Rupture Directivity Effects of Large Seismic Sources, Case of February 6, 2023 Catastrophic Earthquakes in Turkey
- Authors: Pavlenko O.V.1, Pavlenko V.A.1
-
Affiliations:
- Schmidt Institute of Physics of the Earth, Russian Academy of Sciences
- Issue: No 6 (2023)
- Pages: 103-121
- Section: Articles
- URL: https://bakhtiniada.ru/0002-3337/article/view/249487
- DOI: https://doi.org/10.31857/S0002333723060145
- EDN: https://elibrary.ru/LYNPBR
- ID: 249487
Cite item
Full Text
Abstract
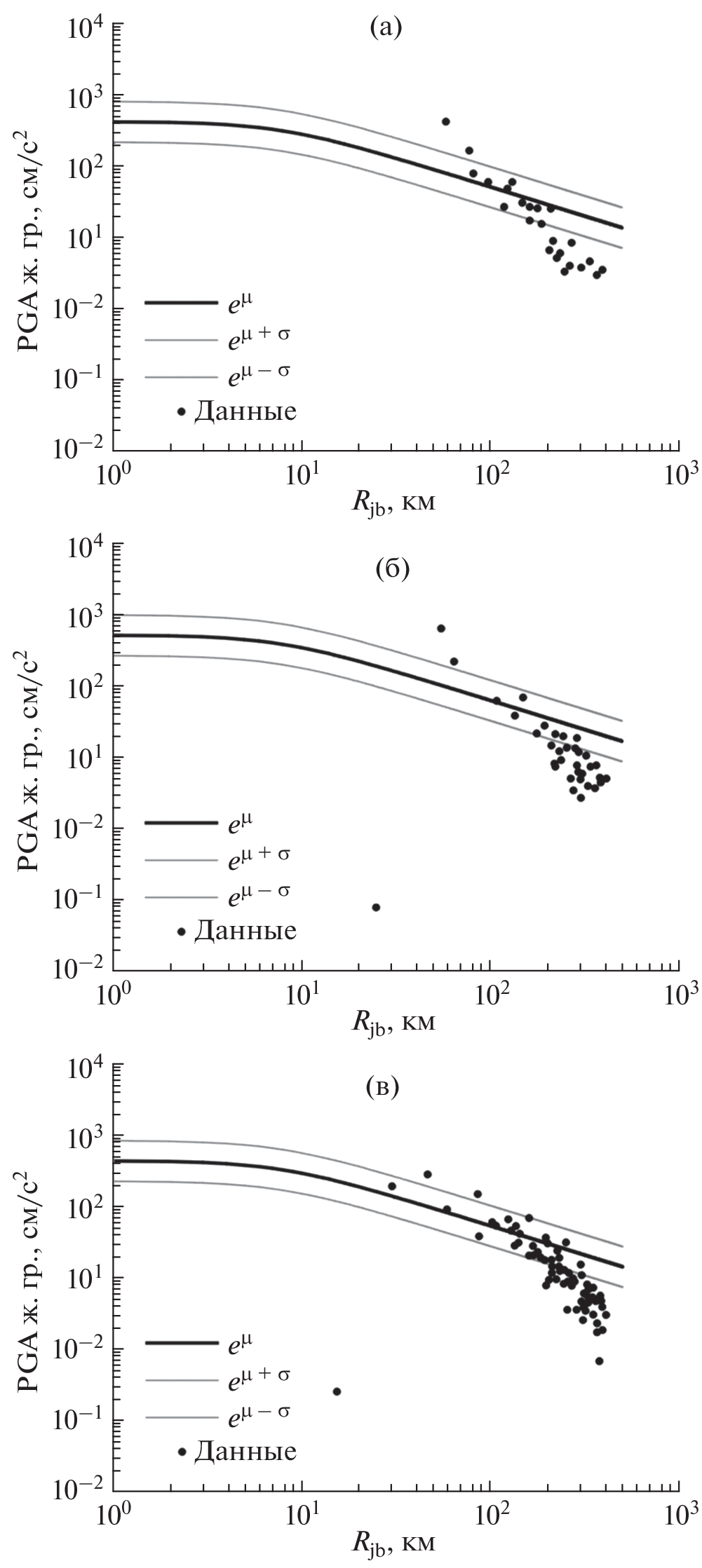
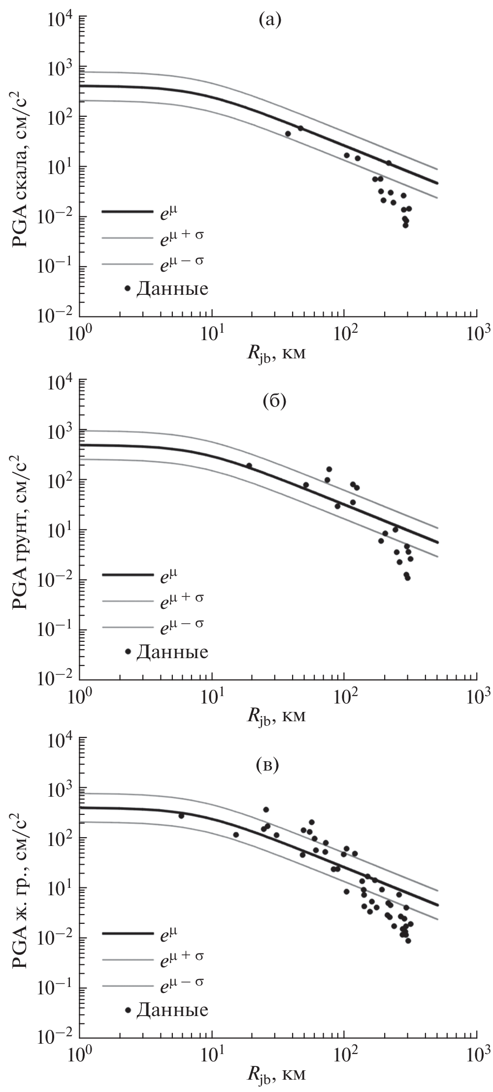
Abstract—An overview of the results obtained by foreign seismologists based on the records of Turkish seismic networks AFAD (State Agency for Disaster Management under the Ministry of Internal Affairs) is presented. The sequence of earthquakes began with the M7.8 main shock and includes thousands of aftershocks. The strongest events occurred in the first twelve hours, with the sources of two M7.0+ events located 100 km apart. Earthquakes have caused ground motions that are destructive to structures, the so-called “pulse-like waveforms”, and epicentral distances, as was previously noted, are not a good indicator of attenuation of waves from earthquakes with extended ruptures. The records of stations in the near-fault zones clearly revealed the directivity effects of seismic radiation. The M7.8 earthquake (main shock) was larger than expected in the current tectonic setting. The near-field records traced an early transition to the super-shear (~1.55Vs) rupture propagation on the Narli lateral fault, where the rupture originated and then passed into the East Anatolian fault. The early transition to the super-shear stage obviously contributed to the further propagation of the rupture and the initiation of slips on the East Anatolian fault. A dynamic fracture model has been constructed that matches the various results of inversions obtained by different authors and reveals spatially inhomogeneous rupture propagation velocities. Super-shear velocities exceeding the shear wave velocity Vs are observed along the Narli lateral fault and at the southwestern end of the East Anatolian fault. Since the late 1990s, seismologists have been working on incorporating the rupture directivity effects of extended sources into the probabilistic seismic hazard analysis procedures, but no consensus has been reached so far, and progress in this area can only be expected with the accumulation of a sufficient amount of observational data.
About the authors
O. V. Pavlenko
Schmidt Institute of Physics of the Earth, Russian Academy of Sciences
Author for correspondence.
Email: olga@ifz.ru
Russia, Moscow
V. A. Pavlenko
Schmidt Institute of Physics of the Earth, Russian Academy of Sciences
Author for correspondence.
Email: pavlenko.vasily@gmail.com
Russia, Moscow
References
- Abrahamson N.A. Seismological aspects of near-fault ground motions. Proc. of the 5th Caltrans Seismic Research Workshop. California Department of Transportation. 1998.
- Abrahamson N.A. Effects of rupture directivity on probabilistic seismic hazard analysis. Proc. of the EERI 6th Seismic Zonation Workshop. Palm Springs. California. 2000. 6 p.
- Acarel D., Cambaz M.D., Turhan F., Mutlu A.K., Polat R. Seismotectonics of Malatya Fault, Eastern Turkey // Open Geosciences 2019. V. 11. № 1. P. 1098–1111.
- Akkar S., Yazgan U., Gulkan P. Drift estimates in frame buildings subjected to near-fault ground motions // J. Struct. Eng. 2005. V. 131. № 7. P. 1014–1024.
- Alavi B., Krawinkler H. Effects of near-fault ground motions on frame structures. Technical Report Blume Center Report. 2001. V. 138. 301 p.
- Anderson J.C., Bertero V. Uncertainties in establishing design earthquakes // J. Struct. Eng. 1987. V. 113. № 8. P. 1709–1724.
- Andrews D.J. Rupture velocity of plane strain shear cracks // J. Geophys. Res. 1976. V. 81. P. 5679–5687.
- Applied Technology Council. Improved seismic design criteria for California bridges: provisional recommendations. Report № ATC-32. Redwood City, California. 1996.
- Baez J.I., Miranda E. Amplification Factors to Estimate Inelastic Displacement Demands for the Design of Structures in the Near Field. Proc. of 12th World Conference on Earthquake Engineering. 2000.
- Baker J.W. Quantitative classification of near-fault ground motions using wavelet analysis // Bull. Seismol. Soc. Am. 2007. V. 97. № 5. P. 1486–1501. https://doi.org/10.1785/0120060255
- Baltzopoulos G., Luzi L., Iervolino I. Analysis of Near-Source Ground Motion from the 2019 Ridgecrest Earthquake Sequence // Bull. Seismol. Soc. Am. 2020. V. 110. № 4. P. 1495–1505. https://doi.org/10.1785/0120200038
- Baltzopoulos G., Baraschino R., Chioccarelli E., Cito P., Iervolino I. Preliminary engineering report on ground motion data of the Feb. 2023. Turkey seismic sequence. V1.0. 2023.
- Bertero V., Mahin S., Herrera R. Problems in prescribing reliable design earthquakes. Proc. 6th World Conference on Earthquake Engineering. 1977. V. 2. P. 1741–1746.
- Bertero V., Mahin S., Herrera R. Aseismic design implications of near-fault San Fernando earthquake records // Earthq. Eng. Struct. Dynam. 1978. V. 6. № 1. P. 31–42.
- Bhat H.S., Dmowska R., Rice J.R., Kame N. Dynamic slip transfer from the Denali to Totschunda faults, Alaska: Testing theory for fault branching // Bull. Seismol. Soc. Am. 2004. V. 94. № 6B. P. S202-S213. https://doi.org/10.1785/0120040601
- Bommer J., Akkar S., Drouet S. Extending ground-motion prediction equations for spectral accelerations to higher response frequencies // Bull. Earthq. Eng. 2012. V. 10. № 2. P. 379–399
- Bouchon M., Bouin M-P., Karabulut H., Toksöz M.N., Dietrich M., Rosakis A.J. How fast is rupture during an earthquake? New insights from the 1999 Turkey earthquakes // Geophys. Res. Lett. 2001. V. 28. № 14. P. 2723–2726. https://doi.org/10.1029/2001GL013112
- Dunham E., Archuleta R. Evidence for a supershear transient during the 2002 Denali fault earthquake // Bull. Seismol. Soc. Am. 2004. V. 94. № 6B. P. S256–S268.
- Dunham E., Bhat H. Attenuation of radiated ground motion and stresses from three-dimensional supershear ruptures // J. Geophysical Research. Solid Earth 2008. V. 113. P. B8.
- Federal Emergency Management Agency (FEMA), NEHRP guidelines for the seismic rehabilitation of buildings. Reports FEMA 273 (Guidelines) and 274 (Commentary).Washington: D.C. 1997.
- Garini E., Gazetas G. Second Preliminary Report (8-2-23) Emergence of Fault Rupture. Accelerograms NTUA. Greece. 2023.
- Giardini D., Danciu L., Erdik M., Demircioglu M., Sesetyan K., Demircioglu M., Akkar S., Gulen L., Zare M. Seismic hazard map of the Middle East // Bull. Earthq. Eng. 2018. V. 16. P. 1–4. https://doi.org/10.1007/s10518-018-0347-3
- Gülerce Z., Tanvir Shah S., Menekşe A., Arda Özacar A., Kaymakci N., Önder Çetin K. Probabilistic Seismic-Hazard Assessment for East Anatolian Fault Zone Using Planar Fault Source Models // Bull. Seismol. Soc. Am. 2017. V. 107. № 5. P. 2353–2366. https://doi.org/10.1785/0120170009
- Hall J., Heaton T., Halling M., Wald D. Near-source ground motion and its effects on flexible buildings // Earthq. Spectra. 1995. V. 11. № 4. P. 569–605.
- Harris R., Day S. Dynamics of fault interaction: Parallel strike-slip faults // J. Geophys. Res.: Solid Earth. 1993. V. 98. № B3. P. 4461-4472
- Iervolino I., Chioccarelli E., Baltzopoulos G. Inelastic displacement ratio of near-source pulse-like ground motions. Earthq. Eng. Struct. Dynam. 2012. https://doi.org/10.1002/eqe.2167
- Iervolino I., Cito P., Felicetta C., Lanzano G., Vitale A. Exceedance of design actions in epicentral areas: insights from the Shake Map envelopes for the 2016–2017 central Italy sequence // Bull. Earthq. Eng. 2021. V. 19. № 13. P. 5391–5414. https://doi.org/10.1007/ s10518-021-01192-z
- Iwan W. Drift spectrum: Measure of demand for earthquake ground motions // J. Struct. Eng. 1997. V. 123. № 4. P. 397–404.
- Kalkan E., Kunnath S.K. Effects of fling-step and forward directivity on the seismic response of buildings // Earthq. Spectra. 2006. V. 22. № 2. P. 367–390.
- Kartal R., Kadirioğlu F., Zünbül S. Kinematic of east Anatolian fault and Dead Sea fault. Conference Paper. 2013. https://www.researchgate.net /publication/271852091
- Luco N., Cornell C. Structure-specific scalar intensity measures for near-source and ordinary earthquake ground motions // Earthq. Spectra. 2007. V. 23. № 2. P. 357–392.
- Makris N., Black C. Dimensional analysis of bilinear oscillators under pulse-type excitations // J. Eng. Mech. 2004. V. 130. № 9. P. 1019–1031.
- Mahin S., Bertero V., Chopra A., Collins R. Response of the Olive View hospital main building during the San Fernando earthquake. Report No. UCB/EERC-76/22. Earthquake Engineering Research Center. University of California at Berkeley. 1976
- Malhotra P. M 7.8 Turkey Earthquake of February 6. 2023.
- Mavroeidis G.P., Papageorgiou A.S. A mathematical representation of near-fault ground motion // Bull. Seismol. Soc. Am. 2003. V.93. P. 1099–1131.
- Mavroeidis G., Dong G., Papageorgiou A. Near-fault ground motions, and the response of elastic and inelastic single degree- of-freedom (SDOF) systems // Earthq. Eng. Struct. Dynam. 2004. V. 33. № 9. P. 1023–1049.
- Mello M., Bhat H.S., Rosakis A.J., Kanamori H. Reproducing the supershear portion of the 2002 Denali earthquake rupture in laboratory // Earth Planet. Sci. Lett. 2014. V. 387. P. 89–96.
- Mello M., Bhat H., Rosakis A. Spatiotemporal properties of Sub-Rayleigh and supershear rupture velocity fields: Theory and experiments // J. Mech. Phys. Solids. 2016. V. 93. P. 153–181.
- Menun C., Fu Q. An analytical model for near-fault ground motions and the response of SDOF systems. Proc. 7th U.S. National Conf. Earthquake Engineering. 2002. P. 10.
- Mohamed Abdelmeguid M., Zhao C., Yalcinkaya E., Gazetas G., Elbanna A., Rosakis A. Revealing the dynamics of the Feb 6th 2023 M7.8 Kahramanmaraş. Pazarcik earthquake: near-field records and dynamic rupture modeling. This paper is a non-peer reviewed preprint submitted to EarthArXiv.
- Montaldo V., Faccioli E., Zonno G., Akinci A., Malagnini L. Treatment of ground-motion predictive relationships for the reference seismic hazard map of Italy // J. Seismol. 2005. V. 9. № 3. P. 295–316. https://doi.org/10.1007/s10950-005-5966-x
- Rosakis A., Samudrala O., Coker D. Cracks faster than the shear wave speed // Science. 1999. V. 284. № 5418. P. 1337–1340.
- Rosakis A., Abdelmeguid M., Elbanna A. Evidence of Early Supershear Transition in the Mw 7.8 Kahramanmaraş Earthquake From Near-Field Records. non-peer reviewed preprint. 2023.
- Rousseau C.-E., Rosakis A. Dynamic path selection along branched faults: Experiments involving sub-Rayleigh and supershear ruptures // J. Geophys. Res.: Solid Earth. 2009. V. 114. P. B8.
- Rowshandel B. Incorporating source rupture characteristic into ground-motion hazard analysis models // Seism. Res. Lett. 2006. V. 77. № 6. P. 708–722.
- Shahi S., Baker J. An empirically calibrated framework for including the effects of near-fault directivity in probabilistic seismic hazard analysis // Bull. Seismol. Soc. Am. 2011. V. 101. № 2. P. 742–755. https://doi.org/10.1785/0120100090
- Somerville P., Smith N., Graves R., Abrahamson N. Representation of near-fault rupture directivity effects in design ground motions, and application to Caltrans bridges. Proc. National Seismic Conf. on Bridges and Highways. San Diego. California. 1995.
- Somerville P., Saikia C., Wald D., Graves R. Implications of the Northridge earthquake for strong ground motions from thrust faults // Bull. Seismol. Soc. Am. 1996. V. 86. № 1. Part B. P. S115–S125.
- Somerville P., Smith N., Graves R., Abrahamson N. Modification of Empirical Strong Ground Motion Attenuation Relations to Include the Amplitude and Duration Effects of Rupture Directivity // Seismol. Res. Lett. 1997. V. 68. № 1. P. 199–222. https://doi.org/10.1785/ gssrl.68.1.199
- Somerville P. Magnitude scaling of the near fault rupture directivity pulse // Phys. Earth Planet. In. 2003. V. 137. № 1. P. 201–212.
- Somerville P. Engineering characterization of near fault ground motion. New Zealand Society for Earthquake Engineering Conference. 2005. P. 8.
- Spagnuolo E., Akinci A., Herrero A., Pucci S. Implementing the effect of the rupture directivity on PSHA for the city of Istanbul, Turkey // Bull. Seismol. Soc. Am. 2016. V. 106. № 6. P. 2599–2613. https://doi.org/10.1785/0120160020
- Spudich P. Chiou B.S. Directivity in NGA earthquake ground motions: Analysis using isochrone theory // Earthq. Spectra. 2008. V. 24. № 1. P. 279–298.
- Taftsoglou M., Valkaniotis S., Karantanellis E., Goula E., Papathanassiou G. Preliminary mapping of liquefaction phenomena triggered by the February 6 2023 M7.7 earthquake, Türkiye. Syria, based on remote sensing data. Zenodo. 2023. https://doi.org/10.5281/zenodo.7668401
- Templeton E., Baudet A., Bhat H.S., Dmowska R., Rice J.R., Rosakis A.J., Rousseau C-E. Finite element simulations of dynamic shear rupture experiments and dynamic path selection along kinked and branched faults // J. Geophys. Res.: Solid Earth 2009. V. 114. P. B8. https://doi.org/10.1029/2008JB006174
- Tothong P., Cornell C.A., Baker J. Explicit directivity-pulse inclusion in probabilistic seismic hazard analysis // Earthq. Spectra. 2007. V. 23. № 4. P. 867–891. https://doi.org/10.1193/1.2790487
- Turkish National Strong Motion Network [Data set]. Department of Earthquake, Disaster and Emergency Management Authority. https://doi.org/ (accessed 02/13/2023 7:30 PM PST)https://doi.org/10.7914/SN/TK
- Uniform Building Code // Int. Conf. of Bldg. Officials, Whittier, California. 1997.
- U.S. Geological Survey. URL: https://earthquake. usgs.gov/earthquakes/eventpage/us6000jllz/origin/detail (accessed 02/13/2023 7:30 PM PST)
- Zeng H., Wei S., Rosakis A. A Travel-Time Path Calibration Strategy for Back-Projection of Large Earthquakes and Its Application and Validation Through the Segmented Super-Shear Rupture Imaging of the 2002 Mw 7.9 Denali Earthquake // J. Geophys. Res.: Solid Earth. 2022. V. 127. № 6. e2022JB024359.
Supplementary files














