Anodic Behavior of Lithium-Alloyed Lead–Antimony Alloy SSu3 in NaCl Electrolyte
- Authors: Ganiev I.N.1, Okilov S.S.1, Mulloeva N.M.2
-
Affiliations:
- Nikitin Institute of Chemistry, Academy of Sciences of Tajikistan, 734063, Dushanbe, Tajikistan
- Innovative Science and Technology Center State Institution, Academy of Sciences of Tajikistan, 734063, Dushanbe, Tajikistan
- Issue: Vol 59, No 3 (2023)
- Pages: 266-272
- Section: Articles
- URL: https://bakhtiniada.ru/0002-337X/article/view/140157
- DOI: https://doi.org/10.31857/S0002337X23030065
- EDN: https://elibrary.ru/YQZTOT
- ID: 140157
Cite item
Full Text
Abstract
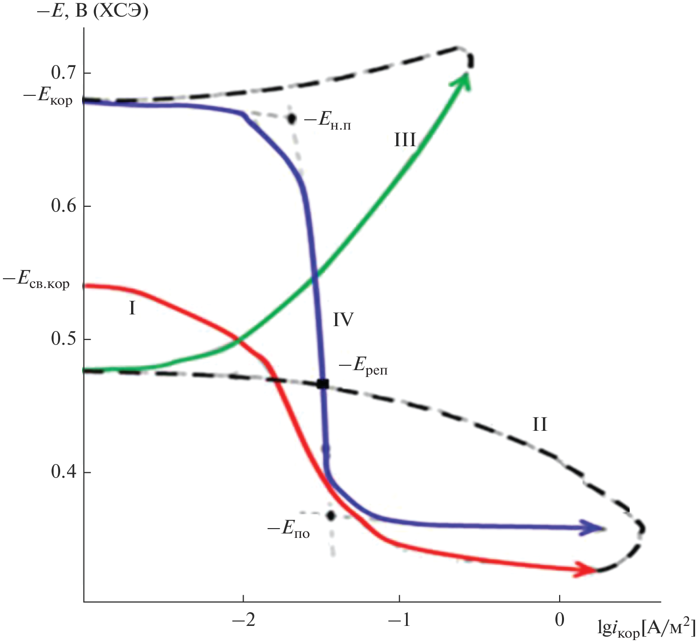
This paper presents corrosion and electrochemical characterization data illustrating the effect of 0.05–1.0 wt % lithium as a structure modifier on the anodic behavior of lead–antimony alloy SSu3 (Pb + 3 wt % Sb) in NaCl electrolyte. The alloy was studied potentiostatically in potentiodynamic mode at a potential sweep rate of 2 mV/s. The results demonstrate that increasing the concentration of the aqueous NaCl solution shifts the corrosion, pitting, and repassivation potentials of the alloys to negative values. The free corrosion potential of the alloys shifts over time to positive values. The same occurs with increasing lithium concentration in SSu3. Moreover, increasing the NaCl concentration in the electrolyte increases the corrosion rate of the alloys, independent of their composition. Lithium additions to SSu3 improve its corrosion resistance. The alloys have been shown to corrode by the pitting mechanism. Acting as a structure modifier, lithium increases their pitting and repassivation potentials, improving the pitting corrosion resistance of the alloys and helping to eliminate emerging pitting corrosion spots.
About the authors
I. N. Ganiev
Nikitin Institute of Chemistry, Academy of Sciences of Tajikistan, 734063, Dushanbe, Tajikistan
Email: ganievizatullo48@gmail.com
Таджикистан, 734063, Душанбе,
ул. Айни, 299/2
Sh. Sh. Okilov
Nikitin Institute of Chemistry, Academy of Sciences of Tajikistan, 734063, Dushanbe, Tajikistan
Email: ganievizatullo48@gmail.com
Таджикистан, 734063, Душанбе,
ул. Айни, 299/2
N. M. Mulloeva
Innovative Science and Technology Center State Institution, Academy of Sciences of Tajikistan, 734063, Dushanbe, Tajikistan
Author for correspondence.
Email: ganievizatullo48@gmail.com
Таджикистан, 734063, Душанбе, ул. Айни, 299/2
References
- Дунаев Ю.Д. Нерастворимые аноды из сплавов на основе свинца. Алма-Ата: Наука, 1978. 316 с.
- Дунаев Ю.Д., Бринцева В.И., Лукин Е.Г., Бундже В.Г. Электрохимические исследования амальгамных систем. Алма-Ата: Наука, 1972. 52 с.
- Хансен М., Андерко К. Структура двойных сплавов. Т. 1. М.: Металлургиздат, 1962. 608 с.
- Бурашникова М.М., Иноземцева Е.В., Таланов С.Е., Казаринов И.А. Влияние состава свинцовых сплавов на проводимость коррозионного слоя положительных решеток в свинцово-кислотном аккумуляторе // Электрохимическая энергетика. 2009. Т. 9. № 4. С. 209–217.
- Каменев Ю.Б. Влияние селена на характеристики малосурьмяных свинцовых сплавов // Электрохимическая энергетика. 2008. Т. 8. № 4. С. 209–214.
- Сосновская Н.Г. Влияние состава сплава положительного электрода на характеристики свинцового аккумулятора // Современные технологии и научно-технический прогресс. 2004. Т. 1. С. 55.
- Салита Д.С., Поляков В.В. Влияние структуры свинцового сплава на акустическую эмиссию при пластической деформации и разрушении // Изв. Алтайского гос. ун-та. 2017. № 1 (93). С. 54–57.
- Суржко О.А., Шевченко В.Г., Еселевич Д.А., Конюкова А.В. Электролитическое осаждение кобальт-свинцового сплава с магнитными свойствами // Расплавы. 2016. № 1. С. 47–53.
- Зотова И.В., Бурашникова М.М., Казаринов И.А. Электрохимическое поведение Pb–Sn–Ca–Al–Ba сплавов в растворе серной кислоты // Электрохимическая энергетика. 2012. Т. 12. № 4. С. 185–193.
- Королев А.А., Сергейченко С.В., Мальцев Г.И., Воинков Р.С., Тимофеев К.Л. Электролитическая переработка Pb–Bi-сплава // Журн. Сибирского федерального ун-та. Сер.: Техника и технологии. 2021. Т. 14. № 8. С. 930–941.
- Мартиросян М.В., Арстамян Ж.М., Агбалян А.С., Хачатрян М.А. Коррозия электродных материалов на основе свинца // Вестн. Национального политехн. ун-та Армении. Металлургия, материаловедение, недропользование. 2019. № 1. С. 15–25.
- Халимуллина Ю.Р., Зайков Ю.П., Архипов П.А., Ашихин В.В., Скопов Г.В., Холкина А.С., Молчанова Н.Г. Равновесные потенциалы сплавов Pb–Bi в расплаве KCl–PbCl2 // Расплавы. 2010. № 5. С. 32–41.
- Ганиев И.Н., Ходжаназаров Х.М., Ходжаев Ф.К., Одиназода Х.О. Влияние добавок калия на анодную устойчивость свинцового баббита БК (PBSB15SN10К) // Вестн. Пермского национального исслед. политехн. ун-та. Хим. технология и биотехнология. 2022. № 1. С. 52–63.
- Ганиев И.Н., Ходжаназаров Х.М., Ходжаев Ф.К. Потенциодинамическое исследование свинцового баббита БТ (PbSb15Sn10), с натрием, в среде электролита NaCl // Ползуновский вестн. 2022. № 1. С. 126–133.
- Ходжаназаров Х.М., Ганиев И.Н., Ходжаев Ф.К. Потенциодинамическое исследование свинцового баббита БК (PbSb15Sn10K) с калием в среде электролита 3%-ного NaCl // Вестн. Саратовского гос. техн. ун-та. 2022. № 1. С. 86–92.
- Ганиев И.Н., Пархутик П.А., Вахобов А.В., Куприянова И.Ю. Модифицирование силуминов стронцием. Минск: Наука и техника, 1985. 143 с.
- Мальцев М.В. Модифицирование структуры металлов и сплавов. М.: Металлургия, 1984. 282 с.
Supplementary files






