Золь–гель-синтез и исследование влияния добавок Y2O3 и Eu2O3 на формирование алюмомагнезиальной шпинели
- Авторы: Хомидов Ф.Г.1, Кадырова З.Р.1, Усманов Х.Л.1, Ниязова Ш.М.1
 - 
							Учреждения: 
							
- Институт общей и неорганической химии Академии наук Республики Узбекистан
 
 - Выпуск: Том 59, № 6 (2023)
 - Страницы: 654-661
 - Раздел: Статьи
 - URL: https://bakhtiniada.ru/0002-337X/article/view/140193
 - DOI: https://doi.org/10.31857/S0002337X23060167
 - EDN: https://elibrary.ru/EWFQQC
 - ID: 140193
 
Цитировать
Полный текст
Аннотация
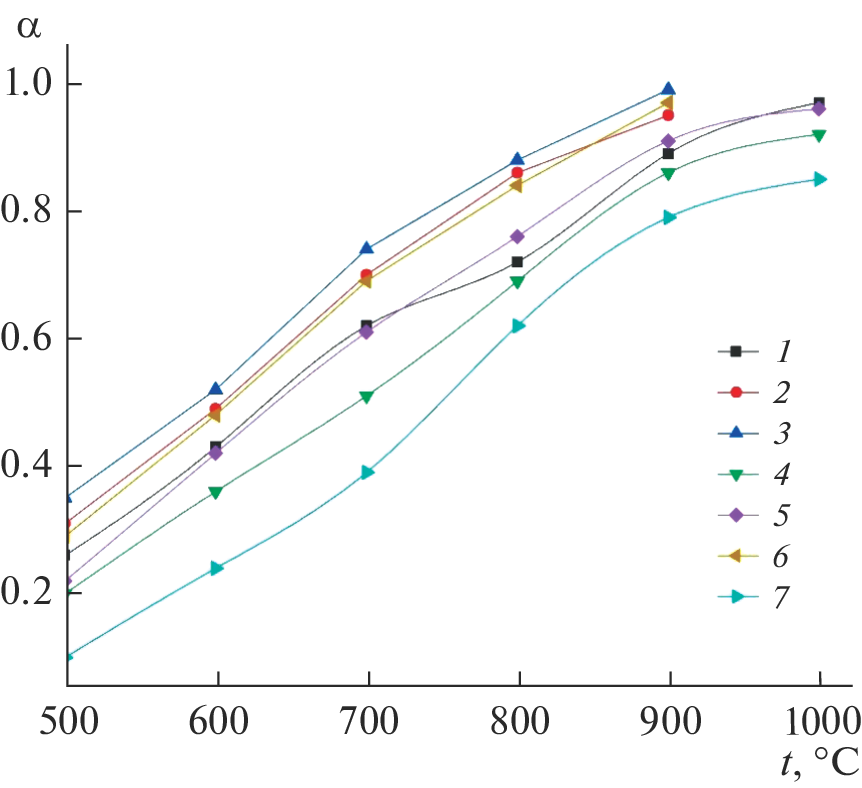
Синтезирована алюмомагнезиальная шпинель с использованием золь–гель-метода. Изучено влияние оксидов европия и иттрия на синтез и кинетику формирования алюмомагнезиальной шпинели при термической обработке в интервале температур 500–1000°C. Методами рентгенофазового и химического анализов установлено, что формирование алюмомагнезиальной шпинели происходит при температуре 1000°C и выдержке 240 мин ксерогеля, полученного на основе смеси соединений Al(NO3)3 + Mg(NO3)2 при соотношении 2 : 1 соответственно. Полученный продукт содержит примесь несвязанного MgO. Добавка минерализующего оксида Eu2O3 в количестве 1.5 мас. % от общей массы исходной смеси при выдержке 240 мин снижает температуру максимального формирования шпинели до 900°C. В случае Y2O3 для максимального формирования шпинели при этой же температуре требуется добавка в количестве 3 мас. %.
Ключевые слова
Об авторах
Ф. Г. Хомидов
Институт общей и неорганической химии Академии наук Республики Узбекистан
														Email: faha0101@mail.ru
				                					                																			                												                								Узбекистан, 100170, Ташкент, ул. Мирзо Улугбек, 77А						
З. Р. Кадырова
Институт общей и неорганической химии Академии наук Республики Узбекистан
														Email: faha0101@mail.ru
				                					                																			                												                								Узбекистан, 100170, Ташкент, ул. Мирзо Улугбек, 77А						
Х. Л. Усманов
Институт общей и неорганической химии Академии наук Республики Узбекистан
														Email: faha0101@mail.ru
				                					                																			                												                								Узбекистан, 100170, Ташкент, ул. Мирзо Улугбек, 77А						
Ш. М. Ниязова
Институт общей и неорганической химии Академии наук Республики Узбекистан
							Автор, ответственный за переписку.
							Email: faha0101@mail.ru
				                					                																			                												                								Узбекистан, 100170, Ташкент, ул. Мирзо Улугбек, 77А						
Список литературы
- Ćirić A., Ristić Z., Periša J., Antić Ž., Dramićanin M.D. MgAl2O4:Cr3+ Luminescence Thermometry Probe in the Physiological Temperatures Range // Ceram. Int. 2021. V. 47. № 19. P. 27151–27156. https://doi.org/10.1016/j.ceramint.2021.06.131
 - Ganesh I. A Review on Magnesium Aluminate (MgAl2O4) Spinel: Synthesis, Processing and Applications // Int. Mater. Rev. 2013. V. 58. № 2. P. 63–112. https://doi.org/10.1179/1743280412Y.0000000001
 - Wang C., Zhao Z. Transparent MgAl2O4 Ceramic Produced by Spark Plasma Sintering // Scr. Mater. 2009. V. 61. P. 193–196. https://doi.org/10.1016/j.scriptamat.2009.03.039
 - Kolesnikov I.E., Golyeva E.V., Kurochkin A.V., Mikhailov M.D. Structural and Luminescence Properties of MgAl2O4:Eu3+ Nanopowders // J. Alloys Compd. 2016. V. 654. P. 32–38. https://doi.org/10.1016/j.jallcom.2015.09.122
 - Balabanov S.S., Yavetskiy R.P., Belyaeva A.V., Gavrishchuk E.M., Drobotenko V.V., Evdokimov I.I., Novikova A.V., Palashov O.V., Permin D.A., Pimenov V.G. Fabrication of Transparent MgAl2O4 Ceramics by Hot-Pressing of Sol-Gel-Derived Nanopowders // Ceram. Int. 2015. V. 41. № 10. P. 133661–13371. https://doi.org/10.1016/j.ceramint.2015.07.123
 - Knyazeva S.S., Chernorukov N.G., Smirnova N.N., Knyazev A.V., Korokin V.Zh., Baidakov K.V. Low-Temperature Studies of Spinel // Physics Days 2015. Helsinki, Finland. 2015. P. 137–139.
 - Хомидов Ф.Г., Кадырова З.Р., Усманов Х.Л., Ниязова Ш.М., Сабиров Б.Т. Особенности синтеза алюмомагнезиальной шпинели золь–гель-методом // Стекло и керамика. 2021. № 6. С. 48–52.
 - Zhang X. Hydrothermal Synthesis and Catalytic Performance of High-Surface-Area Mesoporous Nanocrystallite MgAl2O4 as Catalyst Support // Mater. Chem. Phys. 2009. V. 116. P. 4154. https://doi.org/10.1016/j.matchemphys.2009.04.012
 - Sanjabi S., Obeydavi A. Synthesis and Characterization of Nanocrystalline MgAl2O4 Spinel via Modified Sol–Gel-Method // J. Alloys Compd. 2015. V. 645. P. 535–541. https://doi.org/10.1016/j.jallcom.2015.05.107
 - Wang C.T., Lin L.S., Yang S.J. Preparation of MgAl2O4 Spinel Powders via Freeze-Drying of Alkoxide Precursors // J. Am. Ceram. Soc. 1992. V. 75. P. 2240–2243. https://doi.org/10.1111/j.1151-2916.1992.tb04490.x
 - Чижиков А.П., Константинов А.С., Бажин П.М. Самораспространяющийся высокотемпературный синтез керамического материала на основе алюмомагниевой шпинели и диборида титана // Журн. неорган. химии. 2021. Т. 66. № 8. С. 1002–1008. https://doi.org/10.31857/S0044457X21080031
 - Raghu R., Nampoothiri J., Kumar T.S. In-Situ Generation of MgAl2O4 Particles in Al-Mg Alloy Using H3BO3 Addition for Grain Refinement Under Ultrasonic Treatment // Measurement. 2018. V. 129. P. 389–394. https://doi.org/10.1016/j.measurement.2018.07.056
 - Ianoş R., Lazău I., Păcurariu C., Barvinschi P. Solution Combustion Synthesis of MgAl2O4 Using Fuel Mixtures // Mater. Res. Bull. 2008. V. 43. P. 3408–3415. https://doi.org/10.1016/j.materresbull.2008.02.003
 - Shahbazi H., Tataei M. A Novel Technique of Gel-Casting for Producing Dense Ceramics of Spinel (MgAl2O4) // Ceram. Int. 2019. V. 45. P. 8727–8733. https://doi.org/10.1016/j.ceramint.2019.01.196
 - Adison S., Sirithan J., Supatra J., Karn S. Synthesis and Sintering of Magnesium Aluminate Spinel Nanopowders Prepared by Precipitation Method using Ammonium Hydrogen Carbonate as a Precipitant // Key Eng. Mater. 2016. V. 690. P. 224–229. https://doi.org/10.4028/www.scientific.net/KEM.690.224
 - Страумал Е.А., Гожикова И.О., Котцов С.Ю., Лермонтов С.А. Влияние концентрации золя на основные характеристики аэрогелей оксида алюминия // Журн. неорган. химии. 2022. Т. 67. № 10. С. 1485–1491. https://doi.org/10.31857/S0044457X22100208
 - Zarazúa V.L., Téllez J.L., Vargas B.N. Synthesis of Magnesium Aluminate Spinel Nanopowder by Sol–Gel and Low-Temperature Processing // J. Sol–Gel Sci. Technol. 2018. V. 85. P. 110–120. https://doi.org/10.1007/s10971-017-4526-5
 - Морозова Л.В. Синтез нанокристаллических порошков в системе CеO2〈ZrO2〉–Al2O3 цитратным золь–гель-методом // Неорган. материалы. 2021. Т. 57. № 2. С. 163–172.https://doi.org/10.31857/S0002337X21020093
 - Hoa B.T., Phuc L.H., Hien N.Q. et al. Synthesis of Silver-Containing Bioactive Glass Material by an Improved Sol–Gel Method // Russ. J. Inorg. Chem. 2022. V. 67. (Suppl 1). P. 63–70. https://doi.org/10.1134/S003602362260160X
 - Бюхель Г., Гирш Д., Бур А. Шпинельные алюмомагниевые материалы для стойких футеровок сталеразливочных ковшей // Новые огнеупоры. 2009. № 4. С. 117‒123.
 - Кащеев И.Д., Каменских В.А., Земляной К.Г. Синтез шпинели из каустического магнезита и пыли производства глинозема // Огнеупоры и техническая керамика. 2003. № 8. С. 17–21.
 - Кащеев И.Д., Земляной К.Г. Производство шпинели // Новые огнеупоры. 2017. № 3. С. 127–133. https://doi.org/10.17073/1683-4518-2017-3-127-133
 - Kim T., Kim D., Kang Sh. Effect of Additives on the Sintering of MgAl2O4 // J. Alloys Compd. 2014. V. 587. P. 594‒599. https://doi.org/10.1016/j.jallcom.2013.10.250
 - X-Ray ASTM Standards Part 17. “Refractories, Glass, Ceramic Materials, Carbon and Graphite Products”. ASTM. Philadelphia. 2005. P. 7–9, 51–61.
 - Косенко Н.Ф., Филатова Н.В., Родионова В.И., Егорова А.А. Твердофазный синтез цинковой шпинели // Научные труды SWORLD. 2017. № 3. С. 35–39.
 - Titov D.D., Shcherbakova G.I., Gumennikova E.A. et al. Effect of the Addition of Sm2O3 on the Sintering of MgAl2O4 from a Preceramic Al, Mg Oligomer // Russ. J. Inorg. Chem. 2021. V. 66. P. 1141–1147. https://doi.org/10.1134/S0036023621080295
 - Щербакова Г.И., Похоренко А.С., Стороженко П.А., Варфоломеев М.С., Драчев А.И., Титов Д.Д., Ашмарин А.А. Zr(Hf)-оксанмагнийоксаналюмоксаны – предшественники модифицированной алюмомагниевой керамики // Журн. неорган. химии. 2022. Т. 67. № 5. С. 547–558. https://doi.org/10.31857/S0044457X22050166
 - Assih T., Ayral A., Abenoza M., Phalippou J. Raman Study of Alumina Gels // J Mater Sci. 1988. V. 23. P. 3326–3331. https://doi.org/10.1007/BF00551313
 - Koichumanova K., Sai Sankar Gupta K.B., Lefferts L. An in Situ ATR-IR Spectroscopy Study of Aluminas under Aqueous Phase Reforming Conditions // Phys. Chem. Chem. Phys. 2015. V. 17. P. 23795–23804. https://doi.org/10.1039/C5CP02168E
 - Chang T.C., Irish D.E. Raman and Infrared Studies of Hexa-, Tetra-, and Dihydrates of Crystalline Magnesium Nitrate // Can. J. Chem. 1973. V. 51. P. 118–125. https://doi.org/10.1139/v73-017
 - Al-Abadleh H.A., Grassian V.H. Phase Transitions in Magnesium Nitrate Thin Films: a Transmission FT-IR Study of the Deliquescence and Efflorescence of Nitric Acid Reacted Magnesium Oxide Interfaces // J. Phys. Chem. Bull. 2003. V. 107. P. 10829–10839. https://doi.org/10.1021/jp0275692
 - Jayarambabu N., Siva Kumari B., Venkateswara Rao K., Prabhu Y. Enhancement of Growth in Maize by Biogenic-Synthesized MgO Nanoparticles // Int. J. Pure Appl. Zool. 2016. V. 4. P. 262–270.
 - Boumaza A., Favaro L., Lédion J. Transition Alumina Phases Induced by Heat Treatment of Boehmite: an X-ray Diffraction and Infrared Spectroscopy Study // J. Solid. State Chem. 2009. V. 182. P. 1171–1176. https://doi.org/10.1016/j.jssc.2009.02.006
 - Chandradass J., Kim K.H. Effect of Precursor Ratios on the Synthesis of MgAl2O4 Nanoparticles by a Reverse Microemulsion Method // J. Ceram. Process. Res. 2010. V. 11. P. 96–99.
 
Дополнительные файлы
				
			
						
						
						
					
						
									









