Magnetic Properties and Critical Currents of the Dy0.8Er0.2Rh3.8Ru0.2B4 and Dy0.6Er0.4Rh3.8Ru0.2B4 Superconductors
- Authors: Lachenkov S.A.1, Vlasenko V.A.2, Tsvetkov A.Y.2, Dement’ev V.A.1
-
Affiliations:
- Baikov Institute of Metallurgy and Materials Science, Russian Academy of Sciences, 119991, Moscow, Russia
- Lebedev Institute of Physics, Russian Academy of Sciences, 119991, Moscow, Russia
- Issue: Vol 59, No 1 (2023)
- Pages: 39-45
- Section: Articles
- URL: https://bakhtiniada.ru/0002-337X/article/view/140115
- DOI: https://doi.org/10.31857/S0002337X2301013X
- EDN: https://elibrary.ru/OTKSTX
- ID: 140115
Cite item
Full Text
Abstract
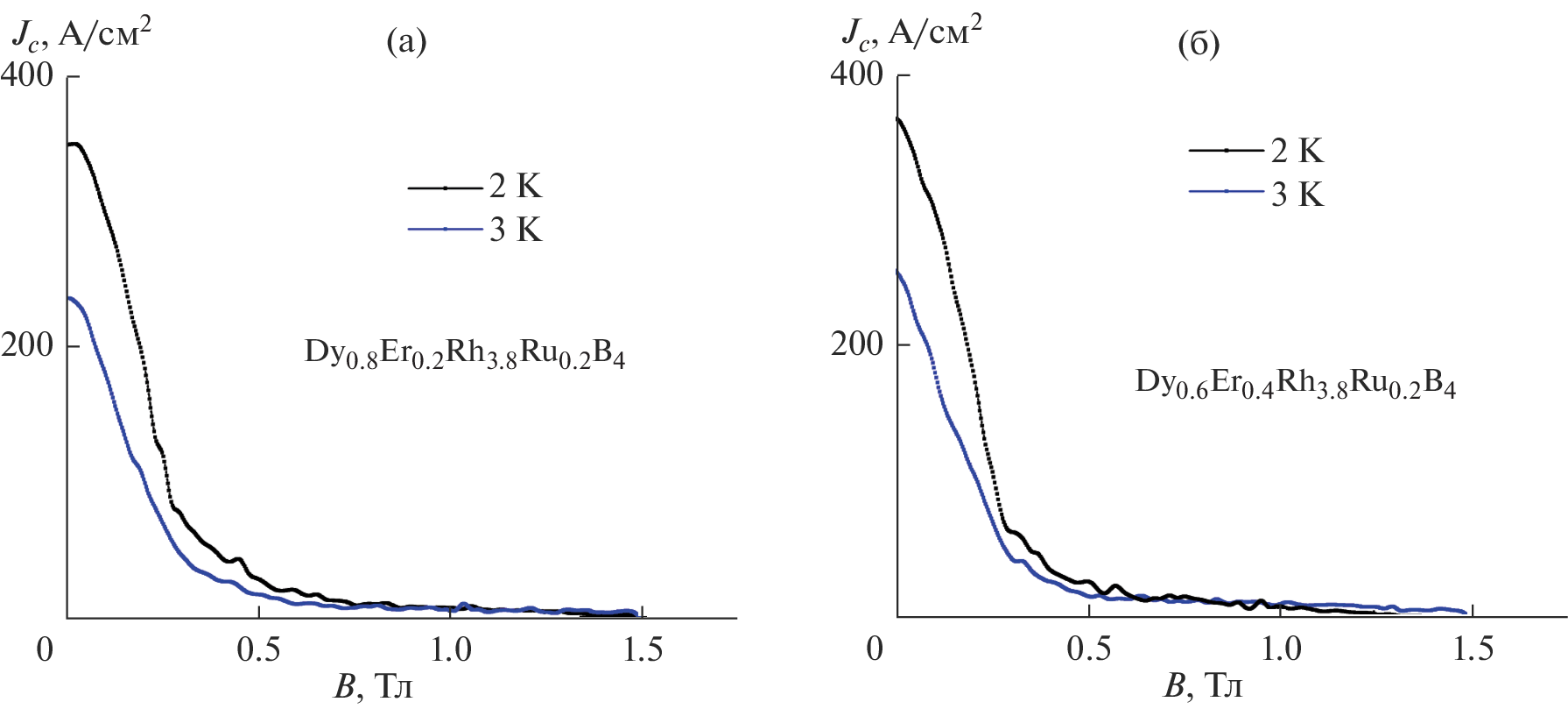
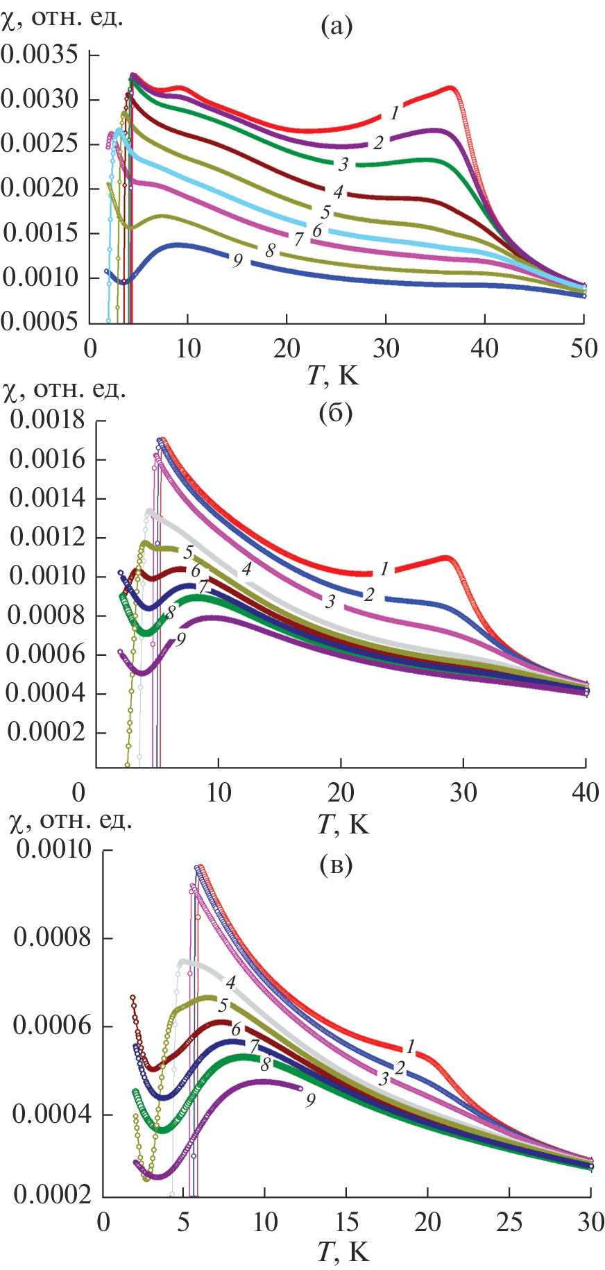
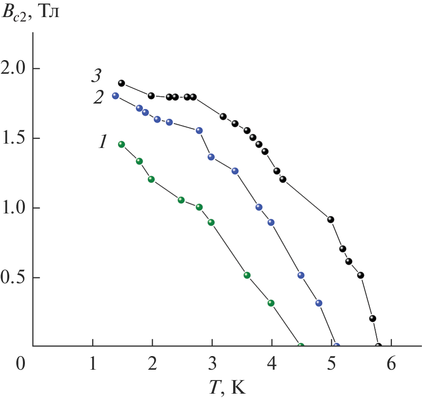
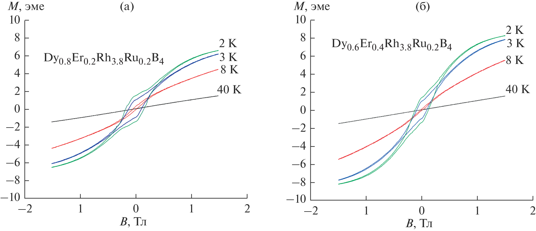
The magnetic superconductors Dy0.8Er0.2Rh3.8Ru0.2B4 (Tc ~ 5.1 K) and Dy0.6Er0.4Rh3.8Ru0.2B4 (Tc ~ 5.8 K) have been prepared by partially substituting Er for Dy in DyRh3.8Ru0.2B4, and their χ(Т), М(B), and
(Т) have been studied in detail. The materials have been shown to undergo an antiferromagnetic transition (at ~3 K) similar to that of the magnetic superconductor DyRh3.8Ru0.2B4. Using magnetic moment vs. magnetic field, M(B), measurements for Dy0.8Er0.2Rh3.8Ru0.2B4 and Dy0.6Er0.4Rh3.8Ru0.2B4 samples and the Bean model, we have obtained the critical current density as a function of field, jc(B), and the reduced pinning force as a function of reduced field, Fp(h), for the Er-containing materials. The superconductors with antiferromagnetic order in their magnetic subsystem (Dy0.8Er0.2Rh3.8Ru0.2B4 and Dy0.6Er0.4Rh3.8Ru0.2B4) have been shown to exhibit the largest deviation from the scaling law for h > 0.4.
About the authors
S. A. Lachenkov
Baikov Institute of Metallurgy and Materials Science, Russian Academy of Sciences, 119991, Moscow, Russia
Email: slachenkov@imet.ac.ru
Россия, 119991, Москва, Ленинский пр., 49
V. A. Vlasenko
Lebedev Institute of Physics, Russian Academy of Sciences, 119991, Moscow, Russia
Email: slachenkov@imet.ac.ru
Россия, 119991, Москва,
Ленинский пр., 53
A. Yu. Tsvetkov
Lebedev Institute of Physics, Russian Academy of Sciences, 119991, Moscow, Russia
Email: slachenkov@imet.ac.ru
Россия, 119991, Москва,
Ленинский пр., 53
V. A. Dement’ev
Baikov Institute of Metallurgy and Materials Science, Russian Academy of Sciences, 119991, Moscow, Russia
Author for correspondence.
Email: slachenkov@imet.ac.ru
Россия, 119991, Москва, Ленинский пр., 49
References
- Matthias B.T., Suhl H., Corenzwit E. Spin Exchange in Superconductors // Phys. Rev. Lett. 1959. V. 1. P. 92–94.
- Takabayashi Y., Ganin A.Y., Jeglic P. et al. The Disorder-Free Non-BCS Superconductor Cs3C60 Emerges from an Antiferromagnetic Insulator Parent State // Science. 2009. V. 323. P. 1585–1590. https://doi.org/10.1126/science.1169163
- Chevrel R., Sergent M., Prigent J. Sur de Nouvelles Phases Sulfurées Ternaires du Molybdène // Solid State Chem. 1971. V. 3. № 4. P. 515–519.
- Matthias B.T., Marezio M., Corenzwit E., Cooper A.S., Barz H.E. High-Temperature Superconductors, the First Ternary System // Science. 1972. V. 175. № 4029. P. 1465–1466.
- Linder J., Sudbø A. Interplay вetween Ferromagnetism and Superconductivity // Nanoscience and Engineering in Superconductivity. Berlin, Heidelberg: Springer, 2010. P. 349–388.
- Бурханов Г.С., Лаченков С.А., Хлыбов Е.П. Особенности фазовых переходов магнитного сверхпроводника Dy0.8Y0.2Rh4B4 // Металлы. 2010. № 3. С. 79–83.
- Matsushita T. Flux Pinning in Superconductors. Berlin: Springer, 2007. P. 503.
- Шмидт В.В. Введение в физику сверхпроводников. М.: МЦНМО, 2000. С. 402.
- Jung S.-G., Kang J.-H., Park E. et al. Enhanced Critical Current Density in the Pressure-Induced Magnetic State of the High-Temperature Superconductor FeSe // Sci. Rep. 2015. V. 5. P. 16385. https://doi.org/10.1038/srep1638
- Бурханов Г.С., Лаченков С.А., Власенко В.А., Хлыбов Е.П., Гаврилкин С.Ю. Особенности магнитных свойств и критических токов сверхпроводящих боридов родия YRh4B4 и HoRh3.8Ru0.2B4 // Неорган. материалы. 2021. Т. 57. № 7. С. 720–726. https://doi.org/10.31857/S0002337X21070022
- Бурханов Г.С., Лаченков С.А., Хлыбов Е.П. Влияние магнитной подсистемы на усиление сверхпроводимости в тройных боридах родия // ДАН. 2011. Т. 438. № 5. С. 619–622.
- Bean C.P. Magnetization of Hard Superconductors // Phys. Rev. Lett. 1962. V. 8. P. 250–253.
- Bean C.P. Magnetization of High-Field Superconductors // Rev. Mod. Phys. 1964. V. 36. P. 31–39.
- Ашкрофт Н., Мермин Н. Физика твердого тела Т. 2. М.: Мир, 1979. С. 422.
- Shaw G. Quantitative Magneto-Optical Investigation of Superconductor/ Ferromagnet Hybrid Structures // Rev. Sci. Instrum. 2018. V. 89. № 2. P. 023705.
- Moncton D.E., McWhan D.B., Eckert J., Shirane G., Thomlinson W. Neutron Scattering Study of Magnetic Ordering in the Reentrant Superconductor ErRh4B4 // Phys. Rev. Lett. 1977. V. 39. P. 1164–1166.
- Edward J.K. Scaling Laws for Flux Pinning in Hard Superconductors // J. Appl. Phys. 1973. V. 44. P. 1360–1370.
- Koblischka M.R., Muralidhar M. Pinning Force Scaling Analysis of Fe-Based High-Tc Superconductors // Int. J. Modern Phys. B. 2016. V. 30. № 32. P. 1630017.
Supplementary files









