Двухслойные световоды на основе высокочистых халькогенидных стекол, легированных редкими землями, как источники ИК-излучения
- Авторы: Караксина Э.В.1, Ширяев В.С.2, Котерева Т.В.1, Снопатин Г.Е.1, Вельмужов А.П.1, Суханов М.В.2
-
Учреждения:
- Институт химии высокочистых веществ им. Г.Г. Девятых Российской академии наук
- Институт химии высокочистых веществ Российской академии наук им. Г.Г. Девятых
- Выпуск: Том 59, № 6 (2023)
- Страницы: 662-671
- Раздел: Статьи
- URL: https://bakhtiniada.ru/0002-337X/article/view/140194
- DOI: https://doi.org/10.31857/S0002337X23050068
- EDN: https://elibrary.ru/VDSYWI
- ID: 140194
Цитировать
Полный текст
Аннотация
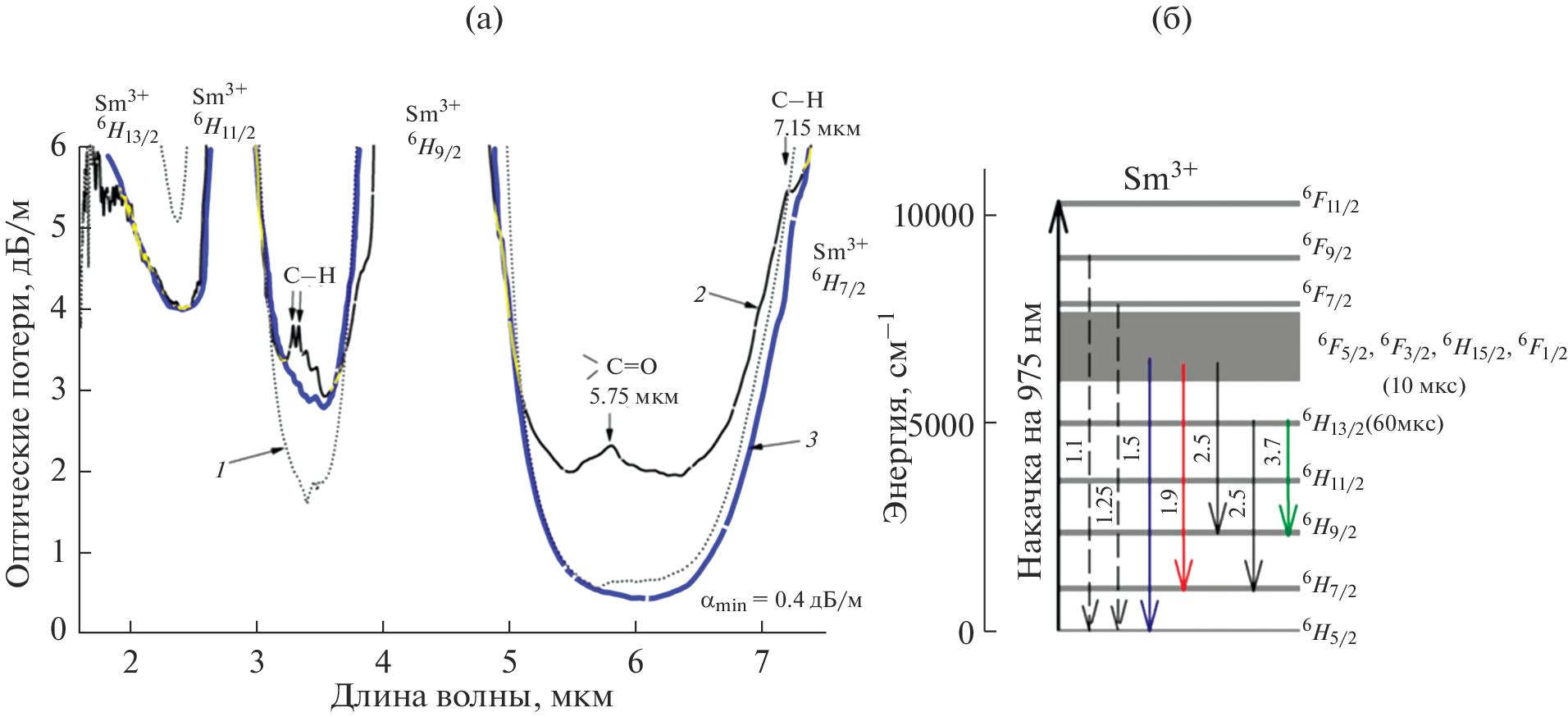
Представлены результаты исследований двухслойных световодов на основе легированных ионами редких земель многокомпонентных халькогенидных стекол систем Ge–Ga(In)–As(Sb)–Se. Оптические, эмиссионные и лазерные характеристики световодов в ИК-диапазоне демонстрируют преимущества материалов перед зарубежными аналогами вследствие низкого содержания лимитируемых примесей.
Ключевые слова
Об авторах
Э. В. Караксина
Институт химии высокочистых веществ им. Г.Г. Девятых Российской академии наук
Email: evk@ihps-nnov.ru
Россия, 603950, Нижний Новгород, ул. Тропинина, 49, ГСП-75
В. С. Ширяев
Институт химии высокочистых веществ Российской академии наук им. Г.Г. Девятых
Email: velmuzhov.ichps@mail.ru
Россия, 603950, Нижний Новгород, ул. Тропинина, 49
Т. В. Котерева
Институт химии высокочистых веществ им. Г.Г. Девятых Российской академии наук
Email: evk@ihps-nnov.ru
Россия, 603950, Нижний Новгород, ул. Тропинина, 49, ГСП-75
Г. Е. Снопатин
Институт химии высокочистых веществ им. Г.Г. Девятых Российской академии наук
Email: skripachev@ihps-nnov.ru
Россия, 603951, Нижний
А. П. Вельмужов
Институт химии высокочистых веществ им. Г.Г. Девятых Российской академии наук
Email: iliya@citydom.ru
Россия, 603951, Нижний Новгород, ул. Тропинина, 49, БОКС-75
М. В. Суханов
Институт химии высокочистых веществ Российской академии наук им. Г.Г. Девятых
Автор, ответственный за переписку.
Email: velmuzhov.ichps@mail.ru
Россия, 603950, Нижний Новгород, ул. Тропинина, 49
Список литературы
- Jackson S.D., Jain R.K. Fiber-Based Sources of Coherent MIR Radiation: Key Advances and Future Prospects // Opt. Express. 2020. V. 28. № 21. P. 30964–31017. https://doi.org/10.1364/OE.400003
- Wang W.C., Zhou B., Xu S.H., Yang Z.M., Zhang Q.Y. Recent Advances in Soft Optical Glass Fiber and Fiber Lasers // Prog. Mater. Sci. 2019. № 101. P. 90–171. https://doi.org/10.1016/j.pmatsci.2018.11.003
- Shaw L.B., Cole B., Thielen P.A., Sanghera J.S., Aggarwal I.D. Mid-Wave IR and Long-Wave IR Laser Potential of Rare-Earth Doped Chalcogenide Glass Fiber // IEEE J. Quantum Electron 2001. V. 48. № 9. P. 1127–1137. https://doi.org/10.1117/12.478276
- Shiryaev V.S., Karaksina E.V., Kotereva T.V., Churbanov M.F., Velmuzhov A.P., Nezhdanov A.V. Special Pure Pr3+ Doped Ga3Ge31As18Se48 Glass for Active Mid-IR Optics // J. Lumin. 2019. № 209. P. 225–231. https://doi.org/10.1016/j.jlumin.2019.01.060
- Sojka L., Tang Z., Jayasuriya D., Shen M., Nunes J., Furniss D., Farries M., Benson T.M., Seddon A.B., Sujecki S. Milliwatt-Level Spontaneous Emission across the 3.5–8 µm Spectral Region from Pr3+ Doped Selenide Chalcogenide Fiber Pumped with a Laser Diode // Appl. Sci. 2020. № 10. P. 539–548. https://doi.org/10.3390/app10020539
- Tang Z., Furniss D., Fay M., Sakr H., Sójka L., Neate N., Weston N., Sujecki S., Benson T.M., Seddon A.B. Mid-Infrared Photoluminescence in Small-Core Fiber of Praseodymium-Ion Doped Selenide-Based Chalcogenide Glass // Opt. Mater. Express. 2015. V. 5. № 4. P. 870–886. https://doi.org/10.1364/OME.5.000870
- Shiryaev V.S., Karaksina E.V., Kotereva T.V., Churbanov M.F., Velmuzhov A.P., Sukhanov M.V., Ketkova L.A., Zernova N.S., Plotnichenko V.G., Koltashev V.V. Preparation and Investigation of Pr3+-Doped Ge–Sb–Se–In–I Glasses as Promising Material for Active Mid-Infrared Optics // J. Lumin. 2017. № 183. P. 129–134. https://doi.org/10.1016/j.jlumin.2016.11.032
- Karaksina E.V., Kotereva T.V., Shiryaev V.S. Luminescence Properties of Core-Clad Pr-Doped Ge–As–Se–Ga(In,I) Glass Fibers // J. Lumin. 2018. № 20. P. 154–157. https://doi.org/10.1016/j.jlumin.2018.08.009
- Sójka Ł., Tang Z., Zhu H., Bereś-Pawlik E., Furniss D., Seddon A.B., Benson T.M., Sujecki S. Study of Mid-Infrared Laser Action in Chalcogenide Rare Earth Doped Glass with Dy3+, Pr3+ and Tb3+ // Opt. Mater. Express. 2012. V. 2. № 11. P. 1632–1640. https://doi.org/10.1364/OME.2.001632
- Karaksina E.V., Shiryaev V.S., Anashkina E.A., Kotereva T.V., Churbanov M.F., Snopatin G.E. Core-Clad Pr-Doped Ga(In)–Ge–As–Se–(I) Glass Fibers: Preparation, Investigation, Simulation of Laser Characteristics // Opt. Mater. 2017. № 72. P. 654–660. https://doi.org/10.1016/j.optmat.2017.07.012
- Sujecki S., Oladeji A., Phillips A., Seddon A.B., Benson T.M., Sakr H., Tang Z., Barney E., Furniss D., Sojka Ł., Bere’s-Pawlik E., Scholle K., Lamrini S., Furberg P. Theoretical Study of Population Inversion in Active Doped MIR Chalcogenide Glass Fiber Lasers (invited) // Opt. Quantum Electron. 2015. № 47. P. 1389–1395. https://doi.org/10.1007/s11082-014-0086-x
- Sujecki S., Sojka L., Beres-Pawlik E., Sakr H., Tang Z., Barney E., Furniss D., Benson T.M., Seddon A.B. Numerical Modeling of Tb3+ Doped Selenide-Chalcogenide Multimode Fiber Based Spontaneous Emission Sources // Opt. Quantum Electron. 2018. № 50. P. 416–427. https://doi.org/10.1007/s11082-017-1255-5
- Shiryaev V.S., Sukhanov M.V., Velmuzhov A.P., Karaksina E.V., Kotereva T.V., Snopatin G.E., Denker B.I., Galagan B.I., Sverchkov S.E., Koltashev V.V., Plotnichenko V.G. Core-Clad Terbium Doped Chalcogenide Glass Fiber with Laser Action at 5.38 μm // J. Non-Cryst. Solids. 2021. № 567. P. 120939–120948. https://doi.org/10.1016/j.jnoncrysol.2021.120939
- Denker B.I., Galagan B.I., Koltashev V.V., Plotnichenko V.G., Snopatin G.E., Sukhanov M.V., Sverchkov S.E., Velmuzhov A.P. Continuous Tb-Doped Fiber Laser Emitting at ~5.25 µm // Opt. Laser Technol. 2022. № 154. P. 108355–108359. https://doi.org/10.1016/j.optlastec.2022.108355
- Koltashev V.V., Denker B.I., Galagan B.I., Snopatin G.E., Sukhanov M.V., Sverchkov S. E., Velmuzhov A.P., Plotnichenko V.G. 150 mW Tb3+ doped chalcogenide glass fiber laser emitting at λ > 5 μm // Opt. Laser Technol. 2023. № 161. Р. 109233–109237. https://doi.org/10.1016/j.optlastec.2023.109233
- Shiryaev V.S., Churbanov M.F., Velmuzhov A.P., Tang Z.Q., Seddon A.B. Preparation of High Purity Glasses in the Ga–Ge–As–Se System // Opt. Mater. 2014. № 37. P. 18–23. https://doi.org/10.1016/j.optmat.2014.04.021
- Velmuzhov A.P., Sukhanov M.V., Plotnichenko V.G., Plekhovich A.D., Shiryaev V.S., Churbanov M.F. Preparation of REE-Doped Ge-Based Chalcogenide Glasses with Low Hydrogen Impurity Content // J. Non-Cryst. Solids 2019. V. 525. P. 119669–119674. https://doi.org/10.1016/j.jnoncrysol.2019.119669
- Sukhanov M.V., Velmuzhov A.P., Kotereva T.V., Skripachev I.V., Churbanov M.F. New Approach for Preparation of High-Purity Sulfide-Germanium Glasses Doped with Praseodymium // Opt. Mater. Express. 2019. V. 9. № 8. P. 3204–3215. https://doi.org/10.1364/OME.9.003204
- Velmuzhov A.P., Sukhanov M.V., Zernova N.S., Shiryaev V.S., Kotereva T.V., Ketkova L.A., Evdokimov I.I., Kurganova A.E. Preparation of Ge20Se80 Glasses with Low Hydrogen and Oxygen Impurities Content for Middle IR Fiber Optics // J. Non-Cryst. Solids. 2019. № 521. P. 119505–119513. https://doi.org/10.1016/j.jnoncrysol.2019.119505
- Shiryaev V., Churbanov M. Preparation of High-Purity Chalcogenide Glasses // Chalcogenide Glasses: Preparation, Properties and Applications, Eds. Adam J.-L., Zhang X. Woodhead Publishing Series in Electronic and Optical Materials. No. 44. Oxford: Woodhead, 2014. https://doi.org/10.1533/9780857093561.1.3
- Karaksina E.V., Shiryaev V.S., Kotereva T.V., Velmuzhov A.P., Ketkova L.A., Snopatin G.E. Preparation of High-Purity Pr3+ Doped Ge–As–Se–In–I Glasses for Active Mid-Infrared Optics // J. Lumin. 2016. № 177. P. 275–279. https://doi.org/10.1016/j.jlumin.2016.05.005
- Суханов М.В., Вельмужов А.П., Ширяев В.С., Караксина Э.В., Чурбанов М.Ф. Способ получения особо чистых халькогенидных стекол. Патент: Ru № 2 698 340 С1. 2019.
- Sakr H., Furniss D., Tang Z., Sojka L., Moneim N.A., Barney E., Sujecki S., Benson T.M., Seddon A.B. Superior Photoluminescence (PL) of Pr3+-In, Compared to Pr3+-Ga, Selenide-Chalcogenide Bulk Glasses and PL of Optically-Clad Fiber // Opt. Express. 2014. V. 22. № 18. P. 21236–21252. https://doi.org/10.1364/OE.22.021236
- Liu Z., Bian J., Huang Y., Xu T., Wang X., Dai S. Fabrication and Characterization of Mid-Infrared Emission of Pr3+ Doped Selenide Chalcogenide Glasses and Fibers // RSC Adv. 2017. № 7. P. 41520–41526. https://doi.org/10.1039/C7RA05319C
- Sójka L., Tang Z., Furniss D., Sakr H., Bereś-Pawlik E., Seddon A.B., Benson T.M., Sujecki S. Numerical and Experimental Investigation of Mid-Infrared Laser Action in Resonantly Pumped Pr3+ Doped Chalcogenide Fiber // Opt. Quantum Electron. 2017. https://doi.org/10.1007/s11082-016-0827-0
- Velmuzhov A.P., Sukhanov M.V., Kotereva T.V., Zernova N.S., Shiryaev V.S., Karaksina E.V., Stepanov B.S., Churbanov M.F. Optical Fibers Based on Special Pure Ge20Se80 and Ge26As17Se25Te32 Glasses for FEWS // J. Non-Cryst. Solids. 2019. № 517. P. 70–75. https://doi.org/10.1016/j.jnoncrysol.2019.04.043
- Bowman S.R., Shaw L.B., Feldman B.J., Ganem J.A. 7 µm Praseodymium-Based Solid-State Laser // IEEE J. Quantum Electron. 1996. № 32. P. 646–649.
- Sojka L., Tang Z., Furniss D., Sakr H., Fang Y., Beres-Pawlik E., Benson T.M., Seddon A.B., Sujecki S. Mid-Infrared Emission in Tb3+-Doped Selenide Glass Fiber // J. Opt. Soc. Am. B. 2017.V. 34. № 3. P. A70–A79. https://doi.org/10.1364/JOSAB.34.000A70
- Abdellaoui N., Starecki F., Boussard-Pledel C., Shpotyuk Y., Doualan J-L., Braud A., Baudet E., Nemec P., Chevire F., Dussauze M., Bureau B., Camy P., Nazabal V. Tb3+ Doped Ga5Ge20Sb10Se65–xTe x (x = 0–37.5) Chalcogenide Glasses and Fibers for MWIR and LWIR Emissions // Opt. Mater. Express. 2018. V. 8. № 9. P. 2887–2900. https://doi.org/10.1364/OME.8.002887
- Shiryaev V.S., Sukhanov M.V., Velmuzhov A.P., Karaksina E.V., Kotereva T.V., Snopatin G.E., Blagin R.D., Denker B.I., Galagan B.I., Koltashev V.V., Plotnichenko V.G., Sverchkov S.E. Preparation of High Purity Sm3+-Doped Ga–Ge–As–Se Glass and Low-Loss Fiber // J. Lumin. 2022. № 242. P. 118552–118560. https://doi.org/10.1016/j.jlumin.2021.118552
- Crane R.W., Sojka Ł., Furniss D., Nunes J., Barney E., Farries M.C., Benson T.M., Sujecki S., Seddon A.B. Experimental Photoluminescence and Lifetimes at Wavelengths Including Beyond 7 Microns in Sm3+-Doped Selenide-Chalcogenide Glass Fibers // Opt. Express. 2020. V. 28. № 8. P. 12373–12384. https://doi.org/10.1364/OE.383033
Дополнительные файлы










