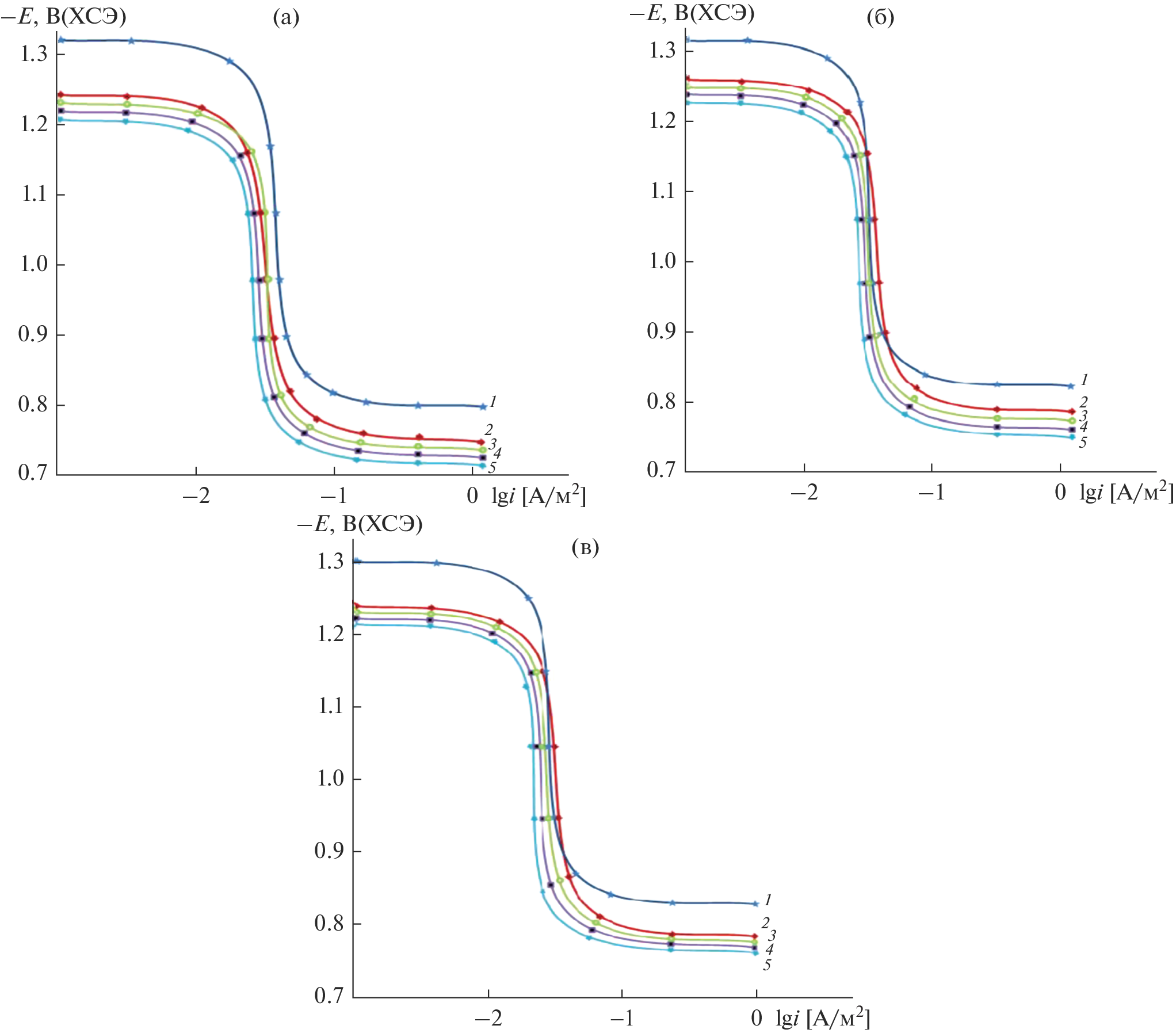
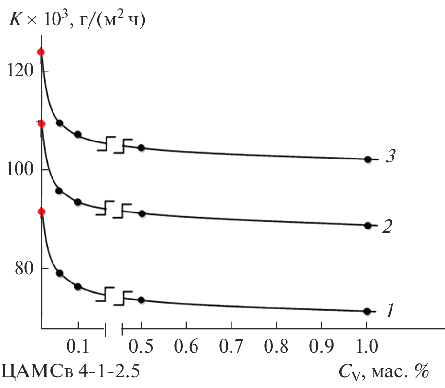
Разработан состав нового сплава на основе цинкового сплава ЦАМ 4-1, полученного из низкосортного цинка марки Ц3, – ЦАМСв 4-1-2.5. Сплавы исследованы потенциостатическим методом в потенциодинамическом режиме в среде электролита NaCl. Скорость развертки потенциала равнялась 2 мВ/с. Исследовано влияние добавки ванадия на коррозионно-электрохимическое поведение цинкового сплава ЦАМСв 4-1-2.5 в среде электролита NaCl. Показано, что легирование ванадием смещает в область положительных значений потенциалы свободной коррозии, питтингообразования и репассивации. С ростом концентрации хлорид-иона скорость коррозии сплавов растет независимо от их состава. Добавка ванадия к сплаву ЦАМСв 4-1-2.5 уменьшает скорость его коррозии в среде электролита NaCl на 15–20%, что в свою очередь способствует уменьшению толщины защитного слоя и позволяет сэкономить 10% металла.
Об авторах
И. Н. Ганиев
Российско-Таджикский (Славянский) университет
Email: ganievizatullo48@gmail.com
Таджикистан, 734000, Душанбе, ул. М. Турсунзаде, 30
Н. В. Шарифзода
Российско-Таджикский (Славянский) университет
Email: ganievizatullo48@gmail.com
Таджикистан, 734000, Душанбе, ул. М. Турсунзаде, 30
А. Э. Бердиев
Российско-Таджикский (Славянский) университет
Email: ganievizatullo48@gmail.com
Таджикистан, 734000, Душанбе, ул. М. Турсунзаде, 30
Ф. С. Давлатзода
Дангаринский государственный университет
Email: ganievizatullo48@gmail.com
Таджикистан, 735320, Дангара, ул. Маркази, 25
С. Дж. Алихонова
Российско-Таджикский (Славянский) университет
Автор, ответственный за переписку.
Email: ganievizatullo48@gmail.com
Таджикистан, 734000, Душанбе, ул. М. Турсунзаде, 30
Список литературы
- Шлугер М.А., Ажогин Ф.Ф. Коррозия и защита металлов. М.: Металлургия, 1981. 216 с.
- Томашов Н.Д. Теория коррозии и защиты металлов. М.: Изд-во АН СССР, 1959. 591 с.
- Улиг Г. Коррозия металлов; пер. с англ. М.: Металлургия, 1968. 308 с.
- Фрейман Л.И., Макаров В.А., Брыксин И.Е. Потенциостатические методы в коррозионных исследованиях и электрохимической защите / Под ред. акад. Колотыркина Я.М. Л.: Химия, 1972. 240 с.
- Ганиев И.Н., Аминова Н.А., Бердиев А.Э., Алихонова С.Дж. Влияние добавок бария на теплофизические и термодинамические свойства цинкового сплава ЦАМСв 4-1-2.5 // Цв. металлы. 2021. № 12. С. 53–58.
- Ганиев И.Н., Алиева Л.З., Бердиев А.Э., Алихонова С.Дж. Коррозионно-электрохимическое поведение цинкового сплава ЦАМСв 4-1-2.5, легированного калием, в среде электролита NaCl // Вестн. Санкт-Петербургского гос. ун-та технологии и дизайна. Сер. 1. Естественные и технические науки. 2021. № 3. С. 55–60.
- Ганиев И.Н., Содикова С.С., Алихонова С.Дж., Саидзода Р.Х. Повышение антикоррозионных свойств высокочистого цинка, легированием алюминием // Материаловедение. 2021. № 5. С. 3–6.
- Ганиев И.Н., Рахимова Н.О., Курбонова М.З., Давлатзода Ф.С., Якубов У.Ш. Влияние добавки титана на коррозионно-электрохимические свойства алюминиевого сплава АБ1 // Неорган. материалы. 2022. Т. 58. № 8. С. 924–928. https://doi.org/10.31857/S0002337X22080024
- Обидов З.Р., Ганиев И.Н. Физикохимия цинк-алюминиевых сплавов с редкоземельными металлами. Душанбе: Андалеб Р, 2015. 334 с.
- Ганиев И.Н., Шарифзода Н.В., Бердиев А.Э., Давлатзода Ф.С. Коррозионно-электрохимическое поведение цинкового сплава ЦАМС 4-1-2.5 с титаном в водном растворе NaCl // Металлы. 2022. № 6. С. 94–99.
- Колотыркин Я.М., Попов Ю.А., Алексеев Ю.В. Электрохимическая кинетика в питтинге. Модель поверхностных процессов // Электрохимия. 1978. Т. 14. Вып. 10. С. 1601–1604.
- Колотыркин Я.М., Попов Ю.А., Алексеев Ю.В. Теория роста резистивного слоя в питтинге // Электрохимия. 1979. Т. 15. Вып. 6. С. 894–898.
Дополнительные файлы








