Влияние отжига на электрические свойства структур (Bi + Sn)–Pb0.75Sn0.25Тe〈Sn〉 и (In + Ag + Au)–Pb0.75Sn0.25Тe〈Sn〉
- Авторы: Ахундова Н.М.1, Алиева Т.Д.2
-
Учреждения:
- Азербайджанский государственный экономический университет
- Институт физики Национальной aкадемии наук Азербайджана
- Выпуск: Том 59, № 1 (2023)
- Страницы: 23-27
- Раздел: Статьи
- URL: https://bakhtiniada.ru/0002-337X/article/view/140112
- DOI: https://doi.org/10.31857/S0002337X23010013
- EDN: https://elibrary.ru/OOOTKQ
- ID: 140112
Цитировать
Полный текст
Аннотация
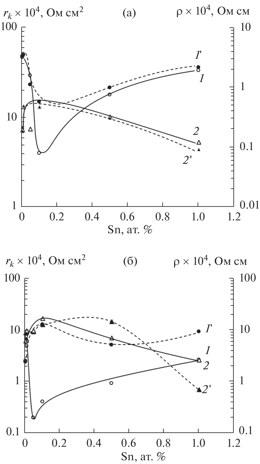
Выращены монокристаллы твердого раствора Pb0.75Sn0.25Тe со сверхстехиометрическим оловом до 1.0 ат. %, на их основе созданы структуры металл–полупроводник с применением эвтектик Bi + Sn и In + Ag + Au. Исследовано влияние отжига на их электрические свойства в интервале ∼77–300 К. Сделано предположение, что сверхстехиометрические атомы олова при малых содержаниях, заполняя вакансии в подрешетках Pb и Sn, уменьшают концентрацию носителей тока n, в результате чего растут удельные сопротивления кристалла ρ и контакта структур rk. При больших концентрациях олова образуются новые донорные центры в кристалле, растет n, что приводит к уменьшению ρ и rk.
Об авторах
Н. М. Ахундова
Азербайджанский государственный экономический университет
Email: tunzalaliyeva@mail.ru
Азербайджан, AZ 1001, Баку, ул. Истиглалият, 6
Т. Д. Алиева
Институт физики Национальной aкадемии наук Азербайджана
Автор, ответственный за переписку.
Email: tunzalaliyeva@mail.ru
Азербайджан, AZ 1143, Баку, пр. Г. Джавида, 131
Список литературы
- Дмитриев А.В., Звягин И.П. Современные тенденции развития физики термоэлектрических материалов // УФН. 2010. Т. 180. № 8. С. 821–838. https://doi.org/10.3367/UFNr.0180.201008b.0821
- Икоников А.В., Дудин В.С., Артамакин А.И., Акимов А.Н., Климов А.Э., Рябова Л.И., Хохлов Д.Р. Оптические и транспортные свойства эпитаксиальных пленок Pb0.74Sn0.26Te(In) с модифицируемой поверхностью // ФТП. 2020. Т. 54. Вып. 9. С. 896–901. Переводная версия: https://doi.org/10.1134/S106378262009013410.1134/S1063782620090134https://doi.org/10.21883/FTP.2020.09.49828.20
- Охотин А.С., Ефимов А.А., Охотин В.С., Пушкарский А.С. Термоэлектрические генераторы. М.: Атомиздат, 1976. 320 с.
- Khokhlov D.R., Ivanchik I.I., Raines S.N., Watson D.M., Pipher J.L. Performance and Spectral Response of Pb1–xSnxTe(In) Far-Infrared Photodetectors // Appl. Phys. Lett. 2000. V. 76. № 20. P. 2835–2839. https://doi.org/10.1063/1.126489
- Вайнер А.Л. Каскадные термоэлектрические источники холода. М.: Сов. радио, 1976. 137 с.
- Штерн М.Ю., Караваев И.С., Рогачев М.С., Штерн Ю.И., Мустафаев Б.Р., Корчагин Е.П., Козлов А.О. Методики исследования электрического контактного сопротивления в структуре металлическая пленка—полупроводник // ФТП. 2022. Т. 56. Вып. 1. С. 31–37. https://doi.org/10.21883/FTP.2022.01.51808.24
- Стафеев В.И. Структура и свойства контактов CdxHg1–xTe-металл // ФТП. 2009. Т. 43. № 5. С. 636–639.
- Алиева Т.Д., Абдинов Д.Ш. Физико-химические и электрические явления на границе раздела кристаллов твердых растворов систем Bi2Te3–Sb2Te3, Bi2Te3–Bi2Se3 с контактными материалами // Неорган. материалы. 1997. Т. 33. № 4. С. 27–38.
- Бархалов Б.Ш., Ахундова Н.М., Абдинов Д.Ш. Исследование границы раздела твердых растворов Bi2Te3–Sb2Te3, Bi2Te3–Bi2Se3 и сплавов систем Bi2Te3–Sb2Te3, Bi2Te3–Bi2Se3 с контактными материалами // Неорган. материалы. 1990. Т. 26. № 7. С. 1427–1431.
- Штерн М.Ю., Козлов А.О., Штерн Ю.И., Рогачев М.С., Корчагин Е.П., Мустафаев Б.Р., Дедкова А.А. Получение и исследование омических контактов с высокой адгезией к термоэлементам // ФТП. 2021. Т. 55. Вып. 12. С. 1097–1104. https://doi.org/10.21883/FTP.2021.12.51689.01
- Алиева Т.Д., Абдинова Г.Д., Ахундова Н.М., Исмайлова Р.А., Абдинов Д.Ш. Физико-химические процессы на границе раздела некоторых полупроводниковых твердых растворов с контактными сплавами // ЖФХ. 2009. Т. 83. № 12. С. 2336–2339.
- Кайданов B.И., Равич Ю.И. Глубокие и резонансные состояния в полупроводниках типа AIVBVI // УФН. 1985. Т. 145. № 1. С. 51–86. https://doi.org/10.3367/UFNr.0145.198501b.0051
- Рябова Л.И., Хохлов Д.Р. Терагерцовая фотопроводимость и нетривиальные локальные электронные состояния в легированных полупроводниках на основе теллурида свинца // УФН. 2014. Т. 184. № 10. С. 1033–1044. https://doi.org/10.3367/UFNr.0184.201410b.1033
- Белоконь С.А., Верещагина Л.Н., Иванчик И.И., Рябова Л.И., Хохлов Д.Р. Характер изменения свойств PbTe〈Ga〉 при изменении степени легирования // ФТП. 1992. Т. 26. Вып. 2. С. 264–269.
- Багиева Г.З., Мустафаев Н.Б., Абдинова Г.Д., Абдинов Д.Ш. Электрические свойства монокристаллов PbTe с избытком теллура // ФТП. 2011. Т. 45. Вып. 11. С. 1446–1449.
- Ахундова Н.М., Абдинова Г.Д. Перенос электрического заряда и теплоты в кристаллах SnTe c различными концентрациями вакансий в подрешетке олова // Изв. вузов. Физика. 2020. Т. 63. № 7. С. 120–124. https://doi.org/10.17223/00213411/63/7/120
- Багиева Г.З., Абдинова Г.Д., Мустафаев Н.Б., Абдинов Д.Ш. Теплопроводность сплавов олова с теллуридом олова // Неорган. материалы. 2020. Т. 56. № 7. С. 727–731. https://doi.org/10.31857/S0002337X20070027
- Равич Ю.И., Ефимова Б.А., Смирнов И.А. Методы исследования полупроводников в применении халькогенидам свинца PbTe, PbSe, PbS. М.: Наука, 1968. 384 с.
- Абрикосов Н.Х., Шелимова Л.Е. Полупроводниковые материалы на основе соединений AIVBVI. M.: Наука, 1975. 195 с.
- Aliyeva T.D., Abdinova G.D., Akhundova N.M., Dafarova S.Z. Current flow mechanizm in contact (In–Ag–Au)–Pb1–xMnxTe // Trans. Nat. Acad. Sci. Az., Ser. Phys.-Math. Tech. Sci. Phys. Astron. 2011. V. 31. № 2. P. 126–130.
- Физико-химические свойства полупроводниковых веществ: Справочник / Под ред. Новоселовой А.В., Лазарева В.Б. М.: Наука, 1979. 339 с.
- Краткий справочник физико-химических величин / Под ред. Мищенко К.П., Равдели А.А. Л.: Химия, 1967. 182 с.
- Бланк Т.В., Гольдберг Ю.А. Механизм протекания тока в омических контактах металл-полупроводник // ФТП. 2007. Т. 41. Вып. 11. С. 1281–1309.
Дополнительные файлы






