Синтез и исследование катодного материала для натрий-ионного аккумулятора на основе композита фосфата натрия-ванадия(III) и терморасширенного графита
- Авторы: Сидоров И.1,2, Жилинский В.В.1, Новиков В.П.2
-
Учреждения:
- Белорусский государственный технологический университет
- Научно-практический центр Национальной академии наук Беларуси по материаловедению
- Выпуск: Том 59, № 6 (2023)
- Страницы: 638-645
- Раздел: Статьи
- URL: https://bakhtiniada.ru/0002-337X/article/view/140191
- DOI: https://doi.org/10.31857/S0002337X23060131
- EDN: https://elibrary.ru/FAPGJV
- ID: 140191
Цитировать
Полный текст
Аннотация
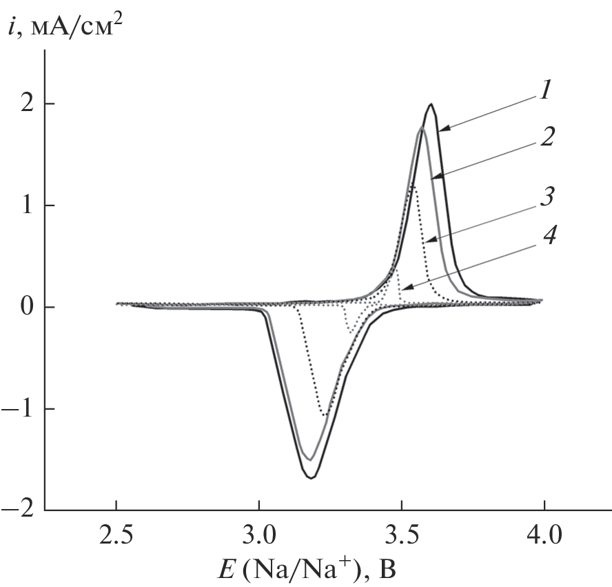
В настоящей работе апробирован усовершенствованный твердофазный синтез Na3V2(PO4)3 со структурой суперионного проводника NASICON и размерами частиц 0.5–4.5 мкм на основе распылительной сушки водного раствора прекурсоров с последующим отжигом в атмосфере азота. Максимальная удельная емкость для композита из полученого Na3V2(PO4)3 и терморасширеного графита составляет 117.00 мАч/г при скорости заряда и разряда С/20 и уменьшается до 76.73 мАч/г после 200 циклов зарядно-разрядных ресурсных испытаний при скорости заряда и разряда 1С. Величина кажущегося коэффициент а диффузии иона натрия в твердой фазе композита Na3V2(PO4)3/С для процесса де- и интеркаляции составляет 5.87 × 10–11 и 4.60 × 10–11 см2/c соответственно.
Об авторах
И. Сидоров
Белорусский государственный технологический университет; Научно-практический центр Национальной академии наук Беларуси по материаловедению
Email: zhilinski@yandex.ru
Беларусь, 220006, Минск, ул. Свердлова, 13а; Беларусь, 220072, Минск, ул. П. Бровки, 19
В. В. Жилинский
Белорусский государственный технологический университет
Email: zhilinski@yandex.ru
Беларусь, 220006, Минск, ул. Свердлова, 13а
В. П. Новиков
Научно-практический центр Национальной академии наук Беларуси по материаловедению
Автор, ответственный за переписку.
Email: zhilinski@yandex.ru
Беларусь, 220072, Минск, ул. П. Бровки, 19
Список литературы
- Goodenough J.B., Park K.S. The Li-Ion Rechargeable Battery: A Perspective // J. Am. Chem. Soc. 2013. V. 135. № 4. P. 1167–1176. https://doi.org/10.1021/ja3091438
- Fang Y., Xiao L., Qian J., Cao Y., Yang H. 3D Graphene Decorated NaTi2(PO4)3 Microspheres as a Superior High-Rate and Ultracycle-Stable Anode Material for Sodium Ion Batteries // Adv. Energy Mater. 2016. V. 6. P. 1502197. https://doi.org/10.1002/aenm.201502197
- Komaba S., Murata W., Ishikawa T., Yabuuchi N., Ozeki T., Nakayama T. Electrochemical Na Insertion and Solid Electrolyte Interphase for Hard-Carbon Electrodes and Application to Na-Ion Batteries // Adv. Funct. Mater. 2011. V. 21. № 20. P. 3859–3867. https://doi.org/10.1002/adfm.201100854
- Zeng X., Peng J., Guo Y., Zhu H., Huang X. Research Progress on Na3V2(PO4)3 Cathode Material of Sodium Ion Battery // Front. Chem. 2020. V. 8. P. 635. https://doi.org/10.3389/fchem.2020.00635
- Deng J., Luo W.B., Chou S.L., Liu H.K., Dou S.X. Sodium-Ion Batteries: from Academic Research to Practical Commercialization // Adv. Energy Mater. 2018. V. 8. № 4. P. 1701428. https://doi.org/10.1002/aenm.201701428
- Komaba S., Takei C., Nakayama T., Ogata A., Yabuuchi N. Electrochemical Intercalation Activity of Layered NaCrO2 vs. LiCrO2 // Electrochem. Commun. 2010. V. 12. № 3. P. 355–358. https://doi.org/10.1016/j.elecom.2009.12.033
- Klee R., Aragón M.J., Lavela P., Alcántara R., Tirado J.L. Na3V2(PO4)3/C Nanorods with Improved Electrode-Electrolyte Interface as Cathode Material for Sodium-Ion Batteries // ACS Appl. Mater. Interfaces 2016. V. 8. № 35. P. 23151–23159. https://doi.org/10.1021/acsami.6b07950
- Tepavcevic S., Xiong H., Stamenkovic V.R., Zuo X., Balasubramanian M., Prakapenka V.B. Nanostructured Bilayered Vanadium Oxide Electrodes for Rechargeable Sodium-Ion Batteries // ACS Nano. 2012. V. 6. № 1. P. 530–538. https://doi.org/10.1021/nn203869a
- Qi Y., Mu L., Zhao J., Hu Y. S., Liu H., Dai S. Superior Na-Storage Performance of Low-Temperature-Synthesized Na3(VO1−xPO4)2F1+2x(0 ≤ x ≤ 1) NaNoparticles for Na-Ion Batteries // Angew. Chem. Int. Ed. 2015. V. 54. № 34. P. 9911–9916. https://doi.org/10.1002/anie.201503188
- Li H., Zhu Z.Q., Duan W. Na3V2(PO4)3@C Core-Shell Nanocomposites for Rechargeable Sodium-Ion Batteries // J. Mater. Chem. A. 2014. V. 2. № 23. P. 8668–8675. https://doi.org/10.1039/C4TA00106K
- Kabbour H., Coillot D., Colmont M., Masquelier C., Mentré O. α-Na3M2(PO4)3 (M = Ti, Fe): Absolute Cationic Ordering in NASICON-Type Phases // J. Am. Chem. Soc. 2011. V. 133. № 31. P. 11900–11903. https://doi.org/10.1021/ja204321y
- Kang J.W., Baek S., Mathew V., Gim J., Song J.J., Park H. High Rate Performance of a Na3V2(PO4)3/C Cathode Prepared by Pyro-Synthesis for Sodium-Ion Batteries // J. Mater. Chem. 2012. V. 22. № 39. P. 20857–20860. https://doi.org/10.1039/c2jm34451c
- Zheng Q., Yi H.M., Li X.F., Zhang H.M. Progress and Prospect for NASICON-Type Na3V2(PO4)3 for Electrochemical Energy Storage // J. Energy Chem. 2018. V. 27. № 6. P. 1597–1617. https://doi.org/10.1016/J.JECHEM.2018.05.001
- Lim S.J., Han D.W., Nam D.H., Hong K.S., Eom J.Y., Ryu W.H. Structural Enhancement of Na3V2(PO4)3/C Composite Cathode Materials by Pillar Ion Doping for High Power and Long Cycle Life Sodium-Ion Batteries // J. Mater. Chem. A. 2014. V. 2. № 46. P. 19623–19632. https://doi.org/10.1039/C4TA03948C
- Ren W.H., Zheng Z.P., Xu C., Niu C.J., Wei Q.L., An Q.Y. Self-Sacrificed Synthesis of Three-Dimensional Na3V2(PO4)3 Nanofiber Network for High-Rate Sodium-Ion Full Batteries // Nano Energy. 2016. V. 25. P. 145–153. https://doi.org/10.1016/j.nanoen.2016.03.018
- Zatovsk I.V. NASICON-type Na3V2(PO4)3 // Acta Crystallogr., Sect. E. 2010. V. 66. № 2. P. i12. https://doi.org/10.1107/S1600536810002801
- Lim S.Y., Kim H., Shakoor R.A., Jung Y., Choi J.W. Electrochemical and Thermal Properties of NASICON Structured Na3V2(PO4)3 as a Sodium Rechargeable Battery Cathode: A Combined Experimental and Theoretical Study // J. Electrochem. Soc. 2012. V. 159. № 9. P. A1393–A1397. https://doi.org/10.1149/2.015209jes
- Wang M., Huang X., Wang H., Zhou T., Xie H., Ren Y. Synthesis and Electrochemical Performances of Na3V2(PO4)2F3/C Composites as Cathode Materials for Sodium Ion Batteries // RSC Adv. 2019. V. 9. P. 30628–30636. https://doi.org/10.1039/c9ra05089b
- Böckenfeld N., Balducci A. Determination of Sodium Ion Diffusion Coefficients in Sodium Vanadium Phosphate // J. Solid State Electrochem. 2014. V. 18. № 4. P. 959–964. https://doi.org/10.1007/s10008-013-2342-6
- Zhou X.C., Liu Y.M., Guo Y.L. Effect of Reduction Agent on the Performance of Li3V2(PO4)3/C Positive Material by One-Step Solid-State Reaction // Electrochim. Acta. 2009. V. 54. № 14. P. 2253–2258. https://doi.org/10.1016/j.electacta.2008.10.062
- Rui X.H., Yan Q.Y., Skyllas-Kazacos M., Lim T.M. Li3V2(PO4)3 Cathode Materials for Lithium-Ion Batteries: A Review // J. Power Sources. 2014. V. 258. P. 19–38. https://doi.org/10.1016/j.jpowsour.2014.01.126
- Wang D., Chen N., Li M., Wang C., Ehrenberg H., Bie X., Wei Y., Chen G., Du F. Na3V2(PO4)3/C Composite as the Intercalation-Type Anode Material for Sodium-Ion Batteries with Superior Rate Capability and Long-Cycle Life // J. Mater. Chem. A. 2015. V. 3. № 16. P. 8636–8642. https://doi.org/10.1039/C5TA00528K
- Wang Q., Cheng B.M., Zhong H.Y., Wang Q.H., Zhong S.W. Effect of Sol–Gel-Method on Crystal Growth and Electrochemical Properties of Na3V2(PO4)3 // Chin. J. Power Sources. 2019. V. 43. № 21. P. 559–561. https://doi.org/10.3969/j.issn.1002-087X.2019.04.005
- Ruan Y.L., Liu J.J., Song S.D., Jiang N.Y., Battaglia V. Multi-Hierarchical Nanosheet-Assembled Chrysanthemum-Structured Na3V2(PO4)3/C as Electrode Materials for High-Performance Sodium-Ion Batteries // Ionics. 2017. V. 24. P. 1663–1673. https://doi.org/10.1007/s11581-017-2342-0
- Liu H., Rahm E., Holze R., Wu H.Q. Cathode Materials for Lithium Ion Batteries Prepared by Sol-Gel Methods // J. Solid State Electrochem. 2004. V. 8. № 7. P. 450–466. https://doi.org/10.1007/s10008-004-0521-1
- Gao M.R., Xu Y.F., Jiang J., Yu S.H. Nanostructured Metal Chalcogenides: Synthesis, Modification, and Applications in Energy Conversion and Storage Devices // Chem. Soc. Rev. 2013. V. 42. № 7. P. 2986–3017. https://doi.org/10.1039/c2cs35310e
- Zhu Q., Cheng H., Zhang X.M., He L.Q., Hu L.Z., Yang J.W., Chen Q.Q., Lu Z.G. Improvement in Electrochemical Performance of Na3V2(PO4)3/C Cathode Material for Sodium-Ion Batteries by K-Ca Co-Doping // Electrochim. Acta. 2018. V. 281. P. 208–217. https://doi.org/10.1016/j.electacta.2018.05.174
- Новиков В.П., Кирик С.А. Способ получения расширенного графита: Пат. № 17336 РБ: МПК C01В 31/04: 30.08.2013.
- Озерова В.В., Новикова С.А., Чеканников А.А., Кулова Т.Л., Скундин А.М., Ярославцев А.Б. Электрохимическая интеркаляция натрия в композиты на основе фосфата железа (III) и углерода // Неорган. материалы. 2019. Т. 55. № 5. С. 501–508. https://doi.org/10.1134/S0002337X19050166
- Kapaev R., Chekannikov A., Novikova S., Yaroslavtsev S., Kulova T., Rusakov V., Skundin A., Yaroslavtsev A. Mechanochemical Treatment of Maricite-Type NaFePO4 for Achieving High Electrochemical Performance // J. Solid State Electrochem. 2017. V. 21. P. 2373–2380. https://doi.org/10.1007/s10008-017-3592-5
- Vasil’eva V.I., Goleva E.A., Selemenev V.F., Karpov S.I., Smagin M.A. IR Spectroscopic Study of the Mechanism of Phenylalanine Sorption from Aqueous Solutions by a Shaped Sulfonic Acid Cation-Exchange Membrane with a Styrene–Divinylbenzene Matrix // Russ. J. Phys. Chem. A. 2019. V. 93. № 3. P. 542–550.
- Саримсакова Н.С., Файзуллаев Н.И., Бакиева Х.А. Механизм и кинетика реакции получения этилового эфира из уксусной кислоты // Universum: технические науки: электрон. научн. журн. 2021. Т. 5. № 86. URL: https://7universum.com/ru/tech/archive/item/11751
- Kosova N.V., Rezepova D.O. Na1+yVPO4F1+y (0 ≤ y ≤ 0.5) as Cathode Materials for Hybrid Na/Li Batteries // Inorganics. 2017. V. 5. P. 19–21.
Дополнительные файлы







