Impact of Water Saturation of the Medium on the Productivity of Natural-Anthropogenic Seismicity: A Case Study of the Khibiny Massif
- Authors: Motorin A.Y.1,2, Zhukova S.A.1,3, Baranov S.V.1, Shebalin P.N.4
-
Affiliations:
- Kola Branch, Geophysical Survey, Russian Academy of Sciences
- Kirovsk Branch, AO Apatit
- Mining Institute, Kola Science Center, Russian Academy of Sciences
- Institute of Earthquake Prediction Theory and Mathematical Geophysics, Russian Academy of Sciences
- Issue: No 2 (2024)
- Pages: 14-25
- Section: Articles
- URL: https://bakhtiniada.ru/0002-3337/article/view/255535
- DOI: https://doi.org/10.31857/S0002333724020025
- EDN: https://elibrary.ru/BTTHSN
- ID: 255535
Cite item
Full Text
Abstract
The effect of water saturation of the medium on the ability of earthquakes to initiate repeated shocks (productivity) is considered based on the long-term seismological observations and water inflow monitoring data from the Khibiny massif ore deposits. The study indicates that the water saturation of the medium is a factor that has a significant impact on the productivity of earthquakes.
Keywords
Full Text
ВВЕДЕНИЕ
Важной характеристикой сейсмического режима является способность землетрясений инициировать повторные толчки, называемая продуктивностью. Количественно продуктивность определяется как число сейсмических событий, возникающих в результате возмущения напряженного состояния, вызванного другим более ранним событием. Фактически продуктивность определяет увеличение уровня сейсмичности после каждого землетрясения.
В первых стохастических моделях сейсмичности число инициированных событий рассматривалось как случайная величина, подчиняющаяся распределению Пуассона [Kagan, Knopoff, 1981; Ogata, 1989; Helmstetter, Sornette, 2002]. На этом же предположении основана популярная модель эпидемиологического типа ETAS [Ogata, 1989; Ogata, Zhuang, 2006], в которой дополнительно предполагается, что каждое землетрясение с магнитудой m инициирует постоянное число землетрясений. Это предположение было поставлено под сомнение в рабoте [Marsan, Helmstetter, 2017], где было показано, что это число может варьироваться на 2 порядка и более.
Недавние исследования [Shebalin et al., 2020; 2022; Baranov et al., 2022] показали, что число событий с магнитудой M ≥ Mm – ΔM, инициированных землетрясением с магнитудой Mm, является случайной величиной, подчиняющейся экспоненциальному распределению (закон продуктивности землетрясений). Причем значение единственного параметра экспоненциального распределения при постоянном значении ΔM не зависит от магнитуды события-триггера Mm.
В работах [Shebalin et al., 2020; Baranov et al., 2022] были выявлены региональные различия в значениях продуктивности землетрясений и убывание продуктивности с глубиной. Это позволяет сделать вывод, что продуктивность, подобно другим параметрам сейсмического режима, определяется напряженно-деформированным состоянием и физико-механическими свойствами среды. Тем не менее в настоящее время вопрос о природе закона продуктивности и факторах, влияющих на продуктивность, является открытым. Данная статья является попыткой заполнить этот пробел и выявить еще один фактор, влияющий на продуктивность землетрясений.
Цель работы – выяснить влияет ли обводненность среды на способность землетрясений инициировать повторные толчки. Согласно закону продуктивности, эта способность количественно описывается параметром экспоненциального распределения. Отметим, что такое исследование проводится впервые. Под обводненностью среды в этой статье понимается суммарный водоприток, поступающий на горизонты рудника, где производятся измерения. Эта характеристика фактически эквивалентна инфильтрации, которая характеризует количество воды, проникающее внутрь массива.
В настоящее время вопрос о воздействии обводненности среды на параметры сейсмического режима достаточно хорошо изучен как по данным сейсмологических наблюдений, так и по данным лабораторных экспериментов. Имеются достоверные сведения об усилении сейсмической активности при возрастании обводненности среды, вызванной атмосферными осадками [Hainzl et al., 2006; 2013; Maystrenko et al., 2013; Жукова и др., 2022], колебанием уровня водохранилищ [Talwani, 1997; Smirnov et al., 2022], а также закачкой жидкости в пласты при добыче углеводородов [Zoback, Harjes, 1997; Vorobieva et al., 2020]. Уровень сейсмичности также коррелирует с изменением запасов подземных вод в гидрологическом бассейне [Pintori et al., 2020; Smirnov et al., 2022; Zhang et al., 2022].
Недавнее лабораторное исследование сухих и насыщенных пород флюидами различной вязкости показало корреляцию между поровым давлением в насыщенной породе и акустической эмиссией, вызванной гидроразрывом породы [Kartseva et al., 2022].
Исходя из многочисленных сведений о воздействии обводненности среды на сейсмичность, в том числе и в Хибинском массиве [Жукова и др., 2022], логично предположить, что при увеличении обводненности будет возрастать и продуктивность землетрясений. Проверке этой гипотезы и посвящена данная статья.
РАЙОН ИССЛЕДОВАНИЯ И ИСХОДНЫЕ ДАННЫЕ
Хибинский массив расположен в центре Кольского полуострова и является крупнейшей в мире сложной многофазной щелочной интрузией центрального типа [Arzamastsev et al., 2013]. В юго-западной части массива сосредоточены крупные месторождения апатит-нефелиновых руд (Кукисвумчоррское, Юкспоррское, Апатитовый Цирк и Плато Расвумчорр), разрабатываемые Кировским филиалом АО “Апатит” с конца 1920-х г. и представляющие собой различные части одного и того же апатит-нефелинового тела [Nivin, 2019]. Территория этих месторождения (рис. 1) является районом исследования.
Рис. 1. Эпицентры сейсмических событий с M ≥ 1.5, зарегистрированные на месторождениях Хибинского массива за период 2002–2022 гг. Цифрами показаны месторождения: 1 – Кукисвумчоррское; 2 – Юкспорское (отрабатывает Кировский рудник); 3 – Апатитовый Цирк (Расвумчоррский рудник); 4 – Плато Расвумчорр (до 2014 г. Центральный, в настоящее время – Восточный рудник). Прямоугольником на вставке обозначено местоположение района исследований.
Хибинский массив имеет сложное строение, которое характеризуется высоким уровнем тектонических напряжений, достигающих на глубинах –600– –90 м 40–60 МПа и в некоторых случаях на порядок превышающих гравитационные напряжения, обусловленные весом налегающих пород [Онохин, 1975; Ребецкий и др., 2017]. Здесь и далее глубины отложены от нуля Кронштадтского футштока, соответствующего среднему уровню Балтийского моря, по направлению к центру Земли. Мы используем принятое в сейсмологии направление отсчета глубин, несмотря на то что в горном деле принято использовать высоты (противоположное направление).
В массиве имеется множество кольцевых и радиальных разломов, часть из которых пересекают месторождения [Arzamastsev et al., 2013; Nivin, 2019; Shabarov et al., 2021]. В связи с этим район производственной деятельности рудников является зоной с повышенной сейсмической активностью, изрезанной многочисленными тектоническими нарушениями. Недавние поднятия Хибинского массива со скоростью от 0.5 до 2–4 мм в год и периодические землетрясения [Kremenetskaya, Trjapitsin, 1995] свидетельствуют о современной тектонической эволюции этого района.
При производстве горных работ на протяжении многих десятков лет в Хибинском массиве формируются новые системы трещин и пустоты, которые оказывают в нем непосредственное влияние на перераспределение естественных полей напряжений, что, в свою очередь, приводит блочную структуру массива к дестабилизации. Вследствие технологических и тектонических воздействий созданные зоны разупрочнения постепенно способствуют процессам разрушения (отдельных участков) массива, а в целом приводит к активизации сейсмичности [Kozyrev et al., 2022]. Таким образом, сейсмичность Хибинского массива является результатом совместного влияния тектонической и горнодобывающей активности.
В исследовании использован каталог сейсмических событий, зарегистрированных сетью сейсмического мониторинга КФ АО “Апатит” [Корчак и др., 2014] за период с 2002 по 2022 гг. (рис. 1). В настоящее время сеть состоит из более чем 60-ти 3-х компонентных сейсмических датчиков, расположенных на Кировском и Расвумчоррском рудниках (рис. 2), с частотой дискретизации входных сигналов 1000 Гц. При обработке сейсмических событий рассчитывается их энергия. В статье пересчет энергии в магнитуду выполнялся по формуле Т.Г. Раутиан [1960] lgE (Дж) = 1.8M + 4.
Рис. 2. Местоположение сейсмических датчиков (1) и пунктов замера водопритоков (2). Римскими цифрами показаны территории Кировского (I) и Расвумчоррского (II) рудников. Прямоугольником на вставке обозначено местоположение района исследований.
Сеть позволяет определять гипоцентры сейсмических событий с магнитудой M ≥ –0.5 (энергией E ≥ 103 Дж) с точностью до 25 м в зоне повышенной точности и до 100 м в районе уверенной регистрации сети. Начиная с 1996 г., магнитуда представительной регистрации сейсмических событий Mc = 0 [Баранов и др., 2020].
Данные о водопритоках на месторождениях Хибинского массива за 2002–2022 гг. были предоставлены геологической службой КФ АО “Апатит”. Замеры водопритока проводятся на подземных рудниках раз в сутки в водосборниках, расположенных на откаточных горизонтах. Обводнение горных выработок и буровых скважин горизонтов происходит за счет инфильтрации атмосферных осадков. Обводнение карьера Центральный происходит за счет атмосферных осадков, сезонных вод и подземных вод основного водоносного горизонта кристаллических пород. Замеры объемов водопротоков в нем осуществляются в рудоспусках в специальных водоотливных канавках два раза в сутки.
Местоположение пунктов замера водопритоков показано на рис. 2. Глубины, на которых производятся измерения водопритоков (табл. 1), сопоставимы с глубинами землетрясений (средняя глубина представительных сейсмических событий около –450 м, 95% имеет глубины от –725 до –100 м).
Таблица 1.
Широта | Долгота | Глубина (м) |
Кировский рудник | ||
67.6616 | 33.7349 | –320 |
67.6701 | 33.7187 | –90 |
67.6696 | 33.7247 | –170 |
67.6609 | 33.7330 | –170 |
67.6616 | 33.7349 | –252 |
Расвумчоррский рудник | ||
67.6368 | 33.8263 | –310 |
67.6392 | 33.8357 | –425 |
67.6323 | 33.8759 | –530 |
67.6287 | 33.8690 | –430 |
67.6278 | 33.8716 | –430 |
Примечание: Координаты и глубины (м) пунктов, на которых осуществляется забор водопритоков (отрицательные значения соответствуют глубинам выше среднего уровня Балтийского моря, принятого за нулевую отметку).
Исследуемый район (рис. 1) расположен в бассейне озера Большой Вудъявр, в наиболее высокогорной и дренированной юго-западной части массива. Водные условия бассейна характеризуются высокими показателями стока, неустойчивым, сезонно изменяющимся расходным режимом вод, близким взаимным расположением областей питания (система рек Юкспорйок, Вудъяврйок, их притоки). Основную роль в обводнении месторождений играет водоносный комплекс коренных пород, в которых водопроводящими являются разломные структуры. Наибольшей обводненностью обладают зоны разломов, заполненные окисленными, раздробленными горными породами, мощность которых колеблется от 2 до 30 м. Источником пополнения запасов подземных вод служат атмосферные осадки [Труды…, 1965].
Таким образом, есть основания считать, что колебания водопритока могут иметь разные значения, однако важные для качественного анализа закономерности их поведения одинаковы для всего района исследований (рис. 3). Неустойчивый и сезонный характер водопритока в районе исследований позволит понять имеется ли зависимость продуктивности землетрясений от обводненности среды массива.
Рис. 3. Среднемесячные вариации водопритока (м3/сут) в зоне Кировского (а) и Расвумчоррского (б) рудников.
МЕТОДИКА ИССЛЕДОВАНИЯ
Выделение событий триггеров и инициированных ими толчков выполнялось методом ближайшего соседа [Zaliapin, Ben-Zion, 2013; 2016], основанным на использовании функции близости в области пространства–времени–магнитуды [Baiesi, Paczuski, 2004], зависящей от параметров сейсмического режима:
(1)
где: tij = tj − ti – время между событиями, которое положительно, если событие j происходит после события i и отрицательно в противном случае; rij ≥ 0 – пространственное расстояние между гипоцентрами событий; Mi – магнитуда i-го события; b – параметр закона Гутенберга–Рихтера [Gutenberg, Richter, 1956]; df – фрактальная размерность распределения гипоцентров. Авторы работы [Писаренко, Родкин, 2019] показали, что эффективность метода ближайшего соседа для декластеризации каталога выше, чем оконных методов.
Для каждого события в каталоге его триггер определяется по минимальному значению функции близости (1), рассчитанному по всем предшествующим событиям относительно рассматриваемого. Если это значение меньше заданного порога η0, то считается, что рассматриваемое событие было инициировано событием-триггером, на котором достигается минимум функции (1). В противном случае связь разрывается, и оказывается, что данное событие является фоновым (не имеет триггера). Событие-триггер может инициировать несколько событий, в то время как событие может быть инициировано только одним триггером. Продуктивностью в этой схеме называется число инициированных событий.
Имеются различные способы определения порога η0 (подробнее см. работы [Zaliapin, Ben-Zion, 2016; Bayliss et al., 2019; Shebalin et al., 2020]), выработанные для декластеризации каталогов тектонических землетрясений. В случае природно-техногенной сейсмичности для выбора порога η0 лучше использовать модельно-независимый метод [Shebalin et al., 2020; Баранов и др., 2020].
Метод ближайшего соседа позволяет разделить каталог землетрясений на две части. Одна часть представляет собой фоновую сейсмичность, другая – кластеризованную (события, инициированные более ранними землетрясениями). Применение этого метода к природно-техногенной сейсмичности Хибинского массива подробно рассмотрено в работе [Баранов и др., 2020], где были получены следующие оценки параметров сейсмического режима: b = 1.25, df = 1.5. Там же было подтверждено выполнение закона продуктивности землетрясений для природно-техногенной сейсмичности Хибинского массива. Согласно этому закону, продуктивность подчиняется экспоненциальному распределению с плотностью
(2)
где оценкой параметра ΛΔM (фактор кластеризации) является среднее число событий с магнитудой M ≥ Mm – ΔM, инициированных землетрясениями-триггерами с магнитудой Mm. В работе [Баранов и др., 2020], была получена оценка Λ1.5 = 2.7 при Mm ≥ 1.5 и ΔM = 1.5.
В настоящей работе мы будем оценивать параметр распределения продуктивности Λ1.5 (2) при различном уровне водопритока для того, чтобы выяснить влияет ли обводненность среды на способность землетрясений инициировать повторные толчки. Для оценки этого параметра мы для каждого землетрясения с магнитудой Mm ≥ 1.5 будем рассматривать все инициированные им события с магнитудой M ≥ Mm – ΔM при ΔM = 1.5.
РЕЗУЛЬТАТЫ
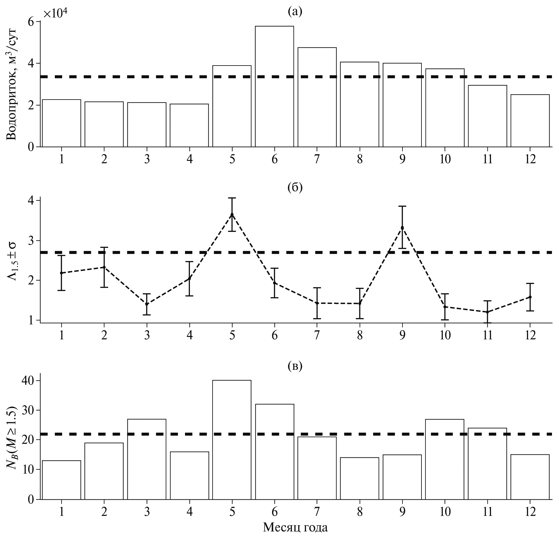
На рис. 4 показаны среднемесячные вариации значений водопритока (м3/сут) и продуктивности на месторождениях Хибинского массива за 2002–2022 гг. Период повышенной обводненности (водоприток выше среднего значения) приходится на май–октябрь (рис. 3, рис. 4а), в то время как с ноября по апрель наблюдается низкая обводненность. Рост обводненности в мае, июне вызван интенсивным таянием накопившегося за зиму снега. С июля по октябрь повышенный уровень обводненности массива поддерживается за счет атмосферных осадков. Примерно со второй половины октября температура воздуха в Хибинах становится отрицательной и обводненность массива начинает снижаться.
Рис. 4. Среднемесячные вариации уровня обводненности среды и значений продуктивности землетрясений на месторождениях Хибинского массива: (а) – средний водоприток (м3/сут), пунктирная прямая показывает среднее значение; (б) – значение параметра распределения продуктивности Λ1.5 ± σ (стандартная ошибка), пунктирная прямая показывает значение Λ1.5 = 2.7, оцененное по всем данным [Баранов и др., 2020]; (в) – число фоновых землетрясений (NB) с M ≥ 1.5, пунктирная прямая показывает среднегодовое значение (21.9).
Сопоставляя сезонные вариации уровня водопритока (рис. 4а) и продуктивности Λ1.5 (рис. 4б), можно констатировать, что с ростом водопритока в мае наблюдается рост продуктивности землетрясений, сопровождаемый увеличением числа фоновых событий с M ≥ 1.5 (рис. 4в). Затем в июне продуктивность спадает, а обводненность массива продолжает расти. Увеличение обводненности массива горных пород в мае, вызванное интенсивным снеготаянием, приводит к перераспределению накопившихся за период низкой обводненности тектонических напряжений, вызывая как рост сейсмической активности [Жукова и др., 2022], так и рост продуктивности землетрясений. Таким образом, в мае массив горных пород переходит в стадию высокой обводненности (рис. 4а) и высокой продуктивности (рис. 4б). Так как в мае массив разгрузился за счет активизации сейсмичности, то далее в остальные месяцы наблюдается спад продуктивности и спад фоновой сейсмической активности (рис. 4в, [Zhukova et al., 2023]) при том, что стадия повышенной обводненности массива продолжается.
В сентябре снова отмечается возрастание продуктивности землетрясений и некоторое увеличение количества фоновых событий с M ≥ 1.5 (рис. 4в). Мы не можем связать возрастание продуктивности в сентябре с каким-то резким изменением обводненности среды, поскольку в июле–октябре значения водопритока практически не меняются. Отметим, что смещение второго пика сейсмической активности (рис. 4в) относительно максимума обводненности примерно на 3 месяца отмечается в исследованиях сейсмичности водохранилищ (см., например, [Смирнов, Пономарев, 2019]) и обусловлено задержкой проникновения воды на глубину сейсмогенерации. Однако в данном случае глубины анализируемых событий и глубины, где измеряются водопритоки (табл. 1), близки. Кроме того, значимого изменения глубины зарегистрированных событий в сентябре по сравнению, например, с маем не наблюдается (рис. 5), а средняя глубина инициированных толчков в сентябре даже несколько возрастает (рис. 5б).
Рис. 5. Месячные вариации средних значений глубин (м) и их стандартных отклонений (σ) землетрясений-триггеров (а) и инициированных ими событий (б). Глубина отсчитывается от среднего уровня Балтийского моря, принятого за нулевую отметку, по направлению к центру Земли.
Вероятно, возрастание продуктивности в сентябре вызвано перераспределением напряжений, накопившихся при ведении горных работ в период повышенной обводненности массива. В любом случае если сброс накопленных напряжений происходит в период высокой обводненности массива, то он сопровождается землетрясениями с большей продуктивностью (большим количеством инициированных толчков).
Для того чтобы яснее показать влияние обводненности на продуктивность землетрясений, мы оценили значения параметра распределения (2) Λ1.5 в мае, сентябре и в остальные месяцы года (рис. 6). Получились следующие оценки: в мае, сентябре Λ1.5 ± σ = 2.05 ± 0.14 (σ – стандартная ошибка); в остальные месяцы Λ1.5 ± σ = 3.87 ± 0.38. Таким образом, обнаруженное увеличение продуктивности землетрясений на месторождениях Хибин в мае и сентябре по сравнению с остальными месяцами года является значимым (отличия значений параметра Λ1.5 составляют более 3σ).
Рис. 6. Распределения продуктивности землетрясений на месторождениях Хибинского массива мае, сентябре (б) и в остальные месяцы года (а): кружки – фактические данные; сплошная линия – плотность экспоненциального распределения; (в) – распределения ошибок оценок параметров Λ1.5, полученные бутстрэп методом: сплошные вертикальные черные линии – значения продуктивности Λ1.5 для соответствующих периодов; пунктирные черные прямые – значение продуктивности Λ1.5 ± σ для соответствующих периодов.
Мы также оценили значение продуктивности в периоды низкой (месяцы 1–4, 10–12) и высокой (месяцы 5–9) обводненности среды в районе исследований (рис. 7). Получились следующие значения: месяцы 1–4, 6–12, Λ1.5 = 2.1 ± 0.17; месяцы 5–9, Λ1.5 ± σ = 3.1 ± 0.25. Несмотря на то, что распределения ошибок оценок параметров Λ1.5 пересекаются (рис. 7в), 95% доверительные интервалы различны (месяцы 1–4, 6–12, 1.80 < Λ1.5 < 2.46; месяцы 5–9, 2.59 < Λ1.5 < 3.59). Таким образом, несмотря на снижение продуктивности в июне–сентябре (рис. 4), общая продуктивность при высокой обводненности в мае–сентябре остается выше, чем в остальные месяцы.
Рис. 7. Распределения продуктивности землетрясений на месторождениях Хибинского массива мае–сентябре (б) и в остальные месяцы года (а): кружки – фактические данные; сплошная линия – плотность экспоненциального распределения; (в) – распределения ошибок оценок параметров Λ1.5, полученные бутстрэп методом: сплошные вертикальные черные линии – значения продуктивности Λ1.5 для соответствующих периодов; пунктирные черные прямые – значение продуктивности Λ1.5 ± σ для соответствующих периодов.
ОБСУЖДЕНИЕ РЕЗУЛЬТАТОВ
Основным результатом данной статьи является обнаруженное увеличение продуктивности землетрясений в Хибинском массиве при высокой обводненности с мая по сентябрь. Прежде чем обсуждать этот результат, необходимо пояснить как вода проникает в массив твердых скальных пород, который характеризуется пониженной водонасыщенностью. Беспрепятственному проникновению атмосферных вод вглубь Хибинского массива способствуют проводимые в Хибинах с конца 1920-х годов горные работы, которые изменили рельеф поверхностной части горного массива и вскрыли многие тектонические нарушения [Козырев и др., 2021]. Спецификой месторождений Хибинского массива, помимо высокого уровня горизонтальных тектонических напряжений и хрупких высокопрочных пород, является наличие разломных структур, заполненных в основном окисленными раздробленными породами [Онохин, 1975; Ребецкий и др., 2017]. Такие рыхлые породы в период снеготаяния и дождей фактически представляют собой влагонасыщенный заполнитель, значительно снижающий прочностные характеристики горных пород в целом, что создает условия для реализации природно-техногенных землетрясений [Fedotova et al., 2004].
При обсуждении результатов статьи необходимо отметить, что экспоненциальное распределение числа инициированных событий (закон продуктивности землетрясений) подтверждается как по глобальным (каталог ANSS), так и по региональным (каталоги сейсмоопасных регионов мира) данным [Shebalin et al., 2020; 2022] для различных глубин и диапазонов магнитуд. Так, в работе [Shebalin et al., 2022] по данным каталога Японского метеорологического агентства (JMA) было показано выполнение закона продуктивности для больших диапазонов магнитуд (магнитуды основных толчков Mm ≥ 6, магнитуды афтершоков M ≥ Mm – 5). В работе [Баранов и др., 2020] было показано, что закон продуктивности также выполняется и для природно-техногенной сейсмичности Хибинского массива независимо от глубин и магнитуд событий. Более того, в работе [Baranov et al., 2020] на примере Хибинского массива было показано, что распределение числа событий, инициированных взрывами, также описывается законом продуктивности. Выполнение закона продуктивности было показано и по данным лабораторных экспериментов по разрушению горных пород [Маточкина, 2023].
Несмотря на многочисленные подтверждения закона продуктивности по лабораторным и натурным данным, полученным для различных типов сейсмичности, вопрос о его природе и факторах, определяющих значение параметра ΛΔM, пока остается открытым. Поэтому объяснение механизма воздействия обводненности среды на продуктивность землетрясений в настоящее время затруднено. Тем не менее мы можем констатировать, что возрастание уровня обводненности среды изменяет напряженно-деформированное состояние массива с разломными структурами и приводит к увеличению реакции среды на возмущения из-за снижения трения между бортами разломов и трещин за счет увеличении порового давления и эффекта “смазки”. Этот процесс проявляется в росте сейсмической активности и увеличении продуктивности сейсмических событий.
Предшествующие исследования показали [Shebalin et al., 2020; Baranov et al., 2022], что значение ΛΔM имеет региональные отличия, а также убывает с ростом глубины событий. В настоящей работе мы обнаружили, что обводненность среды – это еще один фактор, влияющий на продуктивность землетрясений.
ЗАКЛЮЧЕНИЕ
По данным многолетних сейсмологических наблюдений и мониторинга водопритоков, проводимых на месторождениях Хибинского массива, было установлено, что обводненность среды является фактором, влияющим на продуктивность землетрясений (среднее число событий, инициированных более ранним землетрясением). В частности, показано, что продуктивность землетрясений значимо возрастает при резком росте обводненности среды в мае (из-за таяния накопившегося за зиму снега). Рост обводненности в мае вызывает изменение напряженно-деформированного состояния массива горных пород и инициирует перераспределение напряжений, накопившихся в предыдущие месяцы, что проявляется в увеличении сейсмической активности и продуктивности землетрясений. Затем после сброса напряжений продуктивность землетрясений снижается до уровня, наблюдаемого с ноября по апрель при низкой обводненности массива. Следует отметить, что значимый рост продуктивности землетрясений приходится и на сентябрь. Мы не можем связать этот рост с каким-то существенным изменением водопритока. Скорее всего он связан с тем, что накопленные за июнь–август напряжения перераспределяются при высокой обводненности массива в сентябре.
Формализованное объяснение механизма воздействия обводненности среды на продуктивность землетрясений в настоящее время затруднено, поскольку открытым является вопрос о природе закона продуктивности и факторов, влияющих на значение его параметра. Тем не менее мы может утверждать, что возрастание уровня обводненности массива горных пород приводит к увеличению реакции среды на возмущения из-за снижения трения между бортами разломов и трещин за счет увеличении порового давления и эффекта “смазки”. Этот процесс проявляется в росте сейсмической активности и увеличении продуктивности сейсмических событий.
БЛАГОДАРНОСТИ
Авторы благодарны рецензентам за высказанные замечания и рекомендации, которые помогли улучшить статью.
ФИНАНСИРОВАНИЕ РАБОТЫ
Исследование выполнено за счет гранта Российского научного фонда (проект № 22-27-20125).
About the authors
A. Yu. Motorin
Kola Branch, Geophysical Survey, Russian Academy of Sciences; Kirovsk Branch, AO Apatit
Author for correspondence.
Email: ayumotorin@gmail.com
Russian Federation, Apatity; Kirovsk
S. A. Zhukova
Kola Branch, Geophysical Survey, Russian Academy of Sciences; Mining Institute, Kola Science Center, Russian Academy of Sciences
Email: svetlana.zhukowa@yandex.ru
Russian Federation, Apatity; Apatity
S. V. Baranov
Kola Branch, Geophysical Survey, Russian Academy of Sciences
Email: bars.vl@gmail.com
Russian Federation, Apatity
P. N. Shebalin
Institute of Earthquake Prediction Theory and Mathematical Geophysics, Russian Academy of Sciences
Email: p.n.shebalin@gmail.com
Russian Federation, Moscow
References
- Баранов С.В., Жукова С.А., Корчак П.А., Шебалин П.Н. Продуктивность техногенной сейсмичности // Физика Земли. 2020. № 3. С. 40–51. DOI: https://doi.org/10.31857/S0002333720030011
- Жукова С.А., Журавлева О.Г., Онуприенко В.С., Стрешнев А.А. Особенности сейсмического режима массива горных пород при отработке удароопасных месторождений Хибинского массива // Горный информационно-аналитический бюллетень (научно-технический журнал). 2022. № 7. С. 5–17. DOI: https://doi.org/10.25018/0236_1493_2022_7_0_5
- Козырев А.А., Батугин А.С., Жукова С.А. О влиянии обводненности массива на его сейсмическую активность при разработке апатитовых месторождений Хибин // Горный журнал. 2021. C. 31–36. doi: 10.17580/gzh.2021.01.06
- Корчак П.А., Жукова С.А., Меньшиков П.Ю. Становление и развитие системы мониторинга сейсмических процессов в зоне производственной деятельности АО “Апатит” // Горный журнал. 2014. № 10. С. 42–46.
- Маточкина С.Д. Закономерности пространственно-временного группирования событий акустической эмиссии в лабораторных экспериментах по разрушению горных пород. Бакалаврская работа. М.: МГУ им. М.В.Ломоносова, физический факультет, кафедра Физики Земли. 2023. 37 с.
- Онохин Ф.М. Особенности структур Хибинского массива и апатито-нефелиновых месторождений. Л.: Наука. 1975. 105 с.
- Писаренко В.Ф., Родкин М.В. Декластеризация потока сейсмических событий, статистический анализ // Физика Земли. 2019. № 5. С. 38–52. doi: 10.31857/S0002-33372019538-52
- Раутиан Т.Г. Энергия землетрясений. Методы детального изучения сейсмичности. М.: изд-во АН СССР. 1960. С. 75–114. (Тр. ИФЗ АН СССР. № 9(176)).
- Ребецкий Ю.Л., Сим Л.А., Козырев А.А. О возможном механизме генерации избыточного горизонтального сжатия рудных узлов Кольского полуострова (Хибины, Ловозеро, Ковдор) // Геология рудных месторождений. 2017. T. 59. № 4. С. 263–280. doi: 10.7868/S0016777017040049
- Смирнов В.Б., Пономарев А.В. Физика переходных режимов сейсмичности. М.: РАН. 2020. 412 с.
- Труды Государственного научно-исследовательского института горнохимического сырья, выпуск 10, Хибинские апатитовые месторождения. Вопросы структуры, гидрогеологии и методики разведки / Б.М. Гиммельфарб, Г.М. Вировлянский, А.А. Шугин (ред.). М.: Недра. 1965. 315 с.
- Arzamastsev A.A., Arzamastseva L.V., Zhirova A.M., & Glaznev V.N. Model of formation of the Khibiny-Lovozero ore-bearing volcanic-plutonic complex // Geology of Ore Deposits. 2013. V. 55. P. 341–356. doi: 10.1134/S1075701513050024
- Baiesi M., Paczuski M. Scale-free networks of earthquakes and aftershocks // Phys. Rev. E. 2004. V. 69 (6). P. 066106-1–066106-8. doi: 10.1103/PhysRevE.69.066106
- Baranov S.V., Narteau C., Shebalin P.N. Modeling and Prediction of Aftershock Activity // Surveys in Geophysics. 2022. V. 43. P. 437–48. doi: 10.1007/s10712-022-09698-0
- Baranov S.V., Zhukova S.A., Korchak P.A., Shebalin P.N. Seismic productivity of blasts: A case-study of the khibiny massif // Eurasian Mining 2020. № 2. P. 14–18. doi: 10.17580/em.2020.02.04
- Bayliss K., Naylor M., Main I.G. Probabilistic identification of earthquake clusters using rescaled nearest neighbor distance networks. // Geophysical Journal International. 2019. V. 217 (1). P. 487–503. DOI: https://doi.org/10.1093/gji/ggz034
- Fedotova Iu.V., Kozyrev A.A., Yunga S.L. Mine-induced seismicity in the central part Kola Peninsula in Russia. Contribution of Rock Mechanics to the New Century. Proceedings of the ISRM International Symposium: Third Asian Rock Mechanics Symposium, Kyoto, Japan. November 30 – December 2, 2004. Millpress. Roterdam. Netherlands. V. 1. P. 495–500.
- Gutenberg B., Richter C.F. Frequency of earthquakes in California // Bull. Seismol. Soc. Am. 1944. V. 34. P. 185–188.
- Hainzl S., Ben-Zion Y., Cattania C., Wassermann J. Testing atmospheric and tidal earthquake triggering at Mt. Hochstaufen, Germany // J. Geophys. Res. Solid Earth. 2013. V. 118. P. 5442–5452. doi: 10.1002/jgrb.50387
- Helmstetter A., Sornette D. Subcritical and supercritical regimes in epidemic models of earthquake aftershocks // Journal of Geophysical Research: Solid Earth. 2002. V. 107. ESE–10. doi: 10.1029/2001JB001580
- Kagan Y.Y., Knopoff L. Stochastic synthesis of earthquake catalogs // J. Geophys. Res. 1981. V. 86. P. 2853–2862.
- Kartseva T.I, Smirnov V.B., Patonin A.V., Sergeev D.S., Shikhova N.M., Ponomarev A.V., Stroganova S.M., Mikhailov V.O. Initiation of rock fracture by fluids of different viscosities // Izvestiya Physics of the Solid Earth. 2022. V. 58. № 4. P. 576-90. doi: 10.1134/S106935132204005X
- Kozyrev A.A., Semenova I.E., Zhukova S.A., Zhuravleva O.G. Factors of seismic behavior change and localization of hazardous zones under a large-scale mining-induced impact // Russian Mining Industry. 2022. V. (6). P. 95–102. doi: 10.30686/1609-9192-2022-6-95-102
- Kremenetskaya E.O., Trjapitsin V.M. Induced Seismicity in the Khibiny Massif (Kola Peninsula) // Pure and Applied Geophysics. 1995. V. 145. P. 29–37. doi: 10.1007/BF00879481
- Marsan D., Helmstetter A. How variable is the number of triggered aftershocks? // J.Geophys. Res. Solid Earth. 2017. V. 122. P. 5544–5560. doi: 10.1002/2016JB013807
- Maystrenko Y.P., Brönner M., Olesen O., Saloranta T.M., Slagstad T. Atmospheric precipitation and anomalous upper mantle in relation to intraplate seismicity in Norway // Tectonics. 2020. V. 39. P. e2020TC006070. https://doi.org/10.1029/2020TC006070
- Nivin V.A. Occurrence Forms, Composition, Distribution, Origin and Potential Hazard of Natural Hydrogen-Hydrocarbon Gases in Ore Deposits of the Khibiny and Lovozero Massifs: A Review // Minerals. 2019. V. 9. P. 31. doi: 10.3390/min9090535
- Ogata Y. Statistical models for standard seismicity and detection of anomalies by residual analysis // Tectonophysics. 1989. V. 169. P. 159–174. doi: 10.1016/0040-1951(89)90191-1
- Ogata Y., Zhuang J. Space–time ETAS models and an improved extension // Tectonophysics. 2006. V. 413. Is. 1–2. P. 13–23. doi: 10.1016/j.tecto.2005.10.016
- Pintori F., Serpelloni E., Longuevergne L., Garcia A., Faenza L., D’Alberto L. et al. Mechanical response of shallow crust to groundwater storage variations: Inferences from deformation and seismic observations in the eastern Southern Alps, Italy // Journal of Geophysical Research: Solid Earth. 2021. V. 126. P. e2020JB020586. DOI: https://doi.org/10.1029/2020JB020586
- Shabarov A.N., Kuranov A.D. Kiselev V.A. Assessing the zones of tectonic fault influence on dynamic rock pressure manifestation at Khibiny deposits of apatite-nepheline ores // Eurasian Mining. 2021. V. 36(2). P. 3–7. doi: 10.17580/em.2021.02.01
- Shebalin P., Baranov S., Vorobieva I. Earthquake Productivity Law in a Wide Magnitude Range // Frontiers in Earth Science. 2022. V. 10. P. 881425. doi: 10.3389/feart.2022.881425
- Shebalin P.N., Narteau C., Baranov S.V. Earthquake Productivity Law // Geophysical Journal International. 2020 V. 222. P. 1264–1269. DOI: https://doi.org/10.1093/gji/ggaa252.
- Smirnov V., Potanina M., Kartseva, T., Ponomarev A., Patonin A., Mikhailov V., Sergeev D. Seasonal Variations in the b-Value of the Reservoir-Triggered Seismicity in the Koyna–Warna Region, Western India // Izv., Phys. Solid Earth. 2022 V. 58. P. 364–378. doi: 10.1134/S1069351322030077
- Talwani P. On the nature of reservoir-induced seismicity // Pure Appl. Geophys. 1997. V. 150. P. 473–492.
- Vorobieva I., Shebalin P., Narteau C. Condition of occurrence of large man-made earthquakes in the zone of oil production, Oklahoma // Izv., Phys. Solid Earth. 2020 V. 56. P. 911–919. doi: 10.1134/S1069351320060130
- Zaliapin I., Ben-Zion Y. Earthquake clusters in southern California I: identification and stability // J. Geophys. Res. 2013. V. 118. P. 2847–2864.
- Zaliapin I., Ben-Zion Y. A global classification and characterization of earthquake clusters // Geophys. J. Int. 2016. V. 207. P. 608–634. doi: 10.1093/gji/ggw300
- Zhang L., Liao W., Chen Z., Li J., Yao Y., Tong G., Zhao Y., Zhou Z. Variations in seismic parameters for the earthquakes during loading and unloading periods in the Three Gorges Reservoir area // Sci. Rep. 2022. V. 12, 11211. doi: 10.1038/s41598-022-15362-9
- Zhukova S., Motorin A., Baranov S. Influence of Watering of Khibiny Mountains on the Earthquake-Size Distribution / Kosterov A., Lyskova E., Mironova I., Apatenkov S., Baranov S. (eds.) Problems of Geocosmos–2022. ICS 2022. Springer Proceedings in Earth and Environmental Sciences. Springer, Cham. 2023. doi: 10.1007/978-3-031-40728-4_12
- Zoback M.D., Harjes H.-P. Injection-induced earthquakes and crustal stress at 9 km depth at the KTB deep drilling site, Germany // J. Geophys. Res. 1997. V. 102. P. 18477–18492. doi: https://doi.org/10.1029/96JB02814
Supplementary files









