On the Nature of Negative Values of Induced Polarization in the Transient Electromagnetic Process when Working with an Axial Electrical Installation on the Sea Shelf
- Авторлар: Ageev V.V.1
-
Мекемелер:
- Geoelectromagnetic Research Center, Schmidt Institute of Physics of the Earth, Russian Academy of Sciences
- Шығарылым: № 2 (2023)
- Беттер: 241-250
- Бөлім: ДИСКУССИИ
- URL: https://bakhtiniada.ru/0002-3337/article/view/139011
- DOI: https://doi.org/10.31857/S0002333723020023
- EDN: https://elibrary.ru/LGYWWP
- ID: 139011
Дәйексөз келтіру
Толық мәтін
Аннотация
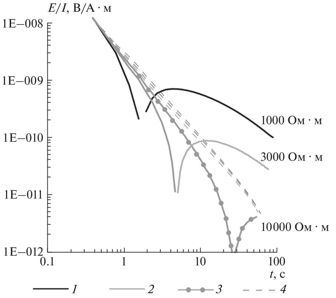
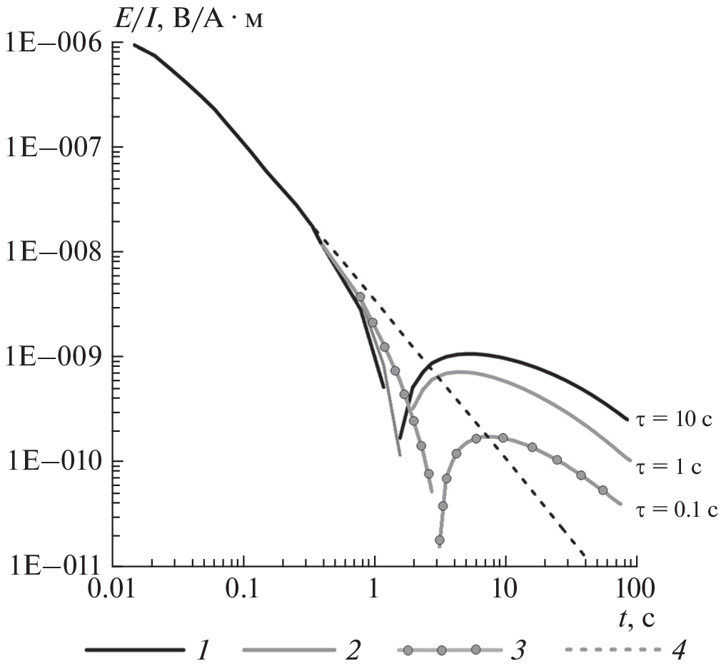
The paper describes the ideas about the sources of induced polarization fields generated by external forces of non-electrical origin. Layered polarizable media are considered, over which a change in the sign of induced polarization can be observed for an axial electrical installation. Numerical model experiments substantiate the conclusion that the induced polarization is caused by galvanic currents and is not related to the induction component in this case.
Авторлар туралы
V. Ageev
Geoelectromagnetic Research Center, Schmidt Institute of Physics of the Earth, Russian Academy of Sciences
Хат алмасуға жауапты Автор.
Email: ageevvv@yandex.ru
108840 Russia, Troitsk
Әдебиет тізімі
- Агеев В.В., Каринский С.Д., Светов Б.С. Об определении параметров Cole-Cole в поляризующихся средах // Геофизика. 2006. № 5. С. 40–45.
- Агеенков Е.В., Ситников А.А., Владимиров В.В., Пестерев И.Ю. Переходный процесс на акваториях морского шельфа при работе с осевой и экваториальной электрическими установками и полевой эксперимент // Физика Земли. 2022. № 2. С. 224–240.
- Каринский А.Д. Решение осесимметричной прямой задачи теории каротажа КС при возбуждении поля переменным током // Геофизика. 1998. № 2. С. 20–28.
- Каринский С.Д. Квазистатический метод расчета переходных процессов вызванной поляризации // Физика Земли. № 2. 2011. С. 27–34.
- Кауфман А.А., Андерсон Б.И. Принципы методов наземной и скважинной электроразведки. Тверь: АИС. 2013. 488 с.
- Кормильцев В.В. Вызванная поляризация в уравнениях электродинамики. Свердловск. 1981. 44 с.
- Светов Б.С., Агеев В.В., Агеева О.А., Каринский С.Д. О связи феноменологического описания вызванной поляризации среды с происходящими в ней физическими процессами. Постановка вопроса // Геофизика. 2011. № 4. С. 25–29.
- Титов К.В. Электрокинетические явления горных пород и их применение в геоэлектрике. Дис. … докт. геол.-мин. наук. С.-Пб. 2003.
- Шестернев Д.М., Карасев А.П., Оленченко В.В. Исследование криолитозоны методом РСВП. Новосибирск. СО РАН. 2003. 238 с.
Қосымша файлдар











