Aftershock Area Assessment Based on the First Aftershocks at the Khibiny Deposits
- Authors: Motorin A.Y.1,2, Baranov S.V.1
-
Affiliations:
- Kola Branch of the Geophysical Survey of the Russian Academy of Sciences
- Kirovsk Branch of Apatit JSC
- Issue: No 6 (2024)
- Pages: 164-177
- Section: Articles
- URL: https://bakhtiniada.ru/0002-3337/article/view/282350
- DOI: https://doi.org/10.31857/S0002333724060115
- EDN: https://elibrary.ru/RFWQTL
- ID: 282350
Cite item
Full Text
Abstract
This paper examines the construction of an aftershock activity area in conditions of natural and mining-induced seismicity after the data on the first aftershocks. The study area is apatite-nepheline deposits located in the southern part of the Khibiny massif. A wide range of aftershock varied in shape, location, and orientation has been investigated. The size of the area has been determined by scaling based on physical and statistical characteristics calculated from both the main shock and the first aftershocks. The criterion based on an error diagram has been used to quantitatively compare a large number of different variants. As a result, the optimal area type has been selected, showing the best results of the quantitative test based on seismicity data on the study area for 1996–2022. The technique can be used to predict the area of aftershock activity distribution at the Khibiny massif deposits after a natural–mining-induced earthquake based on operational processing data.
Full Text
ВВЕДЕНИЕ
Настоящая работа продолжает серию исследований, посвященных оценке постсейсмической опасности, возникающей при отработке месторождений полезных ископаемых в тектонически нагруженных массивах горных пород. Район исследования – месторождения южной части Хибинского массива, где с 1920-х годов осуществляется добыча апатит-нефелиновых руд подземным и открытым способом.
В данной статье рассматривается оценка области афтершоковой активности по информации о первых афтершоках. Такая оценка позволит определить зону, в которой элементы горных выработок, получившие скрытые повреждения в результате основного толчка, могут быть разрушены серией более слабых повторных толчков (афтершоков) и своевременно принять меры по выводу людей и техники на безопасное расстояние.
В ходе анализа пространственных областей афтершоков от сейсмических событий с магнитудами 6.5 или выше было выяснено, что в большинстве случаев эпицентральная форма области афтершоков далека от круга [Баранов, Шебалин, 2017]. При проведении горных работ в условиях природно-техногенной сейсмичности значительное влияние на форму области может оказывать расположение горных выработок, напряженно-деформированное состояние и блоковая структура в окрестности очага основного толчка.
В данной статье мы исходим из того, что пространственное распределение ранних афтершоков может дать представление об области будущей афтершоковой активности. В качестве основных толчков рассматривались сейсмические события с M ≥ 1.5. Ранними считались представительные события, произошедшие в течение первых 0.3 суток после основного толчка в круге диаметром 10 размеров очага. По этим данным строилась область, где ожидаются афтершоки с магнитудой 0.6 или выше в период времени от 0.3 до 90 суток. В природной сейсмичности землетрясения с такими магнитудами считаются крайне слабыми и, как правило, их регистрация находится ниже возможностей региональных сетей. Однако если такие события происходят на отрабатываемых месторождениях, они представляют значительную опасность, поскольку могут повреждать горные выработки, расположенные в непосредственной близости к очагу.
Длительность обучающего интервала 0.3 суток выбрана из практических соображений. Во-первых, это значение примерно соответствует рабочей смене, а во-вторых, за это период уже накапливается необходимая для проведения расчетов информация. Правое значение прогнозного временного интервала 90 суток было выбрано, поскольку в течение этого времени афтершоки в Хибинах прекращаются. Подчеркнем, что это значение не следует рассматривать как оценку времени, в течение которого ожидаются целевые афтершоки. Оценка длительности опасного периода афтершоков является отдельной задачей, которая была рассмотрена в работе [Шебалин, Баранов, 2019].
Подход к исследованию аналогичен работе [Баранов, Шебалин, 2017] – ретроспективное тестирование различных областей афтершоковой активности, различающихся формой, размером, способом определения их местоположения и пространственной ориентации. В качестве критерия для оценки качества прогноза использовалась функция потерь, рассчитанная по диаграмме ошибок [Molchan, 2010].
РАЙОН ИССЛЕДОВАНИЯ И ИСХОДНЫЕ ДАННЫЕ
Хибинский массив, расположенный в центре Кольского полуострова, является крупным щелочным массивом, источником разнообразных видов минерального сырья [Ivanyuk et al., 2012]. Здесь Кировский филиал (КФ) АО “Апатит” и Северо-Западная фосфорная компания ведут добычу апатит-нефелиновых руд подземным и открытым способами. Массив характеризуется разнообразием форм тектонических структур [Arzamastsev et al., 2013] и наличием высокого уровня горизонтальных тектонических напряжений, составляющих на значительной площади 50–60 Мпа [Марков, 1972; Козырев и др., 2012].
Добыча полезных ископаемых в тектонически нагруженных массивах горных пород приводит к возникновению природно-техногенной сейсмичности (см., например, работу [Адушкин, 2013]). На территории действующих Хибинских рудников под воздействием повышенного горного давления происходит нарушение сплошности массива в их приконтурной части, что проявляется в динамических формах в виде шелушения и стреляния пород, динамического заколообразования, толчков, микроударов и горных ударов и техногенных землетрясений [Козырев и др., 2016; Kozyrev et al., 2022]. Как и в случае тектонической сейсмичности, природно-техногенные землетрясения могут инициировать повторные толчки (афтершоки) [Plenkers et al., 2010; Баранов и др., 2020].
Поскольку отрабатываемые Хибинские апатит-нефелиновые месторождения относятся к удароопасным, необходима организация постоянного сейсмического мониторинга [Приказ…, 2020]. КФ АО “Апатит” ведет сейсмический мониторинг с конца 1987 г. с помощью автоматизированных систем контроля сейсмичности горного массива (АСКСМ) [Корчак и др., 2014].
В исследовании использован каталог сейсмических событий, зарегистрированных сетями сейсмического мониторинга КФ АО “Апатит” за период с 1996 по 2022 гг. В настоящее время сеть насчитывает более 60 трехкомпонентных сейсмических датчиков (рис. 1а), расположенных на различных горизонтах рудников. Частота дискретизации входных сигналов с датчиков составляет 1000 Гц. Сеть позволяет регистрировать сейсмические события с энергией E ≤ 103 Дж и определять их координаты с точностью до 25 м в зоне, охватывающей действующие горные выработки [Корчак и др., 2014]. Начиная с 1996 г. каталог сейсмических событий имеет представительную магнитуду Mc ≤ 0, что, согласно формуле lgE = 1.8M + 4 [Раутиан, 1960], соответствует энергии E ≤ 104 Дж.
Рис. 1. Сеть сейсмического мониторинга (а) и сейсмичность апатит-нефелиновых месторождений южной части Хибинского массива за 1996–2022 гг. (б); (а) – расположение сейсмических датчиков (белые треугольники); на врезке прямоугольником показано местоположение района исследований; римскими цифрами обозначены территории Кировского и Расвумчоррского рудников; (б) – эпицентры сейсмических событий с M ≥ 1.5 за период с 1996 по 2022 гг. по данным сети мониторинга КФ АО “Апатит”; цифрами обозначены: 1 – Кукисвумчоррское месторождение; 2 – Юкспорское месторождение (отрабатывает Кировский рудник); 3 – месторождение “Апатитовый Цирк” (Расвумчоррский рудник); 4 – плато Расвумчорр (отрабатывает – Восточный рудник).
Основные толчки и их афтершоки выделялись методом ближайшего соседа [Zaliapin, Ben-Zion, 2016], основанным на применении функции близости в области пространства–времени–магнитуды [Baiesi, Paczuski, 2004], зависящей от параметров сейсмического режима (наклон графика повторяемости, фрактальная размерность облака гипоцентров):
(1)
где: tij = tj – ti – время между событиями, которое положительно, если событие j происходит после события i и отрицательно в противном случае; rij ≥ 0 – пространственное расстояние между гипоцентрами событий; mi – магнитуда i-го события; b – параметр закона Гутенберга–Рихтера [Gutenberg, Richter, 1956]; df – фрактальная размерность множества гипоцентров.
Для каждого события в каталоге его “ближайший сосед” определяется по минимальному значению функции близости (1), рассчитанному по всем предшествующим событиям относительно рассматриваемого. Если это значение меньше заданного порога η0, то считается, что рассматриваемое событие было инициировано этим “ближайшим соседом”, который в этом случае является основным толчком. В противном случае связь разрывается, и оказывается, что данное событие является фоновым. Основной толчок может инициировать несколько афтершоков, в то время как афтершок может быть инициирован только одним основным толчком.
Для определения порога η0 использовался модельно-независимый метод [Shebalin et al., 2020; Баранов и др., 2020]. Применение метода ближайшего соседа в условиях природно-техногенной сейсмичности Хибинского массива подробно рассмотрено в работе [Баранов и др., 2020], где были получены следующие оценки параметров сейсмического режима: b = 1.25, df = 1.5; оценка порога lgη0 = –6.25. Используя эти оценки, для каждого землетрясения с M ≥ 1.5 мы будем находить инициированные им афтершоки.
Общие преимущества метода ближайшего соседа по сравнению со стохастическими и детерминистскими методами рассмотрены в статье [Воробьева и др., 2024]. Здесь мы лишь отметим особенности, важные для целей настоящей работы. Метод ближайшего соседа имеет следующие особенности, важные для целей настоящей работы. Во-первых, метод ближайшего соседа в отличие, например, от метода Молчана и Дмитриевой [Molchan, Dmitrieva, 1992] не накладывает каких-либо ограничений на затухание афтершоков по времени (подчинение закону Омори–Утсу). В целом затухание афтершоковой активности в условиях природно-техногенной сейсмичности подчиняется закону Омори–Утсу [Motorin, Baranov, 2022]. Однако поведение конкретной серии афтершоков может отклоняться от закона Омори–Утсу из-за воздействия взрывных работ на процесс релаксации напряжений после основного толчка. Во-вторых, в методе ближайшего соседа отсутствуют какие-либо предположения относительно пространственного распределения афтершоков (например, в методе Молчана и Дмитриевой предполагается эллиптический характер распределения).
ВАРИАНТЫ ПРОГНОЗА ЭПИЦЕНТРАЛЬНЫХ ОБЛАСТЕЙ АФТЕРШОКОВ
Как было отмечено выше, эпицентральная область афтершоков далека от круга, ее форма скорее напоминает эллипс, вытянутый вдоль направления разрыва. Значительное влияние на форму области может оказывать расположение горных выработок, напряженно деформированное состояние и блоковая структура в окрестности основного толчка. Для учета этой особенности был использован подход, основанный на шкалировании.
Суть шкалирования в данном случае стоит в последовательном увеличении размера области пропорционально некоторой величине, подобно увеличению масштаба. В качестве такой величины использовались как физическая характеристика (длина трещины основного толчка), так и статистики (стандартные отклонения вдоль и поперек ориентации облака ранних афтершоков, рассчитанные несколькими способами [Баранов, Шебалин, 2017]). Такой подход, в отличие от квантильного метода [Баранов, Шебалин, 2017], позволяет учесть возможное расширение области с течением времени.
Было протестировано три типа прогнозных областей: круг, эллипс и стадион. Под стадионом понимается геометрическое место точек, расположенных на расстоянии не больше заданного от отрезка прямой. Отрезок, относительно которого строится стадион, моделирует проекцию на поверхность Земли предполагаемого “разрыва” очага основного толчка. Длина этого отрезка совпадает с длиной стадиона; максимальное расстояние от отрезка, на которое могут отстоять точки, называется шириной стадиона.
Для построения трех типов областей использовались события с магнитудами не ниже Мс = 0, произошедшие за 0.3 суток после основного толчка. Данные выбирались из обучающего множества – круг с центром в эпицентре основного толчка и диаметром 10RL. Здесь RL – длина разрыва или трещины в очаге основного толчка, которая, согласно утвержденным указаниям по безопасному ведению горных работ на месторождениях в Хибинах, равна [Козырев и др., 2016]:
. (2)
Здесь магнитуда M связана с энергией E по формуле Т.Г. Раутиан (см. выше). То есть, длина трещины пропорциональна корню кубическому из энергии землетрясения [Kanamori, Anderson, 1975].
Таким образом, обучающее множество состоит из представительных землетрясений, произошедших в течение 0.3 суток в круге диаметром 10RL c центром в эпицентре основного толчка. По этим данным строились оценки области, где ожидаются афтершоки с M ≥ 0.6 в период от 0.3 до 90 суток (целевые афтершоки). Всего было рассмотрено 85 серий, содержащих не менее 5 событий в обучающем множестве и имеющих хотя бы 1 целевой афтершок. Общее число целевых афтершоков в рассмотренных сериях равно 658. Число серий, у которых менее 5 событий в обучающем множестве и есть хотя бы 1 целевой афтершок, равно 61, а суммарное число целевых афтершоков в этих сериях – 114. Более половины серий, у которых есть хотя бы один целевой афтершок, имеют не менее 5 событий в обучающем множестве. То есть за период 0.3 суток накапливается необходимая для проведения расчетов информация.
Центр области определялся по событиям из обучающего множества одним из трех способов [Баранов, Шебалин, 2017] – эпицентр основного толчка, среднее по координатам событий и взвешенное по линейному размеру очага среднее:
, (3)
где (φi, λi) – широта и долгота i-го события из обучающего множества (i = 1, …, N). В случае обычного среднего:
. (3а)
В случае взвешенного среднего:
, (3б)
где RLi – длина трещины в очаге i-го события (2) из обучающего множества. То есть более сильным событиям (с большим размером очага) приписывается больший вес.
Ориентация стадиона и эллипса определялась также по обучающему множеству тремя способами. Первые два способа – как направление главного собственного вектора (соответствует большему собственному числу) следующей 2 × 2 матрицы:
(4)
где (φ0, λ0) – широта и долгота центра области; wi – веса, рассчитанные по формуле (3а) либо (3б).
Третий способ – направление главного собственного вектора тензора инерции системы материальных точек с координатами событий из обучающего множества и массами, равными длинам их трещин (2). Матрица тензора инерции имеет вид:
(4а)
где (φ0, λ0) – координаты центра масс, рассчитанные по формулам (3) и (3б). Отметим, что в двумерном случае собственные векторы матриц (4) и (4а) взаимно ортогональны. Поэтому второй и третий способы дают разные ориентации прогнозных областей.
Использование взвешенного среднего при расчете центра и направления области основано на предположении, что такой способ по сравнению с обычным средним, должен лучше учитывать смещение облака афтершоков относительно эпицентра основного толчка [Баранов, Шебалин, 2017].
Размеры областей для каждого варианта определялись с помощью шкалирования. При этом в качестве физической характеристики использовалась длина разрыва в очаге основного толчка (2), а в качестве статистик для стадиона и эллипса – стандартные отклонения расстояний от событий до центра области, рассчитанные вдоль и поперек направления разрыва (совпадает с ориентацией области). При построении круга в качестве статистики использовалось среднее расстояние от центра области до событий из обучающего множества. Перечень протестированных областей с учетом способов определения их размеров приведен в табл. 1.
Таблица 1. Перечень протестированных кругов, стадионов и эллипсов в качестве прогнозных областей афтершоков с M ≥ 0.6
№№ | Область |
Стадион, шкалирование по длине трещины RL | |
1 | L = RL, R = u · RL |
2 | (L / 2 + R) / R = stdR / stdP, R = u · RL |
3 | L / (2R) = stdR / stdP, L = u · RL |
4 | (L / 2 + R) / R = stdR / stdP, L = u · RL |
Стадион, шкалирование по стандартному отклонению | |
5 | L = RL, R = u · stdP |
6 | (L / 2 + R) / R = stdR / stdP, R = u · stdP |
7 | L / (2R) = stdR / stdP, L = u · stdR |
Стадион, размер по квантильному методу | |
8 | L = RL, R – по квантилю |
Эллипс, шкалирование по длине трещины RL | |
9 | a = u · RL, b = a · stdP / stdR |
10 | b = u · RL, a = b · stdR / stdP |
Эллипс, шкалирование по стандартному отклонению | |
11 | a = u · stdR, b = a · stdP / stdR |
12 | a = u · stdP, b = a · stdP / stdR |
Эллипс, размер по квантильному методу | |
13 | a = stdR, b = stdP |
Круг, шкалирование по длине трещины RL | |
14 | cR = u · RL |
Круг, шкалирование по среднему | |
15 | cR = u · avrC |
Примечания: сR – радиус круга; avrC – среднее расстояние от центра круга до событий из обучающего множества; L, R – длина и ширина стадиона; a, b – большая и малая полуоси эллипса; stdR (stdP) – стандартное отклонение расстояний от событий из обучающего множества до центра области параллельно (перпендикулярно) направлению разрыва, определяющего ориентацию области; u = 0, 0.01, 0.02, …, 20 – масштабирующий коэффициент).
В качестве примера рассмотрим две области, для которых размер определялся шкалированием по длине трещины в очаге основного толчка. Стадион № 1 (табл. 1) с длиной (L), равной длине трещины основного толчка L = RL, определяемой по формуле (2) и шириной (R), определяемой шкалированием R = u · RL, где масштаб u меняется последовательно от 0 до 20 с шагом 0.01. Центр и ориентация этого стадиона определялись одним из трех способов, рассмотренных выше. Эта область имеет простую физическую интерпретацию – афтершоки происходят на некотором удалении от разрыва очага основного толчка.
Другим примером области, где использовалась длина трещины, является эллипс № 9 (табл. 1) с соотношением осей, равным отношению стандартных отклонений координат событий вдоль и поперек направления области. Большая полуось задается шкалированием a = u · RL, малая полуось b = a · stdP / stdR, где stdP и stdR – стандартные отклонения координат событий из обучающего множества поперек и вдоль направления, определяемого одним из трех способов, рассмотренных выше.
Рассмотрим два примера областей, для которых размер определялся шкалированием по стандартному отклонению. Стадион № 7 (табл. 1): длина задается шкалированием L = u · stdR, а ширина R такая, что отношение длины стадиона к удвоенной ширине равно отношению стандартных отклонений координат событий из обучающего множества вдоль и перпендикулярно направлению разрыва: L / (2R) = stdR / stdP. Здесь stdR, stdP – стандартные отклонения вдоль и перпендикулярно направлению разрыва. Другим примером является эллипс № 11 (табл. 1), большая полуось которого определяется шкалированием a = u · stdR, а малая полуось b = a · stdP / stdR.
Для сопоставления результатов этого исследования с результатами работы [Баранов, Шебалин, 2017] мы также протестировали стадион (№ 8, табл. 1) и эллипс (№ 13, табл. 1), размеры которых определялись квантильным методом. Эти области были оптимальными для глобальной сейсмичности.
ОЦЕНИВАНИЕ КАЧЕСТВА ПРОГНОЗА ОБЛАСТИ АФТЕРШОКОВ
Для оценивания качества прогноза области афтершоков использовалась диаграмма ошибок Молчана [Molchan, 1991; 2010], которая представляет собой график зависимости доли пропусков цели (ν) от доли пространства тревоги (τ). За τ принималось отношение суммы площадей тестируемых областей, зависящей от значения масштаба u или квантиля q, к сумме площадей обучающих множеств (круг диаметром 10RL):
. (5)
Здесь: Sj – площадь тестируемой области для j-серии афтершоков в зависимости от значения масштаба u или квантиля q; Ωj – площадь обучающего множества для j-го основного толчка, представляющего собой круг с диаметром 10RLj, где RLj – длина трещины j-го основного толчка, определяемая по формуле (2).
За долю пропусков цели ν принималось отношение суммарного числа целевых афтершоков вне тестируемой области к суммарному числу всех целевых афтершоков по всем прогнозам. Напомним, что под целевыми понимаются афтершоки с М ≥ 0.6, произошедшие за время (0.3, 90) суток после основного толчка.
Чем лучше прогноз, тем дальше точка (τ, ν) отстоит от диагонали (0, 1; 1, 0), соответствующей случайному прогнозу. Способ определения “расстояния” от точки до начала координат называется функцией потерь. В данной работе в качестве функции потерь мы использовали сумму ошибок двух родов
. (6)
Чем меньше значение γ, тем лучше прогноз.
Для каждого тестируемого варианта прогнозной области определялось значение масштаба u′ или квантиля q′ (характеризует долю афтершоков из обучающего множества внутри области), на которых достигается минимум функции потерь:
. (7)
Область, которая имеет наименьшее минимальное значение γ, является наилучшей.
РЕЗУЛЬТАТЫ ТЕСТИРОВАНИЯ РАЗНЫХ ВАРИАНТОВ
Для всех 15 областей из табл. 1 центр определялся одним из трех способов, рассмотренных выше. Для 8 стадионов и 5 эллипсов (табл. 1) ориентация определялась также одним из трех способов, рассмотренных выше. Таким образом всего было протестировано 123 варианта. Оптимальный размер области определялся по минимуму функции потерь γ (6). Здесь мы приведем наилучшие варианты, но так, чтобы каждая область из табл. 1 была представлена.
Результаты ретроспективного тестирования приведены в табл. 2 (для удобства отсортированы по убыванию значения γ). Отметим, что в первых 7 строках этой таблицы представлены области, размер которых определялся шкалированием по длине трещины основного толчка (2), которая является физической характеристикой. Это является косвенным подтверждением того, что формула (2) корректна для Хибинских месторождений.
Таблица 2. Результаты тестирования различных областей афтершоков (табл. 1), различающихся формой, способом определения центра, ориентации и размера
№№ | Центр | Ориентация | u′ | ν | τ | γ |
1 | ОТ | взв. среднее | 1.18 | 0.17 | 0.09 | 0.26 |
14 | ОТ | – | 1.31 | 0.20 | 0.07 | 0.27 |
9 | ЦМ | взв. среднее | 2.27 | 0.16 | 0.11 | 0.27 |
2 | ЦМ | взв. среднее | 1.01 | 0.17 | 0.10 | 0.27 |
10 | ЦМ | взв. среднее | 0.99 | 0.18 | 0.10 | 0.28 |
3 | ЦМ | взв. среднее | 3.3 | 0.18 | 0.11 | 0.29 |
4 | ОТ | взв. среднее | 1.26 | 0.25 | 0.08 | 0.32 |
13 | ЦМ | взв. среднее | q = 0.95* | 0.19 | 0.13 | 0.33 |
5 | ОТ | среднее | 3.62 | 0.14 | 0.19 | 0.33 |
6 | ЦМ | среднее | 2.67 | 0.17 | 0.18 | 0.35 |
11 | среднее | среднее | 2.69 | 0.19 | 0.17 | 0.36 |
8 | ЦМ | взв. среднее | q = 0.95* | 0.20 | 0.17 | 0.37 |
15 | среднее | – | 2.04 | 0.19 | 0.20 | 0.39 |
7 | среднее | среднее | 3.91 | 0.23 | 0.16 | 0.39 |
12 | среднее | среднее | 5.13 | 0.23 | 0.23 | 0.47 |
Примечания: центр – способ определения центра: ОТ – основной толчок; среднее – среднее по координатам событий из обучающего множества (3), (3а); ЦМ – центр масс системы материальных точек с координатами событий из обучающего множества и массами, равными длинам их трещин, формулы (3), (3б). Ориентация – способ определения ориентации области: среднее – ориентации области по ковариационное матрице, формулы (4), (3а); взв. среднее – ориентация по взвешенной матрице (4), (3б); ТИ – ориентация по тензору инерции (4а), (3б); ν – доля пропусков цели; τ – доля пространства тревоги; γ – функция потерь (6), чем меньше это значение, тем лучше область; u′ – значение масштаба (7), доставляющее минимум функции потерь (6); * – для областей, размер которых определен по квантильному методу (№№ 8, 13, табл. 1), указано значение квантиля q (7), на котором достигается минимум функции потерь (6).
Лучшей областью оказался стадион № 1 (табл. 1) с центром в эпицентре основного толчка и ориентацией, задаваемой собственным вектором, соответствующим наибольшему собственному числу матрицы (4a) с весами (3б). Длина оптимального стадиона равна длине трещины основного толчка (2), L = RL, а ширина (максимальное удаление от отрезка прямой, моделирующего проекцию предполагаемого разрыва в очаге основного толчка на поверхность Земли) R = u′RL при u′ = 1.18 – оптимальное значение масштаба (7), доставляющее минимум функции потерь γ (6). При этом γ (u′) = 0.26, доля пропусков цели ν = 0.17, а доля пространства тревоги τ = 0.09. Пример этого стадиона показан на рис. 2а. Несмотря на то, что длина оптимального стадиона (L) меньше его ширины (R), стадион является “вытянутым” вдоль направления предполагаемого разрыва, поскольку максимальное расстояние между точками стадиона параллельно разрыву (“общая длина”) равно L + 2R, а перпендикулярно разрыву (“общая ширина”) – 2R.
Рис. 2. Оптимальные области стадион, круг (а) и эллипс (б), рассчитанные для афтершоков, инициированных горно-тектоническим ударом 09.01.2018 г., M = 2.6; координаты заданы относительно основного толчка (1 – основной толчок; 2 – граница обучающей области (круг диаметром 10RL с центром в основном толчке); 3 – события с M ≥ 0 из обучающего множества; 4 – целевые афтершоки с M ≥ 0.6; 5 – разрыв; 6 – прогнозные эллипс и стадион; 7 – прогнозный круг).
Близкими по значению к оптимальному стадиону оказались круг № 14, эллипс № 9 (табл. 1) и стадион № 2 (табл. 1). Для круга №14 значения функций γ = 0.27, τ = 0.07, ν = 0.20 (табл. 2). Центр круга в основном толчке. Пример оптимального круга показан на рис. 2а.
Для эллипса № 9 γ = 0.27, τ = 0.11, ν = 0.16 (табл. 2). Центр эллипса совпадает центром масс системы материальных точек с координатами из обучающего множества и массами, равными длинам трещин (формулы (3), (3б)), большая полуось этого эллипса определяется шкалированием по длине трещины основного толчка a = u · RL, отношение малой оси (b) к большей равно отношению стандартных отклонений координат событий из обучающего множества поперек и вдоль направления разрыва (b / a = stdP / stdR), определяемых главным собственным вектором матрицы (4) с весами по формуле (3б). Пример этого эллипса показан на рис. 2б.
Для стадиона № 2 (табл. 1) γ = 0.27, τ = 0.1, ν = 0.17 (табл. 2). Центр этого стадиона совпадает с центром масс, ориентация области (направление предполагаемого разрыва) задается главным собственным вектором матрицы (4) с весами по формуле (3б). Ширина стадиона определяется шкалированием по длине трещины основного точка R = u · RL, а длина такая, что отношение длины к удвоенной ширине равно отношению стандартных отклонений вдоль и поперек направления предполагаемого разрыва без 1: L / 2R = stdR / stdP – 1.
Прогнозная область в виде стадиона № 1 (табл. 1, табл. 2) имеет минимальное значение функции потерь и допускает простую интерпретацию – афтершоки происходят на некотором удалении от разрыва в очаге основного толчка. Поэтому мы считаем эту область оптимальной.
АНАЛИЗ ДИАГРАММЫ ОШИБОК И ПРАКТИЧЕСКИЕ РЕКОМЕНДАЦИИ
Параметр масштаба u задает размер оптимальной области: чем больше u, тем больше предельное расстояние R от опорного отрезка стадиона. Компромисс между ошибками двух родов (увеличение u влечет уменьшение вероятности пропуска, но приводит к увеличению области тревоги и наоборот) графически иллюстрируется диаграммой ошибок, построенной для разных значений u по ретроспективному прогнозу области афтершоков (рис. 3а). Скалярный параметр u можно рассматривать как “функцию тревоги” [Zechar, Jordan, 2008; Shebalin et al., 2014].
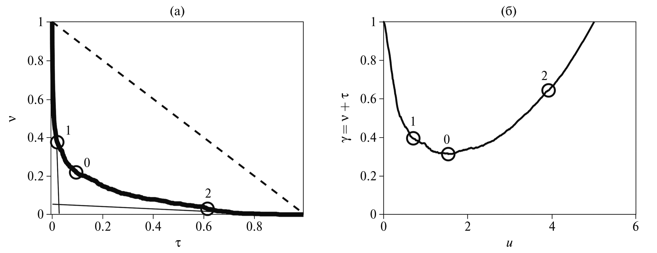
Рис. 3. Диаграмма ошибок (а) и функция потерь γ (б), рассчитанные для оптимальной области афтершоков в виде стадиона (строка 1, табл. 2). Кружками показаны точки, соответствующие 0 – “нейтральной”, 1 – “мягкой”, и 2 – “жесткой” стратегиям прогноза (см. табл. 3); на панели (а) тонкими прямыми показаны касательные к траектории ошибок (жирная кривая) в предельных точках.
Выбор оптимального значения параметра u должен определяться исходя из целей прогноза. Если афтершок может привести к катастрофическим последствиям при отсутствии превентивных мер, то важна низкая вероятность ошибки второго рода (пропуска цели). В другой ситуации может оказаться необходимым минимизировать размер области тревоги с целью сокращения расходов на поддержание тревоги. Первому случаю соответствуют высокие, а второму низкие значения функции тревоги u. Для формального определения значений u, в работе [Баранов, Шебалин, 2017] был предложен метод “трех стратегий”, суть которого заключается в поиске предельных точек на диаграмме ошибок, которые соответствуют “мягкой” и “жесткой” стратегиям прогноза.
На диаграмме ошибок можно выделить две предельные точки 1 и 2 (рис. 3а), характеризуемые предельными положениями касательных к траектории ошибок (тонкие прямые на рис. 3а). В точке 2 дальнейшее увеличение области тревоги τ не приводит к значимому уменьшению доли пропуска цели ν. Значение u2 = 3.26 (τ2 = 0.5, ν2 = 0.04, γ2 = 0.54), соответствующее этой точке (рис. 3б), задает максимально разумный размер области тревоги и соответствует “жесткой” стратегии прогноза. В точке 1 (рис. 3а) дальнейшее уменьшение области тревоги происходит лишь за счет резкого увеличение доли пропуска цели. Значение u1 = 0.6 (τ1 = 0.03, ν1 = 0.28, γ1 = 0.31), соответствующее этой точке (рис. 3б), задает минимально разумный размер области тревоги и соответствует “мягкой” стратегии прогноза. Точка 0 (u0 = 1.18, τ0 = 0.17, ν0 = 0.09, γ0 = 0.26) на диаграмме ошибок (рис. 3), в которой достигается минимум функции потерь γ, соответствует “нейтральной” стратегии прогноза.
“Нейтральная” стратегия соответствует случаю, когда последствия пропуска цели и ложной тревоги равноценны или неизвестны. “Жесткая” стратегия прогноза применяется, когда высока цена возможного пропуска события. “Мягкая” стратегия соответствует высокой цене поддержания тревоги относительно цены последствий пропуска события. Пример стадионов, советующих трем предельным стратегиям прогноза, показан на рис. 4.
Рис. 4. Пример оптимальной области постсейсмической активности в виде стадиона (строка 1, табл. 1), рассчитанных для афтершоков c M ≥ 0.6, вызванных горно-тектоническим ударом 01.09.2018 г., M = 2.6; 1 – основной толчок; 2 – события с M ≥ 0 из обучающего множества; 3 – целевые афтершока с M ≥ 0.6; 4 – разрыв длинны RL = 0.12 км, совпадающий с длинной стадиона; 5, 6, 7 – оптимальные стадионы шириной 0.6RL, 1.18RL, 3.26RL, соответствующие предельным (“мягкой”, “нейтральной” и “жесткой”) стратегиям прогноза.
Если по истечении 0.3 суток после землетрясения с M ≥ 1.5 произошло не менее 5 событий в обучающем множестве, то рассмотренные оценки области афтершоков в виде оптимального стадиона являются обоснованными. Однако эти оценки не применимы, если событий меньше 5. Имеется 61 серия, у которых в обучающем множестве менее 5 событий и есть хотя бы один целевой афтершок (суммарное число афтершоков в этих сериях равно 93). Разумеется, эти серии можно рассмотреть отдельно, однако с практической точки зрения лучше иметь возможность получить оценку по информации об основном толчке, а по мере накопления данных эту оценку можно уточнить.
Мы рассмотрели все 146 серий, у которых есть хотя бы один целевой афтершок. По этим данным мы построили диаграмму ошибок для круга № 14 (табл. 1) с центром в основном толчке (рис. 5). Напомним, что параметры этого круга не зависят от событий из обучающего множества, а его радиус определяется с помощью шкалирования по длине разрыва основного толчка: сR = u′RL, где RL – длина разрыва (2), u′ – оптимальное значение масштаба (7). Получились следующие оценки. Нейтральная стратегия: u′ = u0 = 1.54, γ0 = 0.31, τ0 = 0.1, ν0 = 0.22; мягкая стратегия: u1 = 0.71, γ1 = 0.40, τ1 = 0.02, ν1 = 0.38; жесткая стратегия: u2 = 3.92, γ2 = 0.64, τ2 = 0.61, ν2 = 0.03.
Рис. 5. Диаграмма ошибок (а) и функция потерь γ (б), рассчитанные по сериям, у которых есть хотя бы один целевой афтершок, для области афтершоков виде круга с центром в основной точке. Кружками показаны точки, соответствующие 0 – “нейтральной”, 1 – “мягкой”, и 2 – “жесткой” стратегиям прогноза; на панели (а) тонкими прямыми показаны касательные к траектории ошибок (жирная кривая) в предельных точках.
ОБСУЖДЕНИЕ РЕЗУЛЬТАТОВ И ВЫВОДЫ
В работе [Баранов, Шебалин, 2017] по данным о глобальной сейсмичности было получено, что лучшей областью являлся стадион с центром в центре масс и направлением, задаваемым главным собственным вектором матрицы (4) с весами (3б), построенной по представительным событиям за 0.5 суток после основного толчка. В качестве основных толчков рассматривались землетрясения с M ≥ 6.5, целевыми являлись афтершоки с M ≥ 5.5. Длина стадиона равнялась длине разрыва основного толчка, а ширина определялась квантильным методом так, чтобы в область попадало 95% событий из обучающего множества.
В данной работе мы протестировали аналогичную область (стадион № 8, табл. 1) и получили значение функции потерь γ = 0.37, доля пространства тревоги τ = 0.2, доля пропусков цели ν = 0.17 (табл. 2). Несмотря на то, что эта область оказалась хуже стадиона № 1, эти области очень похожи. Действительно, у обоих стадионов длина и направление задаются одинаково, положение центра отличается незначительно (в центре масс для глобальной сейсмичности и в основном толчке для месторождений Хибин), т.к. наибольшую длину разрыва имеет главный толчок. Основное отличие этих стадионов заключается в способе определения размера. Как и в работе [Баранов, Шебалин, 2017] ширина стадиона № 8 определялась квантильным методом, а ширина оптимального № 1 определялась с помощью шкалирования по длине разрыва основного толчка. Вместе с тем полученное здесь оптимальное значение квантиля для стадиона № 8 (q = 0.95, табл. 1) совпадает со значением, полученным по мировым данным [Баранов, Шебалин, 2017]. Эти соображения позволяют считать, что результаты данной работы в целом согласуются с результатами, полученными ранее для глобальной сейсмичности. Это обосновывает целесообразность исследования применения метода шкалирования к построению прогнозных областей афтершоков по мировым данным.
Стадион № 1 и круг № 14 (табл. 2) имеют близкие значения функции потерь (γ = 0.26 и γ = 0.27 соответственно) и доли пропусков цели (ν = 0.17 и ν = 0.20 соответственно). Это означает, что для природно-техногенной сейсмичности Хибинских месторождений отклонение формы области афтершоков от круга не является значительным. Для тектонических землетрясений с магнитудами 6.5 или выше форма области афтершоков существенно отклонялась от круга [Баранов, Шебалин, 2017]. Скорее всего это связано с тем, что для слабой сейсмичности Хибин (магнитуды основных толчков от 1.5 до 3.3) ориентация облака афтершоков менее выражена, чем для сильных тектонических землетрясений.
Ориентация оптимального стадиона определяется по событиям из обучающего множества. Оптимальный круг вообще не имеет ориентации. Размеры оптимальных круга и стадиона не зависят от пространственного распределения событий из обучающего множества, а определяются длиной разрыва в очаге основного толчка.
Несмотря на то, что этот результат оказался для нас неожиданным, он имеет простое объяснение. Размер области афтершоков пропорционален длине разрыва в очаге основного толчка, при этом значения коэффициента пропорциональности могут различаться для разных серий из-за различий в тектоническом строении и особенностей сейсмогенеза. В нашем случае район исследований – месторождения южной части Хибин, локализованные в небольшом прямоугольнике 3 на 10 км (рис. 1). Эти месторождения имеют схожее геологическое строение [Arzamastsev et al., 2013] и распределение напряжений [Семенова, 2016], а сейсмогенез обусловлен тектонической нагруженностью массива и техногенным воздействием на среду. Общность этих факторов позволяет предположить, что в этом заключается причина близости коэффициентов пропорциональности для разных серий.
В настоящем исследовании были получены прогнозные модели областей будущих афтершоков в виде различных вариантов круга, эллипса и стадиона. Прогноз осуществляется на основе информации об основном толчке и ранних афтершоках. Оптимальный размер области определяется шкалированием как по длине разрыва основного толчка, так и по стандартным отклонениям координат ранних афтершоков от линии разрыва в очаге главного события. В качестве критерия для оценки качества прогнозной области использовалась диаграмма ошибок.
После того как основной толчок произошел, оптимальной областью является круг с центром в основном толчке и радиусом равным 1.54RL, где RL – длина разрыва в очаге основного толчка. Если в течение 0.3 суток после основного толчка произошло не менее 5 представительных событий в круге с центром в очаге и диаметром 10RL, то оценка прогнозной области может быть уточнена. В этом случае оптимальной областью оказался стадион с центром в эпицентре основного толчка. Длина оптимального стадиона равна размеру трещины основного толчка, а ширина – 1.18RL. Ориентация оптимального стадиона совпадает с направлением предполагаемого разрыва и задается главным собственным вектором ковариационной матрицы, составленной из координат событий обучающего множества с весами пропорциональными линейным размерам их очагов.
При анализе диаграмм ошибок, рассчитанных для этих двух случаев, методом трех стратегий были определены предельные размеры оптимальных областей, соответствующие различным уровням важности прогноза. Тестирование показало, что использование длины разрыва очага основного толчка для определения размера области дает лучшие результаты по сравнению с использованием статистических характеристик. Такой результат имеет простое физическое объяснение: размер области афтершоков напрямую зависит от величины разрыва основного толчка. Полученные прогнозные модели могут применяться при оценке опасности афтершоков на месторождениях Хибинского массива.
БЛАГОДАРНОСТИ
Авторы выражают искреннюю признательность анонимным рецензентам за замечания и рекомендации, которые помогли улучшить статью.
ФИНАНСИРОВАНИЕ РАБОТЫ
Работа выполнена при поддержке Минобрнауки России (в рамках государственного задания № 075-00682-24).
About the authors
A. Yu. Motorin
Kola Branch of the Geophysical Survey of the Russian Academy of Sciences; Kirovsk Branch of Apatit JSC
Email: bars.vl@gmail.com
Russian Federation, Apatity, 184209; Kirovsk, 184250
S. V. Baranov
Kola Branch of the Geophysical Survey of the Russian Academy of Sciences
Author for correspondence.
Email: bars.vl@gmail.com
Russian Federation, Apatity, 184209
References
- Адушкин В.В. Сейсмичность взрывных работ на территории европейской части России // Физика Земли, 2013, N 2. C. 110–130. doi: 10.7868/8000233371301002Х
- Баранов С.В., Жукова С.А., Корчак П.А., Шебалин П.Н. Продуктивность техногенной сейсмичности // Физика Земли. № 3. 2020. С. 40–51. doi: 10.31857/S0002333720030011
- Баранов С.В., Шебалин П.Н. О прогнозировании афтершоковой активности. 2. Оценка области распространения сильных афтершоков // Физика Земли. 2017. № 3 C. 43–61. doi: 10.7868/S0002333717020028
- Воробьева И.А., Шебалин, Гвишиани А.Д., Дзебоев Б.А., Дзеранов Б.В. Параметры сейсмического режима восточного сектора Арктической зоны Российской Федерации // Физика Земли. 2024. № 5. С. 38–56.
- Козырев А.А., Панин В.И., Семенова И.Э., Федотова Ю.В., Рыбин В.В. Геомеханическое обеспечение технических решений при ведении горных работ в высоконапряженных массивах // Физико-технические проблемы разработки полезных ископаемых. 2012. № 2. С. 46–55.
- Козырев А.А., Семенова И.Э., Рыбин В.В., Панин В.И., Федотова Ю.В., Константинов К.Н., Сальников И.В., Гадючко А.В., Белоусов В.В., Корчак П.А., Стрешнев А.А. Указания по безопасному ведению горных работ на месторождениях, склонных и опасных по горным ударам (Хибинские апатит-нефелиновые месторождения). Апатиты: ООО “Апатит-Медиа”. 2016. 112 с.
- Корчак П.А., Жукова С.А., Меньшиков П.Ю. Становление и развитие системы мониторинга сейсмических процессов в зоне производственной деятельности АО “Апатит” // Горный журнал. 2014. № 10. С. 42–46.
- Марков Г. Напряженность пород в Хибинских рудниках и ее связь с современными тектоническими движениями земной коры. Исследования строения и современных движений земной коры на Кольском геофизическом полигоне. 1972. C. 147–152.
- Приказ Ростехнадзора от 08.12.2020 № 505. Редакция от 08.12.2020. Контур. Норматив. URL: https://normativ.kontur.ru/document?moduleId=1&documentId=384179 (дата обращения: 02.04.2024).
- Раутиан Т.Г. Энергия землетрясений. Методы детального изучения сейсмичности. М.: изд-во АН СССР. 1960. С. 75–114. Тр. ИФЗ АН СССР; № 9(176).
- Семенова И.Э. Исследование трансформации напряженно-деформированного состояния Хибинской апатитовой дуги в процессе крупномасштабной выемки полезных ископаемых // Горный информационно-аналитический бюллетень. 2016. № 4. С. 300–313.
- Шебалин П.Н., Баранов С.В. О прогнозировании афтершоковой активности. 5. Оценка длительности опасного периода // Физика Земли. 2019. № 5. С. 22–37. doi: 10.31857/S0002-33372019522-37
- Arzamastsev A.A., Arzamastseva L.V., Zhirova A.M., Glaznev V.N. Model of formation of the Khibiny-Lovozero ore-bearing volcanic-plutonic complex // Geology of Ore Deposits. 2013. V. 55. P. 341–356. doi: 10.1134/S1075701513050024
- Baiesi M., Paczuski M. Scale-free networks of earthquakes and aftershocks // Phys. Rev. E. 2004. V. 69 (6). P. 066106-1–066106-8. doi: 10.1103/PhysRevE.69.066106
- Ivanyuk G.Y., Yakovenchuk V.N., Pakhomovsky Y.A. Where are new minerals hiding? The main features of rare mineral localization within alkaline massifs. Minerals as advanced materials II. 2012. P. 13–24. doi: 10.1007/978-3-642-20018-2_2
- Gutenberg B., Richter C. F. Earthquake magnitude, intensity, energy, and acceleration: (Second paper) // Bulletin of the seismological society of America. 1956. V. 46. № 2. P. 105–145.
- Kanamori H., Anderson D.L. Theoretical Basis of Some Empirical Relations in Seismology // Bulletin of the Seismological Society of America. 1975. V. 65. P. 1073–95. doi: 10.1785/BSSA0650051073
- Kozyrev A.A., Semenova I.E., Zhukova S.A., Zhuravleva O.G. Factors of seismic behavior change and localization of hazardous zones under a large-scale mining-induced impact // Russian Mining Industry. 2022. V. 6. P. 95–102. doi: 10.30686/1609-9192-2022-6-95-102
- Molchan G. M., Dmitrieva O. E. Aftershock identification: methods and new approaches // Geophys. J. Int. 1992. V. 109. Is. 3. P. 501–516.
- Molchan G. Space-time earthquake prediction: the error diagrams // Pure Appl. Geophys. 2010. V. 167. № 8–9. P. 907–917. doi: 10.1007/s00024-010-0087-z
- Molchan G. Structure of optimal strategies in earthquake prediction // Tectonophysics. 1991. V. 193. P. 267–276.
- Motorin A., Baranov S. Distribution of Strongest Aftershock Magnitudes in Mining-Induced Seismicity // Frontiers in Earth Science. 2022. V. 10. P. 902812. 10.3389/feart.2022.902812
- Plenkers K., Kwiatek G., Nakatani M., Dresen G., Group J. Observation of Seismic Events with Frequencies f > 25 kHz at Mponeng Deep Gold Mine, South Africa // Seismological Research Letters. 2010. V. 81. P. 467–478. doi: 10.1785/gssrl.81.3.467
- Shebalin P., Narteau C., Holschneider M., Zechar J. Combining earthquake forecast models using differential probability gains // Earth, Planets and Space. 2014. V. 66. № 37. P. 1–14.
- Shebalin P.N., Narteau C., Baranov S.V. Earthquake Productivity Law // Geophysical Journal International. 2020 V. 222. P. 1264–1269. doi: 10.1093/gji/ggaa252
- Zaliapin I., Ben-Zion, Y. A global classification and characterization of earthquake clusters // Geophys. J. Int. 2016. V. 207. P. 608–634.
- Zechar J.D., Jordan T.H. Testing alarm-based earthquake predictions // Geophys J Int. 2008. V. 172. P. 715–724.
Supplementary files







