Regional Features of Seismic Wave Attenuation in the North Caucasus
- Authors: Zvereva A.S.1, Gabsatarova I.P.1, Likhodeev D.V.2
-
Affiliations:
- Geophysical Survey of the Russian Academy of Sciences
- Schmidt Institute of Physics of the Earth of the Russian Academy of Sciences
- Issue: No 6 (2024)
- Pages: 64-79
- Section: Articles
- URL: https://bakhtiniada.ru/0002-3337/article/view/282304
- DOI: https://doi.org/10.31857/S0002333724060046
- EDN: https://elibrary.ru/RGMJSV
- ID: 282304
Cite item
Full Text
Abstract
New generalized data on the attenuation of seismic waves in the lithosphere of the North Caucasus were obtained using the frequency-dependent quality factor of the medium Qs(f). Knowledge of the heterogeneities of the quality factor distribution as a characteristic of the environment in the region is necessary when carrying out seismic zoning work of varying degrees of detail. The information base for the study comprised digital records of 53 seismic stations of 800 local earthquakes with moderate magnitudes (1.8 ≤ M ≤ 5.5), evenly distributed throughout the North Caucasus. The study used the coda-wave envelope method in the single scattering model (CodaQ). For the territory of the North Caucasus and for seven individual zones, average analytical expressions of the frequency-dependent quality factor of the medium Qs(f) were calculated and maps of the distribution of quality values at frequencies of 1 and 4 Hz were compiled. It was revealed that the zones with the lowest quality factor correspond to tectonically heterogeneous regions characterized by the presence of strong fragmentation in the crust and an increased level of fluid saturation. The zones of the highest quality factor correspond to zones of lithospheric extension, where earthquakes with normal-fault focal mechanisms predominate.
Full Text
ВВЕДЕНИЕ
Северо-Кавказский регион является частью Альпийско-Гималайского орогенного пояса, расположенного между Черным и Каспийскими морями, вместе с прилегающей к ним южной частью Предкавказской (Скифской) плиты (рис. 1a). Регион имеет сложное тектоническое строение и характеризуется высоким уровнем сейсмической активности – наибольшим в европейской части России. В соответствии с картой “Общего сейсмического районирования Северной Евразии” (ОСР-2015 А и В) оценка сейсмического потенциала большей части территории Северного Кавказа соответствует в основном 8–9 балльным зонам интенсивности сотрясений (на средних грунтах в баллах шкалы MSK-64) [СП 14.13330.2018]. На этой территории расположены многочисленные города с большой плотностью населения и объекты критической инфраструктуры. Природные разрушительные явления могут привести к катастрофам с сопутствующими проблемами социально-экономического характера.
Рис. 1. (а) – Основные тектонические структуры [Рогожин и др., 2014]: СП – Ставропольское поднятие, ЛМЗ – Лабино-Малкинская зона, ДК – Дагестанский клин, ТКП – Терско-Каспийский прогиб, РВ – Рионская впадина, СЗК – Северо-Западный Кавказ, ЗЮС – зона южного склона. Серыми линиями показаны активные тектонические разломы [Трифонов и др., 2002]; звездами – эпицентры наиболее сильных землетрясений за инструментальный период наблюдений: 21.10.1905 г. Тебердинское с M = 6.4; 16.07.1963 г. Чхалтинское с M = 6.4; 14.05.1970 г. Дагестанское с M = 6.7; 28.07.1976 г. Черногорское с M = 6.1; 07.12.1988 г. Спитакское с M = 7.0; 29.04.1991 г. Рачинское с M = 6.9; 07.05.2012 г. Закатальское с M = 5.6; 26.03.2013 г. Домбайское-I с M = 4.4; 28.03.2013 г. Домбайское-II с M = 4.6. Треугольниками – местоположение вулканов Эльбрус и Казбек; (б) – современная тектоническая обстановка Кавказского региона по работе [Казьмин и др., 2004]: 1 – Альпийский складчатый пояс; 2 – океанская или тонкая континентальная кора в реликтовых задуговых бассейнах Черного моря и Южного Каспия; 3 – главные надвиговые фронты; 4 – направление движения относительно Евразии.
В сейсмологических исследованиях затухание энергии сейсмических волн в процессе распространения от источника к приемнику является одним из основных параметров, характеризующих свойства среды. С затуханием сейсмических волн в среде связано появление на сейсмограммах коды – длинной хвостовой части сейсмограммы, следующей после регулярных волн [Aki, Chouet, 1975]. Затухание волн обычно выражается через безразмерный параметр – добротность среды Q и необходимо для многих задач прикладной и фундаментальной сейсмологии, среди них:
– исследование региональных особенностей строения среды, поскольку затухания напрямую связано с физико-химическим состоянием горных пород (распределение трещин, флюидонасыщенность, перепады температуры и давления в недрах Земли);
– расчет очаговых спектров землетрясений путем введения поправки за неупругое затухание волны в литосфере в наблюденный станционный спектр.
В литературе приводятся многочисленные данные о связи региональных вариаций добротности Q, с особенностями геолого-тектонического строения. В работе [Харазова и др., 2016] различия в добротности среды на западном Кавказе объясняются масштабом и характером тектонических дислокаций геологической среды, локальные вариации затухания связываются с наличием разломных структур, зон дробления, наклонных сейсмических границ, вариации мощности и консолидированности осадочного чехла, особенностей строения и состава фундамента. Изучение затухания в Паннонском бассейне и в Динаридах (Хорватия) [Dasovic et al., 2013] также показало, что региональные особенности Q0 (Q на частоте 1 Гц) можно объяснить различной мощностью и составом литосферы, в том числе на глубинах, где происходит переход от литосферы к астеносфере и наблюдается разность мощности теплового потока. На территории Южнобайкальской впадины зоны с высокой сейсмической активностью, высокой плотностью разломов и высокими значениями теплового потока совпадают с областями повышенного затухания, а области пониженной плотности эпицентров землетрясений и пониженной поверхностной плотности разломов хорошо согласуются с зонами низкого затухания сейсмических волн [Добрынина и др., 2019]. Работы по скоростной томографии, проведенные в Северо-Восточной Сицилии [Giampiccolo et al., 2018], показали, что, низкие значения Q0 совпадают с низкими значениями скоростей P-волн и высокими значениями отношения Vp/Vs. Отношение Vp/Vs является одним из прямых индикаторов трещиноватости горных пород, насыщения флюидов и порового давления в земной коре, поскольку жидкость оказывает разный эффект на скорости P- и S-волн и высокие значения Vp/Vs могут свидетельствовать о содержании флюидов в разломах среды [Giampiccolo et al., 2018].
Сейсмологические наблюдения на Северном Кавказе и развитие сети в последние годы позволили накопить большой объем качественных инструментальных данных для изучения затухания волн в литосфере по записям локальных землетрясений более чем 50 станциями, расположенными в различных частях региона. Ранее подобные работы были проведены для четырех станций: “Сочи” (SOC), “Анапа” (ANN), “Кисловодск” (KIV) и “Махачкала” (MAK) [Павленко, 2016; 2020; Павленко, Павленко, 2016; Харазова и др., 2016; Кирсанов, Павленко, 2020]. В предыдущих наших работах [Zvereva et al., 2023; Зверева и др., 2024] такие исследования были проведены для западной и восточной зон Северного Кавказа.
Целью настоящей работы является расширение знаний о затухании сейсмических волн на Северном Кавказе за счет массового расчета станционных оценок частотно-зависимого значения добротности Q(f), построения карт распределения значений добротности и интерпретации неоднородностей.
Для этого необходимо было решить следующие задачи:
- провести расчет значений частотно-зависимой добротности для каждой исследуемой станции сети Северного Кавказа (см. раздел Исходные данные);
- провести картирование станционных определений добротности с последующим их зонированием и сопоставлением пространственных вариаций затухания сейсмических волн с особенностями геолого-тектонического строения и физическими свойствами среды в регионе;
- оценить средние значения добротности для тектонических зон различного масштаба.
ТЕКТОНИЧЕСКОЕ СТРОЕНИЕ И СЕЙСМИЧНОСТЬ
Геодинамический режим Кавказского региона (рис. 1б) определяется надвигом Аравийской плиты на Скифскую, вызванным боковым вытеснением “жестких” Анатолийской и Иранской плит и перераспределением деформаций в широкой области, расположенной между окраинами Аравии и орогеном Большого Кавказа [Казьмин и др., 2004]. Скорость движения Аравийской плиты по результатам современных геодезических наблюдений [Reilinger et al., 1997] определена как 18–20 мм/год.
Представим лишь краткое изложение основных структурных элементов, которые будут упомянуты при регионализации и интерпретации полученных нами значений добротности. Согласно исследованиям [Милановский и др., 1963; Рогожин и др., 2014], в тектоническом плане Северный Кавказ представлен главными продольными тектоническими зонами запад–северо-западного простирания (рис. 1а).
Предкавказская (Скифская) плита примыкает с севера к альпийским сооружениям Кавказа на своем среднем и наиболее приподнятом участке – Ставропольском поднятии.
Альпийские краевые (передовые) прогибы расположены к югу от Скифской плиты на западе – Индоло-Кубанский, на востоке – Терско-Каспийский. Индоло-Кубанский краевой прогиб, общий для Восточного Крыма и Северо-западного Кавказа, имеет резко асимметричное строение: северное крыло пологое, а наиболее глубокая осевая зона приближена к узкому южному крылу. Он отделяется от Терско-Каспийского прогиба Минераловодским выступом, занимающим промежуточное положение между Ставропольским поднятием и северным крылом мегантиклинория Большого Кавказа. Терско-Каспийский прогиб сходен по строению с Западно-Кубанским, но отличается более сложной структурой, в центральной зоне две антиклинали: Терская и Сунженская.
Большой Кавказ представляет собой ассиметричный альпийский мегантиклинорий с отчетливым осевым поднятием с относительно широким и просто построенным северным и более узким южным крылом. Большой Кавказ расчленяется на несколько поперечных сегментов. Наиболее тектонически и орографически приподнятым сегментом является Центральный Кавказ. На севере Центральный Кавказ ограничен Лабино-Малкинской моноклинальной зоной. Восточный Кавказ тектонически менее приподнят, чем Центральный, но на своем среднем участке – “Дагестанский клин” (Известняковый Дагестан) имеет сопоставимую ширину. Северное крыло отделяется от Терского краевого прогиба резким флексурным перегибом. Северо-Западный Кавказ отделен от Центрального Кавказа зоной Пшехско-Адлерских поперечных разломов и является западной окраиной всего Большого Кавказа.
Современная тектоническая обстановка Кавказского региона [Рогожин и др., 2014] находит отражение в сейсмичности региона, мониторинг которой осуществляет ФИЦ ЕГС РАН. Каталоги землетрясений и обобщающие обзоры публикуются в ежегодных изданиях “Землетрясения России” [База данных “Землетрясения России”].
ИСХОДНЫЕ ДАННЫЕ
Для решения поставленных задач (см. Введение) был создан набор исходных данных, представленный основными параметрами и станционными цифровыми записями для 800 землетрясений, произошедших в период 2013–2022 гг. Землетрясения имели магнитуды M = 1.8–5.5, которые, согласно оценкам авторов работы [Габсатарова, Зверева, 2023], являлись представительными в районах локации. Глубины очагов рассматриваемых землетрясений находились в интервале h = 1–45 км, преобладающее их число имели h = 12 ± 3 км. Эти события зарегистрированы сетью сейсмических станций ФИЦ ЕГС РАН, имеющей код RU в Международной федерации сетей цифровых сейсмографов (FDSN) [Geophysical…, 1989]. В работе использовались данные 53 сейсмических станций (рис. 2) из которых 51 входит в сеть ФИЦ ЕГС РАН, а две в сеть сейсмических наблюдений Грузии (GO) [Ilia State…, 1988]. Основные параметры рассматриваемых землетрясений были определены по данным региональных сетей сейсмологических наблюдений Северо-Осетинского (NOGSR) и Дагестанского (DAGSR) филиалов, а также Центрального отделения (OBGSR) ФИЦ ЕГС РАН в Обнинске [База данных “Землетрясения России”].
Рис. 2. Карта сейсмических станций и эпицентров землетрясений, использованных в работе.
МЕТОДИКА
В настоящей работе оценивается функция добротности среды Qc по кода-волнам локальных землетрясений методом огибающих кода-волн [Aki, Chouet, 1975] в модели однократного рассеяния.
Амплитуды кода-волн могут быть представлены в следующем виде:
, (1)
где κ – коэффициент приповерхностного затухания; A0 – начальная амплитуда; β – коэффициент геометрического расхождения, равный 1.0 для объемных волн и 0.5 для поверхностных соответственно.
Логарифмирование соотношения (1) дает:
. (2)
Здесь огибающая ln (A (f, t))+ βln (t) как функция времени от заданной частоты f (в соответствии с полосой пропускания фильтра) является прямой линией с наклоном −πf / Q (f) по которому и определяется добротность Qc (f).
Согласно работе [Раутиан и др., 1981], время начала окна коды должно превосходить как минимум вдвое время пробега для S-волны. Добротность является частотно зависимым параметром и имеет вид:
. (3)
Кода-волны на разных частотах рассеиваются от неоднородностей разного размера [Aki, Chouet, 1975; Раутиан и др., 1981]. Потеря энергии волны на многих таких неоднородностях объясняется явлением рассеяния. Если размер неоднородного включения сопоставим с длиной движущейся волны или больше ее, то такая неоднородность повлияет на амплитуду волны, так как часть энергии будет затрачена на образование отраженных волн. Волны, длины которых значительно больше встречаемых неоднородностей, проходят их без потери энергии. Длина волны λ определяется как произведение скорости (V) ее распространения на период (Т) λ = V ∙ T или λ = V/f (f – частота колебаний). Объемные волны P и S, имеющие одинаковый период Т, будут по-разному терять энергию за счет поглощения, что обусловлено разными длинами этих волн.
Методические вопросы оценки добротности по кода-волнам применительно к Северному Кавказу ранее рассматривались в предыдущих исследованиях авторов настоящей статьи и детально изложены в работах [Zvereva et al., 2023; Зверева и др., 2024].
Более детально остановимся на описании алгоритма построения карт. На основании рассчитанной добротности Qc, отнесенной к средним точкам для каждой из пар событие–станция, можно построить матрицу распределения данного параметра. Для построения карт использовался следующий алгоритм:
- Область карты построения распределения добротности приводилась к прямоугольной системе географических координат, градусы пересчитывались в километры относительно юго-восточного угла карты.
- Область построения разбивалась на ячейки размером 1 × 1 км.
- Для каждой пары событие–станция строился эллипсоид, в фокусах которого расположены очаг землетрясения и сейсмостанция. Большая и малая полуоси эллипсоида определялась по формуле (4) [Pulli, 1984]:
, (4)
где: r – гипоцентральное расстояние (для выборки из нескольких событий используется среднее гипоцентральное расстояние); v – скорость S-волн; t = (LT + CW / 2) – среднее время прихода кода-волн.
Нижняя граница эллипсоида соответствует максимальной глубине проникновения кода-волн:
, (5)
где hav – средняя глубина событий.
Расчетное значение добротности Qc соотносится с проекцией центра эллипсоида на земной поверхности – “средней точкой”.
3.1. Выбирались ячейки, центр которых лежал внутри эллипса (проекция на поверхность эллипсоида).
3.2. Выбранным ячейкам ставилось в соответствие значение добротности, рассчитанное для данной пары событие–станция.
3.3. Для каждой ячейки карты рассчитывалось среднеарифметическое значение по всем эллипсам, построенным таким образом.
- Для сглаживания поля распределения добротности каждой из ячеек присваивалось значение среднего арифметического 5 соседних ячеек.
- Ячейки, в расчете которых использовалось меньше трех значений добротности на этапе 3.3, исключались из дальнейшего построения карты.
Для реализации последующих этапов алгоритма использовалась программа построения комплексных карт геолого-геофизических параметров [Лиходеев, 2019].
- Строилась карта изолиний рельефа с использованием данных General Bathymetric Chart of the Oceans (GEBCO) [Weatherall et al., 2015].
- Полупрозрачным слоем на карту наносились значения добротности, полученные на этапе 5, в соответствии с выбранной цветовой шкалой. Шкала цветов на карте подбиралась таким образом, чтобы наиболее ярко выделить неоднородности распределения добротности. Описанный алгоритм реализован в среде программирования MATLAB.
РАСЧЕТ ДОБРОТНОСТИ Qc И КОЭФФИЦИЕНТА ЗАТУХАНИЯ Δ
Средние значения добротности Qc на каждой частоте рассчитывались на основе всех полученных записей. Расчет проводился в программе “Coda Q” программного комплекса SEISAN [Havskov et al., 2020] с заданными параметрами: длительность окна коды CW = 30 с, минимальное время начала окна коды LT = 30 с, но не ранее двойного времени пробега S-волны, фильтрация двухоктавным фильтром Баттерворта в полосах 0.5–2.0, 1–4, 2–8, 4–16 и 8–32 Гц (с центральными частотами f0 = 1, 2, 4, 8 и 16 Гц), отношения сигнал/шум SNR > 3. Подробное описание методики расчета добротности методом огибающих в программном комплексе SEISAN для землетрясений Северного Кавказа представлено в работах [Zvereva et al., 2023; Зверева и др., 2024].
В общей сложности в расчетах были задействованы данные 53 различных сейсмостанций, удаленных от эпицентров не более чем на 50 км. Получено 9876 и 9083 значений Qc при значении параметра геометрического расхождения для объемных волн β = 1.0. Значения Qc рассчитывались для каждой сейсмостанции и центральной частоты. Только для 7 сейсмических станций Чубери (CHBG), “Дышне-Видено” (DVE), “Грозный” (GROC), “Горное” (GRYR), “Они” (ONI), “Красная Поляна” (RPOR) и “Шиджатмаз” (SHA1) (рис. 3), имевших частоту дискретизации 100 Гц, удалось рассчитать значение Qc на центральной частоте 16 Гц (полоса 8–32 Гц), остальные станции имели более низкую частоту дискретизации записей (40–50 Гц), что позволило провести расчеты только для f0 = 1, 2, 4, 8 Гц. С использованием аппроксимирующей частотно-зависимой степенной функции, для каждой сейсмостанции определялось соотношение Qc = Q0 ∙ fα, которое рассчитывается на основании средне-взвешенных по количеству наблюдений значений Qc для каждой частоты.
Рис. 3. Карта распределения средних точек Qc на Северном Кавказе.
По результатам анализа всех рассчитанных значений получена общая зависимость добротности Qc для всей территории Северного Кавказа, которая определяется следующим соотношением:
.(6)
На основании полученных средних значений добротности на каждой центральной частоте для геометрического расхождения β = 1.0 был проведен расчет коэффициента затухания по формуле:
, (7)
где: f – частота; Qс – добротность на этой частоте f; ν – скорость объемной S-волны (взята средняя скорость S-волн 3.4 км/с).
Расчет коэффициента затухания Δ проводился отдельно для каждой сейсмической станции и центральной частоты, также получено среднее значение для всего Северного Кавказа (табл. 1, рис. 4). Как уже отмечалось, только для малого числа сейсмических станций удалось оценить добротность на частоте 16 Гц, поэтому мы ограничились значениями добротности и коэффициента затухания на частотах 1–8 Гц. На рис. 4 приведены графики распределения оценок коэффициента затухания Δ на этих частотах, где, начиная с частоты 4 Гц, наблюдаются очень близкие значения для всей рассматриваемой территории.
Таблица 1. Среднее значение коэффициента затухания Δ для территории Северного Кавказа на центральных частотах f = 1–16 Гц (sd – стандартное отклонение)
f, Гц | Δ | sd |
1 | 0.0094 | 0.0010 |
2 | 0.0107 | 0.0013 |
4 | 0.0113 | 0.0021 |
8 | 0.0114 | 0.0021 |
16 | 0.0118 | 0.0020 |
Рис. 4. Значение добротности Qc при β = 1.0 (а) и коэффициента затухания Δ (б) на центральных частотах 1–8 Гц. Серые линии – значения для отдельных сейсмических станций; черная толстая линия – среднее значение со стандартным отклонением (черные пунктирные линии).
Для изучения региональных особенностей Qc была построена карта пространственного распределения средних точек на основании всех рассчитанных значений при геометрическом расхождении β = 1.0 (рис. 3). Рассматриваемые эллипсоиды среды, полученные при заданной скорости S-волн равной 3.4 км/с, длине окна коды 30 с, среднем гипоцентральном расстоянии 28 км, времени начала окна коды равном 30 с имели следующие размеры: радиус главной оси 77 км, малой оси 76 км (формула (4)), максимальная теоретическая глубина проникновения согласно (5) составляла 87 км.
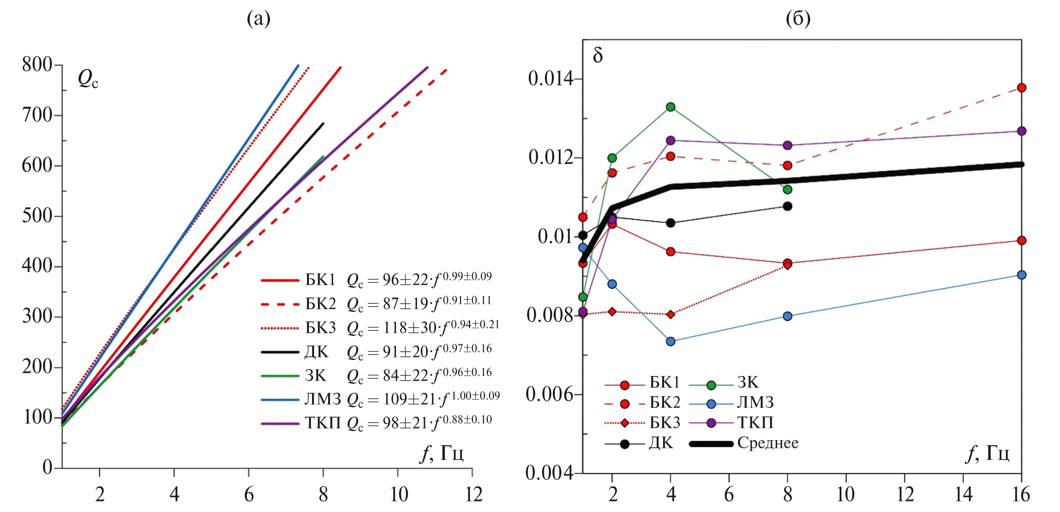
Неравномерность распределения средних точек (рис. 3) на дневной поверхности обусловлена как расположением сейсмостанций, так и неоднородностью сейсмичности в регионе. На основании пространственного группирования средних точек и, опираясь на границы тектонических зон по Хаину [Хаин, 1973], были выделены 7 основных зон (рис. 5): (БК1) – Сочинско-Краснополянская зона Большого Кавказа (БК2) – Чхалтинско-Рачинская зона Большого Кавказа; (БК3) – Закатальская зона Большого Кавказа; (ДК) – Дагестанский клин; (ЗК) – Западный Кавказ; (ЛМЗ) – Лабино-Малкинская зона и (ТКП) – Терско-Каспийский прогиб. Расчеты Qc в пределах этих зон проводились таким образом, чтобы эпицентры землетрясений и средние точки эллипсоида среды, в котором формировались кода-волны, находились в пределах тектонических границ изучаемой зоны, а эпицентральные расстояния не превышали 50 км (рис. 3). Только для четырех зон БК1, БК2, ЛМЗ и ТКП удалось рассчитать значения Qc для центральной частоты 16 Гц. В таблице 2 приведены результаты расчета Qc и коэффициента затухания Δ для каждой из зон.
Рис. 5. Карта распределения средних точек и зон районирования Qc. Границы зон: 1 – Западный Кавказ (ЗК), 2 – Большой Кавказ 1 (БК1), 3 – Большой Кавказ 2 (БК2), 4 – Лабино-Малкинская зона (ЛМЗ), 5 – Терско-Каспийский прогиб (ТКП), 6 – Дагестанский клин (ДК), 7 – Большой Кавказ 3 (БК3). Тектонические зоны: I – Большой Кавказ, II – Западно-Кубанский передовой прогиб, III – Терско-Каспийский передовой прогиб, IV – Дагестанский клин, V – моноклиналь Предкавказья, VI – Ставропольский свод, VII – Кумо-Манычский прогиб, VIII – структуры Скифской платформы, IX – Рионский межгорный прогиб, X – Джавахетское нагорье, XI – Аджаро-Триалетская складчатая область, XII – мегантиклинорий Малого Кавказа, XIII – Куринский и Нижнеараксинский прогибы, XIV – Донецко-Каспийская погребенная складчатая область.
В нашем исследовании для всех рассматриваемых зон наибольшие различия как в добротности Qc, так и в значениях коэффициента затухания наблюдаются на частотах 1 и 2 Гц (табл. 2, рис. 6). Далее, как видно из рис. 6, затухание на частотах 4–8 Гц плавно изменяется для всех зон, за исключением ЗК. На частоте 16 Гц снова прослеживается рост затухания.
Таблица 2. Значения Qc и Δ для центральных частот 1–16 Гц (N – общее количество значений Qc для каждой центральной частоты)
Зона | Центральная частота f, Гц | N | |||||||||
1 | 2 | 4 | 8 | 16 | |||||||
Qc | Δ | Qc | Δ | Qc | Δ | Qc | Δ | Qc | Δ | ||
БК1 | 99 ± 35 | 0.0093 | 179 ± 49 | 0.0103 | 384 ± 107 | 0.0096 | 792 ± 187 | 0.0093 | 1492 ± 137 | 0.0099 | 1437 |
БК2 | 88 ± 25 | 0.0105 | 159 ± 51 | 0.0116 | 307 ± 80 | 0.0120 | 626 ± 163 | 0.0118 | 1073 ± 203 | 0.0138 | 822 |
БК3 | 115 ± 35 | 0.0080 | 228 ± 66 | 0.0081 | 460 ± 154 | 0.0080 | 797 ± 267 | 0.0093 | – | – | 368 |
ДК | 92 ± 26 | 0.0100 | 176 ± 42 | 0.0105 | 357 ± 74 | 0.0104 | 686 ± 156 | 0.0108 | – | – | 988 |
ЗК | 109 ± 44 | 0.0085 | 154 ± 39 | 0.0120 | 278 ± 56 | 0.0133 | 660 ± 108 | 0.0112 | – | – | 474 |
ЛМЗ | 95 ± 26 | 0.0097 | 210 ± 55 | 0.0088 | 503 ± 105 | 0.0073 | 925 ± 157 | 0.0080 | 1636 ± 229 | 0.0090 | 575 |
ТКП | 114 ± 37 | 0.0081 | 177 ± 48 | 0.0104 | 297 ± 65 | 0.0124 | 600 ± 133 | 0.0123 | 1166 ± 173 | 0.0127 | 1352 |
Рис. 6. Частотно-зависимые степенные функции Qc (f) (а) и графики зависимости коэффициента затухания Δ от частоты (б) для исследуемых зон.
РЕЗУЛЬТАТЫ И ОБСУЖДЕНИЕ
Значение частотно-зависимой добротности (6) для всего Северного Кавказа сопоставимо с полученными нами ранее значениями для Западного Кавказа Qc = 90 ∙ f1.02 [Zvereva et al., 2023] и Восточного Кавказа Qc = 97 ∙ f0.88 [Зверева и др., 2024]. Сравнение с предыдущими исследованиями затухания сейсмических волн на Северном Кавказе других авторов (табл. 3) [Павленко, 2016; 2020; Павленко, Павленко, 2016; Кирсанов, Павленко, 2019] показало, что полученная нами зависимость Qc = 94 ∙ f0.95 наиболее близка к значениям по сейсмическим станциям “Анапа” (ANN) и “Кисловодск” (KIV).
Таблица 3. Частотно-зависимые степенные функции Q (f) на отдельных сейсмических станциях Северного Кавказа, полученные разными авторами
f, Гц | Δ, км | Станция | Q (f) = Q0fα | Автор |
1.0–10 | 30–265 | ANN | Qc (f) = 90f0.7 | [Павленко, 2016] |
1.0–20 | 100–300 | KIV | Q (f) = 85f0.9 | [Павленко, Павленко, 2016] |
1.0–16 | 25–200 | MAK | Q (f) = 120f0.8 | [Кирсанов, Павленко, 2019], [Павленко, 2020] |
1.0–10 | 35–290 | SOC | Q (f) = 55f0.9 | [Павленко, 2016] |
Для комплексного изучения пространственного изменения добротности были построены карты распределения Qc для региона Северного Кавказа (рис. 7) которые сопоставлялись с результатами геолого-геофизических исследований: полем поглощения S-волн [Копничев, Соколова, 2019; Аптикаева и др., 1995; Аптикаева, 2020], картой аномалий скоростей P- и S-волн [Kulakov et al., 2012], с механизмами очагов и геодинамической ситуацией в регионе [Милюков и др., 2022], с результатами исследования флюидонасыщения и удельного электрического сопротивления [Белявский, 2023], комплексным исследованием флюидо-магматических структур Северного Кавказа [Масуренков и др., 2010].
Рис. 7. Карты распределения добротности на частоте 1 Гц (а) и 4 Гц (б). Цветовая легенда справа показывает значение добротности Qc.
Как уже отмечалось в разделе “Методика”, кода-волны на разных частотах рассеиваются от неоднородностей разного размера. Зная скорость S-волны (VS = 3.4 км/с), частоту f (Гц), можно оценить длину волны и примерный размер неоднородности, где происходит рассеяние. На центральной частоте 1 Гц кода-волны рассеиваются на относительно крупномасштабных неоднородностях с размерами порядка 1.7–6.8 км, а в более высоком частотном диапазоне – на неоднородностях меньшего размера порядка 0.8–3.2, 0.4–1.6 и 0.2–0.8 км для центральных частот 2, 4 и 8 Гц соответственно.
Для дальнейшего анализа были выбраны карты, построенные для центральных частот 1 и 4 Гц, в расчете которых участвовали наиболее представительные по числу анализируемых землетрясений выборки (рис. 7а, 7б). На каждой карте выделяются отдельные зоны повышенных и пониженных значений добротности. Приведем качественное сравнение полученных нами результатов, отражающих свойства среды, с данными других геолого-геофизических исследований.
Область наименьших значений добротности как на частоте 1 Гц, так и на 4 Гц наблюдается в зонах эпицентров сильных землетрясений (рис. 7, рис. 1а), произошедших в последние 30 лет (зона БК2): Рачинского землетрясения 1991 г. с М = 6.9, а также Тебердинского 1905 г. с М = 6.4 и Чхалтинского 1963 г. с М = 6.4 землетрясений, где в 2013 г. произошли Домбайские землетрясения с М = 4.4–4.6. Тектоническая позиция очагов этих землетрясений, согласно [Рогожин и др., 2014], связана с наличием крупнейших разломных зон в Рача-Лечхумской шовной зоне на южном склоне Большого Кавказа и Тебердино-Чхалтинской зоне в осевой части Главного Кавказского комплекса. В пределах названных структур наблюдается существенная раздробленность земной коры. Степень раздробленности здесь представляется более значительной по сравнению с окружающими районами Большого Кавказа и Закавказья согласно работе [Рогожин и др., 2014].
Добавим, что при изучении неоднородности литосферы и астеносферы в очаговой зоне Рачинского землетрясения, в работах [Аптикаева и др., 1995; Копничев, Соколова, 2019] выявлены полосы сильного поглощения (добротность низкая) в окружающих областях слабого поглощения (добротность высокая). Авторы этих исследований связывают области сильного поглощения с областями подъема флюидов из верхней мантии.
В целом вся зона БК2 имеет пониженные значения добротности во всем частотном диапазоне и повышенные значения коэффициента затухания (рис. 6, табл. 2). Отрицательные аномалии скоростей Р-волн и S-волн в пределах рассматриваемой зоны Большого Кавказа (БК2) выделяются по томографической модели для территории Кавказского региона [Kulakov et al., 2012]. Как показано в работе [Giampiccolo et al., 2018], низкие значения Q0 совпадают с низкими значениями VP.
Повышенные значения добротности наблюдаются в шельфовой части Черного моря (зоны БК1 и ЗК), в Терско-Сунженской структуре (центральная часть Терско-Каспийского прогиба) и Закатальской зоне (БК3) (рис. 7). Авторы работы [Копничев, Соколова, 2014] установили, что в районах, характеризующихся растяжением в литосфере, наблюдаются пониженные значения поглощения S-волн. Согласно данным о механизмах очагов [База данных “Землетрясения России”] (рис. 8) в шельфовой части Черного моря и в Терско-Сунженской зоне преобладают механизмы очагов типа сброс, что объясняет низкие значения поглощения и высокую добротность в данных районах.
Рис. 8. Карта распределения добротности на частоте 1 Гц с диаграммами типичных механизмов очагов землетрясений.
Отдельно отметим зону БК3 (рис. 8), где также наблюдаются повышенные значения добротности (рис. 6а) и пониженные коэффициента затухания (рис. 6б) во всем исследованном частотном диапазоне. БК3 располагается в восточной части структур Большого Кавказа, где в целом доминирует близгоризонтальное сжатие [Reilinger et al., 1997; Милюков и др., 2022]. Однако при анализе механизмов очагов сильных Закатальских землетрясений 2012, 2018 и 2019 гг. выявлено, что здесь распространены сбросовые и сбросо-сдвиговые движения в очаге (рис. 8) [База данных “Землетрясения России”; Етермишли и др., 2018].
Области перехода от структур Большого Кавказа к передовым прогибам – Индоло-Кубанскому и Терско-Каспийскому – (зоны ЗК и ТКП, рис. 1, рис. 7б) имеют сложное строение в разных своих частях, что находит отражение в картах распределения добротности (рис. 7), и подтверждается неоднородностью других геофизических полей.
Зона Северо-Западного Кавказа (ЗК) (рис. 7) расположена в области перехода от структур западной части Большого Кавказа к Керченско-Таманской складчатой зоне и характеризуется фрагментированным, и неоднородным строением. Здесь высокодобротные слои кристаллического фундамента погружаются в западном направлении под низкодобротные отложения Керченско-Таманского прогиба и прослеживаются до северного шельфа Черного моря [Рогожин и др., 2020]. Нами получены низкие значения добротности Qc и повышенные значения коэффициента затухания (табл. 1) для ЗК на частотах f > 1 Гц (рис. 7б), что может свидетельствовать о том, что в пределах данной зоны преобладают мелкомасштабные неоднородности размером 0.2–3.5 км. Такие неоднородности могут быть связаны с камерами грязевых вулканов, где содержание водной фракции флюида имеет повышенные значения при низком значении удельного электрического сопротивления [Белявский, 2023].
Пониженные значения добротности в юго-восточной части сочленения ТКП с зоной Дагестанского клина (ДК) (рис. 7) могут ассоциироваться с системой раздробленных надвигов, вдоль которых может поступать флюид, создающий систему электропроводящих структур [Белявский, 2023]. В восточной части ТКП и сочленения со структурами большого Кавказа (БК2) под широтными разломами также выделены аномалии проводимости. В наших данных на рис. 7а видны промежуточные значения добротности в восточной части ТКП, а на рис. 7б – пониженные.
Особого внимания заслуживает зона ЛМЗ, поскольку в ее пределах находятся районы Кавказских Минеральных Вод и Приэльбрусья, включающие Эльбрусскую вулканическую область. Основная часть территории ЛМЗ расположена в пределах Лабино-Малкинской моноклинали (Северо-Кавказский краевой массив) – в зоне перехода от северного склона Большого Кавказа к Скифской платформе [Рогожин и др., 2014] (рис. 1). Из рис. 6а видно, что ЛМЗ в целом имеет наиболее высокие значения Qc и низкие коэффициенты затухания (рис. 6б) по сравнению с другими зонами. Однако на карте (рис. 7а) и в табл. 2 хорошо видно, что на частоте 1 Гц в данной зоне наблюдаются низкие значения добротности, особенно в районе вулканической постройки Эльбруса. В работе [Масуренков и др., 2010] отмечается наличие магматической камеры на глубине порядка 5 км шириной 8 км, а на глубине 1 км ее характерные размеры не превышают 2 × 2.5 км. Это, по нашей оценке, близко к размеру неоднородностей на частоте 1 Гц – 1.7–6.8 км, где происходит рассеяние кода-волн.
Ранее нами была проведена работа, по количественной оценке, эффекта поглощения поперечных волн в районе вулкана Эльбрус путем оценки отношения максимальных значений амплитуд поперечных AS- и продольных AP-волн по трассам очаг–сейсмическая станция, пересекающим данную зону [Маловичко и др., 2014]. Были выделены две зоны высокого поглощения продольных волн на трассе между очагом и станцией, первая в пределах вулканической постройки Эльбруса, а вторая к югу от него, совпадающая с областью повышенной плотности источников углекислых минеральных вод. На карте аномалий скоростей P-волн [Kulakov et al., 2012] также выделяется в данной области отрицательная аномалия скоростей P-волн. Заметим, что автор работы [Белявский, 2023] выделяет максимальное содержание флюида совместно с высокой проводимостью блоков земной коры в пределах глубинных разломов и шовных зон, пересекающих Минераловодский выступ и Северо-Кавказский краевой массив до вулканической камеры Эльбруса. Таким образом, наличие магматического очага Эльбрусского вулканического центра и повышенного содержания флюидов в прилегающих территориях может свидетельствовать о высоком затухании в данной зоне на низких частотах.
На рис. 6б, начиная с центральной частоты 2 Гц, наблюдается резкое уменьшение коэффициента затухания, который достигает минимума на частоте 4 Гц, дальше наблюдается незначительный рост с трендом, близким к общекавказскому. На рис. 7б наблюдается повышение добротности по мере удаления от Эльбрусского вулканического центра к северу к структурам Скифской плиты, что может свидетельствовать о более однородном строении литосферы в пределах данной зоны. Этот факт находит подтверждение в скоростном разрезе среды по профилю ГСЗ Степное–Бакуриани, пересекающему исследуемую область, где наблюдается приблизительно одинаковая картина распределения скоростей волн, типичная для платформенных территорий [Павленкова, 2012].
Промежуточные оценки добротности получены в пределах Сочи–Краснополянской сейсмогенерирующей зоны (БК1) на Западном Кавказе и Дагестанского клина (ДК) на Восточном Кавказе (рис. 6а, рис. 7, табл. 2).
ЗАКЛЮЧЕНИЕ
В работе обобщены данные по затуханию сейсмических волн в литосфере Северного Кавказа и получена средняя зависимость добротности Qc от частоты, которая определяется как Qc = 94 ∙ f0.95. Проведено районирование с учетом геолого-тектонического строения региона с выделением 7 зон (рис. 5): (БК1) – Сочинско-Краснополянская зона Большого Кавказа (БК2) – Чхалтинско-Рачинская зона Большого Кавказа; (БК3) – Закатальская зона Большого Кавказа; (ДК) – Дагестанский клин; (ЗК) – Западный Кавказ; (ЛМЗ) – Лабино-Малкинская зона и (ТКП) – Терско-Каспийский прогиб.
Для этих зон рассчитаны частотно-зависимые выражения добротности Qc и значения коэффициента затухания Δ на частотах 1, 2, 4, 8, 16 Гц. Построены карты распределения добротности Qc для всего региона Северного Кавказа на центральных частотах 1 и 4 Гц. Выявлены следующие особенности:
– область наименьших значений добротности наблюдается в Чхалтинско-Рачинской зоне Большого Кавказа (БК2), где произошли сильнейшие землетрясения Кавказа в XX в.: Рачинское 1991 г., M = 6.9 и Чхалтинского 1963 г., M = 6.4. Низкие значения добротности в данной зоне связаны с областями высокого поглощения в сильно раздробленной земной коре и наличием активных разломов, в пределах которых наблюдается подъем флюидов из верхней мантии;
– пониженные значения добротности в частотном диапазоне 2–8 Гц соответствуют областям перехода от структур Большого Кавказа к передовым прогибам Индоло-Кубанскому и Терско-Каспийскому (зоны ЗК и ТКП). Эти территории характеризуются неоднородным в тектоническом плане строением, где происходит сильное рассеивание кода-волн на неоднородностях размером порядка 0.2–3.5 км. В частности, в зоне ЗК повышенное затухание на частотах > 2 Гц может быть связано с областями повышенного поглощения сдвиговых обменных волн, приуроченных к каналам поступления флюида в камерах грязевых вулканов Таманского прогиба;
– повышенные значения добротности соответствуют зонам растяжений литосферы, что находит отражение в механизмах очагов землетрясений умеренных магнитуд. Подобные территории выделяются в шельфовой части Черного моря (зоны БК1 и ЗК), в центральной части ТКП в Терско-Сунженской структуре и Закатальской зоне (БК3);
– в районе Кавказских Минеральных Вод и Приэльбрусья, включающем Эльбрусскую вулканическую область (зона ЛМЗ) в диапазоне низких частот 0.5–1.5. Гц (центральная частота 1 Гц) наблюдаются низкие значения добротности, вызванные сильным рассеянием волн на неоднородностях, связанных с наличием магматического очага Эльбрусского вулканического центра и повышенным содержанием флюидов на прилегающих территориях;
– промежуточные значения добротности соответствуют Сочинско-Краснополянской зоне Большого Кавказа (БК2) и Дагестанскому клину (ДК).
ФИНАНСИРОВАНИЕ РАБОТЫ
Работа выполнена при поддержке Минобрнауки России в рамках государственного задания № 075-00682-24 ФИЦ ЕГС РАН и государственного задания № 075-00273-24-00 ИФЗ РАН.
БЛАГОДАРНОСТИ
В работе использовались данные, полученные на уникальной научной установке “Сейсмоинфразвуковой комплекс мониторинга арктической криолитозоны и комплекс непрерывного сейсмического мониторинга Российской Федерации, сопредельных территорий и мира”.
About the authors
A. S. Zvereva
Geophysical Survey of the Russian Academy of Sciences
Author for correspondence.
Email: zvereva.as59@gmail.com
Russian Federation, Obninsk, 249035
I. P. Gabsatarova
Geophysical Survey of the Russian Academy of Sciences
Email: zvereva.as59@gmail.com
Russian Federation, Obninsk, 249035
D. V. Likhodeev
Schmidt Institute of Physics of the Earth of the Russian Academy of Sciences
Email: zvereva.as59@gmail.com
Russian Federation, Moscow, 123242
References
- Аптикаева О.И., Арефьев С.С., Кветинский С.И., Копничев Ю.Ф., Мишаткин В.И. Неоднородности литосферы в очаговой зоне Рачинского землетрясения 1991 г. // Докл. АН СССР. 1995. Т. 344. № 4. С. 533–538.
- Аптикаева О.И. Поле поглощения поперечных волн в окрестностях очага Дагестанского 1970 г. землетрясения по короткопериодной коде // Труды института геологии Дагестанского научного центра РАН. 2020. № 2 (81). С. 48–56.
- База данных “Землетрясения России” [сайт]. [Обнинск: ФИЦ ЕГС РАН, 2023]. URL: http://eqru.gsras.ru/
- Белявский В.В. Геоэлектрическая модель центральной части Северного Кавказа и его флюидонасыщение // Физика Земли. 2023. № 4. С. 75–95.
- Габсатарова И.П., Зверева А.С. Сейсмический мониторинг Северного Кавказа в первую четверть XXI века. Современные проблемы геологии, геофизики и геоэкологии Северного Кавказа. Т. XIII. М.: ИИЕТ РАН. 2023. С. 257–264.
- Добрынина А.А., Предеин П.А., Саньков В.А., Тубанов Ц.А., Санжиева Д.П.-Д., Горбунова Е.А. Пространственные вариации затухания сейсмических волн в Южнобайкальской впадине и прилегающих областях (Байкальский рифт) // Геодинамика и тектонофизика. 2019. Т. 10. № 1. С. 147–166.
- Етирмишли Г.Д., Кязымова С.Э., Исмаилова С.С., Гаравелиев Э.С. Закатальское-III землетрясения 7 мая 2012 г. в 04h 40m с MLАзр = 5.6, I0 = 7 и Закатальское-IV в 14h15m с MLАзр = 5.7, I0 = 7 (Азербайджан). Землетрясения Северной Евразии. Вып. 21 (2012 г.). Обнинск: ФИЦ ЕГС РАН. 2018. С. 332–344.
- Зверева А.С., Собисевич А.Л., Габсатарова И.П. Добротность геофизической среды восточной зоны Северного Кавказа // Физика Земли. 2024. № 1. С. 140–156.
- Казьмин В.Г., Лобковский Л.И., Пустовитенко Б.Г. Современная кинематика микроплит в Черноморско-Южно-Каспийском регионе // Океанология. 2004. Т. 44. № 4. С. 600–610.
- Кирсанов В.И., Павленко О.В. Оценки добротности коры и верхней мантии Северо-Восточного Кавказа по записям сейсмостанции “Махачкала” // Вопросы инженерной сейсмологии. Т. 46. № 2. 2019. С. 60–73.
- Копничев Ю.Ф., Соколова И.Н. Кольцевые структуры сейсмичности в районах Центрального Тянь-Шаня и Джунгарии: возможная подготовка сильных землетрясений // Вулканология и сейсмология. 2014. № 3. С. 65–73.
- Копничев Ю.Ф., Соколова И.Н. Неоднородности поля поглощения S-волн в литосфере Кавказа и их связь с сейсмичностью // Геофизические процессы и биосфера. 2019. Т. 18. № 3. С. 67–76. https://doi.org/10.21455/GPB2019.3-4
- Лиходеев Д.В. Программа построения комплексных карт геолого-геофизических параметров. Свидетельство о регистрации программы для ЭВМ RU 2019665442, 22.11.2019. Заявка № 2019664326 от 12.11.2019.
- Маловичко А.А., Габсатарова И.П., Лиходеев Д.В., Заклюковская А.С., Преснов Д.А. Развитие системы разномасштабного сейсмического мониторинга в районе вулкана Эльбрус // Сейсмические приборы. 2014. Т. 50. № 4. С. 47–57.
- Масуренков Ю.П., Собисевич А.Л., Комкова Л.А., Лаверова Н.И. Флюидно-магматические системы Северного Кавказа. М.: Институт физики Земли им. О.Ю. Шмидта РАН. 2010. 280 с.
- Милановский Е.Е. Новейшая тектоника Кавказа. М.: Недра. 1968. 483 с.
- Милюков В.К., Миронов А.П., Овсюченко А.Н., Горбатиков А. В., Стеблов Г.М., Корженков А. М., Дробышев В.Н., Хубаев Х.М., Агибалов А.О., Сенцов А.А., Dogan U., Ergintav S. Современные тектонические движения Западного Кавказа и Предкавказья по ГНСС-наблюдениям // Геотектоника. 2022. № 1. С. 51–67.
- Павленко В.А., Павленко О.В. Поглощение сейсмических волн в коре и верхней мантии в окрестностях сейсмостанции “Кисловодск” // Физика Земли. № 4. 2016. С. 24–34.
- Павленко О.В. Оценки добротности коры и верхней мантии в окрестностях Сочи и Анапы (Северный Кавказ) // Физика Земли. 2016. № 3. С. 19–30.
- Павленко О.В. Характеристики поглощения сейсмических волн в восточной части Северного Кавказа, оцененные по записям сейсмостанции “Махачкала” // Физика Земли. 2020. № 5. С. 36–45. doi: 10.31857/S0002333720050075
- Павленкова Г.А. Строение земной коры Кавказа по профилям ГСЗ Степное–Бакуриани и Волгоград–Нахичивань (результаты переинтерпретации первичных данных) // Физика Земли. 2012. № 5. С. 16–25.
- Раутиан Т.Г., Халтурин В.И., Закиров М.С, Земцова А.Г., Проскурин А.П., Пустовитенко Б.Г., Пустовитенко А.Н., Синельникова Л.Г., Филина А.Г.1, Шенгелия И.С. Экспериментальные исследования сейсмической коды. М.: Наука. 1981. 143 с. EDN: TQPOBT.
- Рогожин Е.А., Овсюченко А.Н., Лутиков А.И., Собисевич А.Л., Собисевич Л.Е., Горбатиков А.В. Эндогенные опасности Большого Кавказа. М.: ИФЗ РАН. 2014. 256 с.
- Рогожин Е.А., Горбатиков А.В., Степанова М.Ю., Харазова Ю.В., Сысолин А.И., Андреева Н.В., Погребченко В.В., Червинчук С.Ю., Цзе Ч., Цзяо Лю., Овсюченко А.Н., Ларьков А.С. Глубинное строение Северо-Западного окончания Кавказа по новым геолого-геофизическим данным // Физика Земли. 2020. № 6. С. 48–65.
- СП 14.13330.2018 Строительство в сейсмических районах. Актуализированная редакция СНиП 11-7 – 81. М.: Стандартинформ. 2018. 122 с.
- Трифонов В.Г., Соболева О.В., Трифонов Р.В., Востриков Г.А. Современная геодинамика Альпийско-Гималайского коллизионного пояса. М.: ГЕОС. 2002. 225 с.
- Хаин В.Е. Кавказ. Тектоническая карта. М: 1:5 500 000. Большая Советская Энциклопедия. 1973. Т. 11. С. 112–114. Khain V.E. (1973). [Caucasus. Tectonic map. – M: 1:5 500 000].
- Харазова Ю.В., Павленко О.В., Дудинский К.А. Связь характеристик распространения сейсмических волн на Западном Кавказе с геолого-тектоническими особенностями региона // Физика Земли. Т. 3. 2016. С. 68–81.
- Aki K., Chouet B. Origin of coda waves: source, attenuation, and scattering effects // J. Geophys Res. 1975. V. 80. № 23 P. 3322–3342. https://doi.org/10.1029/JB080i023p03322
- Dasović I., Herak M., Herak D. Coda-Q and its lapse time dependence analysis in the interaction zone of the Dinarides, the Alps and the Pannonian Basin // Phys. Chem. Earth. 2013. V. 63. P. 47–54. doi: 10.1016/j.pce.2013.03.001
- Geophysical Survey of the Russian Academy of Sciences (GSRAS). 1989. Seismic network of the European part of the Russian Federation [Data set]. International Federation of Digital Seismograph Networks. https://doi.org/10.7914/040r-yt67
- Giampiccolo E., Tiziana T. Regionalization and dependence of coda Q on frequency and lapse time in the seismically active Peloritani region (northeastern Sicily, Italy) // J. Seismol. 2018. V. 22. P. 1059–1074. doi: 10.1007/s10950-018-9750-0
- Havskov J., Voss P.H., Ottemöller L. Seismological observatory software: 30 Yr of SEISAN // Seismological Research Letters. 2020. V. 91(3). P. 1846–1852. doi: 10.1785/0220190313
- Koulakov I., Zabelina I., Amanatashvili I., Meskhia V. Nature of orogenesis and volcanism in the Caucasus region based on results of regional tomographyю Solid Earth. 2012. V. 3. P. 327–337. https://doi.org/10.5194/se-3-327-2012
- Ilia State University – Seismic Monitoring Centre of Georgia. 1988. National Seismic Network of Georgia [Data set]. International Federation of Digital Seismograph Networks. URL: http://www.ies.iliauni.edu.ge/
- Pulli J.J. Attenuation of coda waves in New England // Bulletin of the seismological society of America. 1984. V. 74(4). P. 1149–1166. https://doi.org/10.1785/BSSA0740041149
- Reilinger R.E., McClusky S.C., Souter B.J., Hamburger M.W., Prilepin M.T., Mishin A., Guseva T., Balassanian S. Preliminary estimates of plate convergence in the Caucasus collision zone from global positioning system measurements // Geophysical Research Letters. 1997. V. 24. P. 1815–1818. https://doi.org/10.1029/97GL01672
- Weatherall P.K. et al. // Earth Space Sci. 2015. V. 2. № 8. P. 331. doi: 10.1002/2015EA000107
- Zvereva A.S., Havskov J., Gabsatarova I.P. Regional variation of coda Q in Northwest Caucasus // J. Seismol. 2023. V. 27. P. 363–384. https://doi.org/10.1007/s10950-023-10154-8
Supplementary files










