Monolithic Ni/LiNbO3 Structures with an Interfacial Magnetoelectric Effect
- Authors: Sharko S.A.1, Serokurova A.I.1, Novitskii N.N.1, Poddubnaya N.N.2, Ketsko V.A.3, Stognij A.I.1
-
Affiliations:
- Scientific–Practical Materials Research Centre, Belarussian Academy of Sciences
- Institute of Technical Acoustics, Belarussian Academy of Sciences
- Kurnakov Institute of General and Inorganic Chemistry, Russian Academy of Sciences
- Issue: Vol 59, No 6 (2023)
- Pages: 624-630
- Section: Articles
- URL: https://bakhtiniada.ru/0002-337X/article/view/140189
- DOI: https://doi.org/10.31857/S0002337X23060179
- EDN: https://elibrary.ru/EWOJMO
- ID: 140189
Cite item
Full Text
Abstract
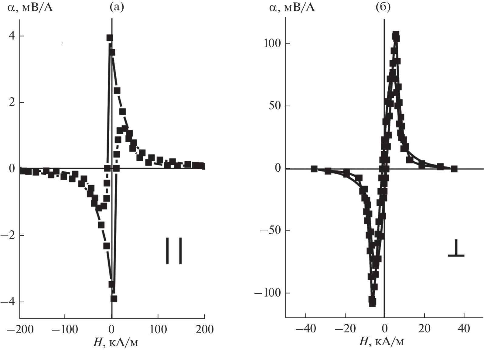
Layered structures in the form of submicron-thick nickel layers on single-crystal lithium niobate (LiNbO3) ferroelectric substrates have been produced by ion beam sputter deposition. At room temperature, the structures exhibit an interfacial magnetoelectric effect, whose largest magnitude is 108 mV/A in a transverse configuration of the magnetic and electric fields and 4 mV/A in a longitudinal configuration. Analysis of mechanical strain leads us to conclude that the interface makes a considerable contribution to magnetoelectric interaction in the Ni/LiNbO3 structures obtained in this study. The materials can find application in designing piezoelectric devices and acoustic, optical, and spin wave electronics.
About the authors
S. A. Sharko
Scientific–Practical Materials Research Centre, Belarussian Academy of Sciences
Email: sharko@physics.by
220072, Minsk, Belarus
A. I. Serokurova
Scientific–Practical Materials Research Centre, Belarussian Academy of Sciences
Email: sharko@physics.by
220072, Minsk, Belarus
N. N. Novitskii
Scientific–Practical Materials Research Centre, Belarussian Academy of Sciences
Email: sharko@physics.by
220072, Minsk, Belarus
N. N. Poddubnaya
Institute of Technical Acoustics, Belarussian Academy of Sciences
Email: sharko@physics.by
210023, Vitebsk, Belarus
V. A. Ketsko
Kurnakov Institute of General and Inorganic Chemistry, Russian Academy of Sciences
Email: ketsko@igic.ras.ru
123182, Moscow, Russia
A. I. Stognij
Scientific–Practical Materials Research Centre, Belarussian Academy of Sciences
Author for correspondence.
Email: sharko@physics.by
220072, Minsk, Belarus
References
- Volk T., Wöhlecke M. Lithium Niobate: Defects, Photorefraction and Ferroelectric Switching. Berlin: Springer, 2009. P. 1–9. ISBN 978-3-540-70765-3https://doi.org/10.1007/978-3-540-70766-0
- Shur V.Y. Lithium Niobate and Lithium Tantalate-based Piezoelectric Paterials, in Advanced Piezoelectric Materials: Science and Technology. Cambridge: Woodhead, 2010. P. 204–238. https://doi.org/10.1533/9781845699758.1.204
- Sánchez-Dena O., Fierro-Ruiz C.D., Villalobos-Mendoza S.D., Flores D.M.C., Elizalde-Galindo J.T., Farías R. Lithium Niobate Single Crystals and Powders Reviewed − Part I // Crystals. 2020. V. 10. P. 973–32. https://doi.org/10.3390/cryst10110973
- Li M., Ling J., He Y., Javid U., Xue Sh., Lin Q. Lithium Niobate Photonic-Crystal Electro-Optic Modulator // Nat. Comun. 2020. V. 11. P. 4123–8. https://doi.org/10.1038/s41467-020-17950-7
- Zhu D., Shao L., Yu M., Cheng R., Desiatov B., Xin C.J., Hu Y., Holzgrafe J., Ghosh S., Shams-Ansari A., Puma E., Sinclair N., Reimer Ch., Zhang M., Lončar M. Integrated Photonics on Thin-Film Lithium Niobate // Adv. Opt. Photon. 2021. V. 13 № 2. P. 242–352. https://doi.org/10.1364/AOP.411024
- https://www.korth.de/en/materials/detail/Lithium%20Niobate, 2022 (accessed 12 August 2022).
- Nan C.-W., Bichurin M.I., Dong S., Viehland D., Srinivasan G. Multiferroic Magnetoelectric Composites: Historical Perspective, Status, and Future Directions // J. Appl. Phys. 2008. V. 103. P. 031101-35. https://doi.org/10.1063/1.2836410
- Channagoudra G., Dayal V. Magnetoelectric Coupling in Ferromagnetic/Ferroelectric Heterostructures: A Survey and Perspective // J. Alloys Compd. 2022. V. 928. P. 167181. https://doi.org/10.1016/j.jallcom.2022.167181
- Kumar A., Kaur D. Magnetoelectric Heterostructures for Next-Generation MEMS Magnetic Field Sensing Applications // J. Alloys Compd. 2022. V. 897. P. 163091. https://doi.org/10.1016/j.jallcom.2021.163091
- Bundesmann C., Neumann H. Tutorial: The Systematics of Ion Beam Sputtering for Deposition of Thin Films with Tailored Properties // J. Appl. Phys. 2018. V. 124. P. 231102-17. https://doi.org/10.106 /1.5054046
- Sharko S.A., Serokurova A.I., Novitskii N.N., Poddubnaya N.N., Ketsko V.A., Stognij A.I. Elastically Stressed State at the Interface in the Layered Frromagnetic / Ferroelectric Structures with Magnetoelectric Effect // Ceram. Int. 2022. V. 48. № 9. P. 12387–12394. https://doi.org/10.1016/j.ceramint.2022.01.103
- Srinivasan G., Fetisov Y.K., Fetisov L.Y. Influence of Bias Electrical Field on Magnetoelectric Interactions in Ferromagnetic-Piezoelectric Layered Structures // Appl. Phys. Lett. 2009. V. 94. P. 132507-3. https://doi.org/10.1063/1.3114406
- Fetisov L.Y., Chashin D.V., Fetisov Y.K., Segalla A.G., Srinivasan G. Resonance Magnetoelectric Effects in a Layered Composite under Magnetic and Electrical Excitations // J. Appl. Phys. 2012. V. 112. P. 014103-6. https://doi.org/10.1063/1.4733466
- International Centre for Diffraction Data, 2023, JCDD. https://www.icdd.com.
- Kittel Ch., Hook J. Introduction to Solid State Physics. University of California: Wiley, 2017. 752 p.
- Stognij A.I., Novitskii N.N., Trukhanov S.V., Trukhanov A.V., Panina L.V., Sharko S.A., Serokurova A.I., Poddubnaya N.N., Ketsko V.A., Dyakonov V.P., Szymczak H., Singh C., Yang Y. Interface Magnetoelectric Effect in Elastically Linked Co/PZT/Co Layered Structures // J. Magn. Magn. Mater. 2019. V. 485. P. 291–296. https://doi.org/10.1016/j.jmmm.2019.04.006
- Sharko S.A., Serokurova A.I., Novitskii N.N., Ketsko V.A., Stognij A.I. Continuous Ferrimagnetic Y3Fe5O12 Layers on the Ceramic PbZr0.45Ti0.55O3 Substrates // Ceram. Int. 2020. V. 46. № 14. P. 22049–22056. https://doi.org/10.1016/j.ceramint.2020.05.210
- Grigoriev I.S., Meilikhov E.Z., Radzig A.A. Handbook of Physical Quantities. Boca Raton: CRC, 1996.
Supplementary files







