Переходный процесс на акваториях морского шельфа при работе с осевой и экваториальной электрическими установками и полевой эксперимент
- Авторы: Агеенков Е.В.1, Ситников А.А.2, Владимиров В.В.2, Пестерев И.Ю.2
 - 
							Учреждения: 
							
- Институт нефтегазовой геологии и геофизики им. А.А. Трофимука СО РАН
 - ООО “Сибирская геофизическая научно-производственная компания”
 
 - Выпуск: № 2 (2023)
 - Страницы: 224-240
 - Раздел: ДИСКУССИИ
 - URL: https://bakhtiniada.ru/0002-3337/article/view/139010
 - DOI: https://doi.org/10.31857/S0002333723020011
 - EDN: https://elibrary.ru/LGSTNS
 - ID: 139010
 
Цитировать
Полный текст
Аннотация
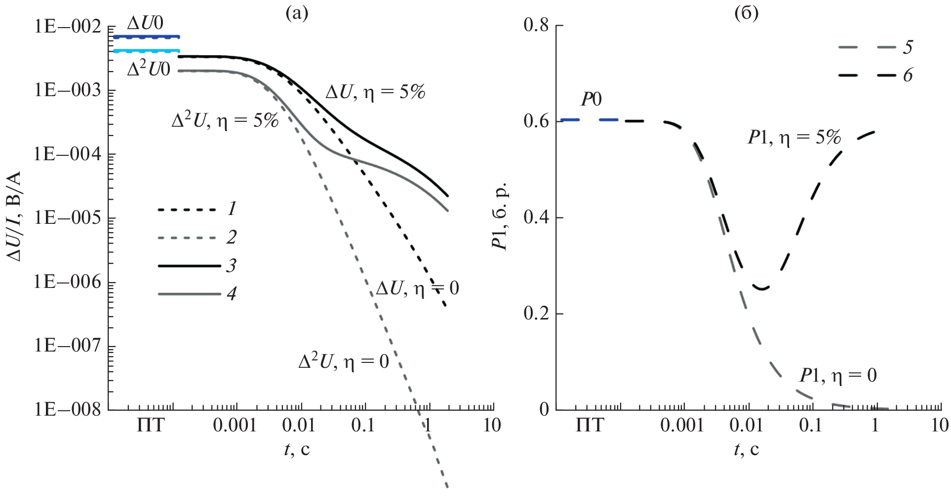
Рассмотрено изменение нестационарного электромагнитного (ЭМ) сигнала над проводящей поляризующейся землей, перекрытой морской водой, на измерительных линиях, расположенных в осевой и экваториальной области источника – импульсной горизонтальной электрической линии (ГЭЛ). Во время работы ГЭЛ в импульсном режиме в среде создается гальванический и вихревой ток. Если среда, на которую воздействует ГЭЛ гетерогенна, то оба влияния приводят к разделению связанных зарядов. После отключения источника, в такой среде возникают релаксационные (деполяризационные) процессы различной природы, проявляющиеся, в частности, в виде ЭМ сигнала. В итоге переходный процесс, регистрируемый заземленной линией после импульсного воздействия ГЭЛ, является, по меньшей мере, суперпозицией трех составляющих: становления ЭМ поля (СП), гальванически вызванной поляризации (ВПГ) и индукционно вызванной поляризации (ВПИ). Сигнал ВП, по мере уменьшения составляющей СП в общем сигнале, проявляется в переходном процессе изменением временных характеристик спада, вплоть до смены полярности сигнала. Как показано ранее численным моделированием для осевой области ГЭЛ, проявление сигнала ВПИ на поздних временах переходного процесса, для большей части геоэлектрических условий суши, незаметно на фоне проявления ВПГ [Агеенков и др., 2020]. Так же на основе этих расчетов видно, что в осевой области сигнал ВПГ проявляется в виде замедления скорости переходного процесса, а сигнал ВПИ – ускорения скорости спада вплоть до смены знака сигнала. При проведении полевых измерений аквальным дифференциально-нормированным методом электроразведки (АДНМЭ), использующим осевые электрические установки, фиксируются переходные процессы с изменением временных характеристик спада: он становится более затянутым или напротив, протекает быстрее и может сопровождаться сменой полярности сигнала. Т.е. отмечены разные по виду измеряемые сигналы, которые предположительно связаны с проявлением сигналов ВПГ или ВПИ. Актуальность публикации заключается в необходимости объяснить результаты натурных измерений, выполненных на акватории, понять связь протекания переходного процесса с геоэлектрическими условиями, существующими на акваториях. И в общем описать формирование переходной характеристики среды в осевой и экваториальной области ГЭЛ для условий аквальной геоэлектрики. Исследован расчетный сигнал для осевых и экваториальных электрических установок с несколькими разносами в условиях акватории морского шельфа при расположении установки на поверхности, внутри водной толщи, и на дне акватории – на геологических породах. Для осевых установок выполнены расчеты величин, использующихся в АДНМЭ: переходного процесса ΔU(t), конечной разности переходного процесса Δ2U(t) и трансформанты P1(t) – отношения Δ2U(t) к ΔU(t). Для экваториальных установок выполнены расчеты сигнала ΔU(t). Проведено сравнение сигналов 2-х слойной модели среды с поляризующимся и неполяризующимся основаниями.
Об авторах
Е. В. Агеенков
Институт нефтегазовой геологии и геофизики им. А.А. Трофимука СО РАН
							Автор, ответственный за переписку.
							Email: AgeenkovEV@ipgg.sbras.ru
				                					                																			                												                								Россия, г. Новосибирск						
А. А. Ситников
ООО “Сибирская геофизическая научно-производственная компания”
							Автор, ответственный за переписку.
							Email: AAS@dnme.ru
				                					                																			                												                								Россия, г. Иркутск						
В. В. Владимиров
ООО “Сибирская геофизическая научно-производственная компания”
														Email: AAS@dnme.ru
				                					                																			                												                								Россия, г. Иркутск						
И. Ю. Пестерев
ООО “Сибирская геофизическая научно-производственная компания”
														Email: AAS@dnme.ru
				                					                																			                												                								Россия, г. Иркутск						
Список литературы
- Агеев В.В., Каринский С.Д., Светов Б.С. Становление электромагнитного поля в поляризующейся среде и определение параметров Cole-Cole // Геофизика. 2006. № 5. С. 40–45.
 - Агеенков Е.В., Давыденко Ю.А., Фомицкий В.А. Влияние неосевого расположения приемной и питающей электрических линий на результаты дифференциально-нормированного метода электроразведки // Геология и геофизика. 2012. Т. 53 (1). С. 150–157.
 - Агеенков Е.В., Ситников А.А., Пестрев И.Ю., Попков А.В. О проявлении процессов индукционного становления и вызванной поляризации при работе с осевой и симметричной электрическими установками // Геология и геофизика. 2020. Т. 61. № 7. С. 976–991. https://doi.org/10.15372/GiG2019151
 - Агеенков Е.В., Ситников А.А., Воднева Е.Н. Проявление сигнала вызванной поляризации на многоразносных установках в условиях акваторий с глубиной моря до 100 м // Науки о Земле и недропользование. 2021. Т. 44. № 3. С. 301–311.
 - Агеенков Е.В., Ситников А.А., Воднева Е.Н. Результаты математического моделирования переходных процессов для условий акваторий морского шельфа // Геология и геофизика. 2022. Т. 63. № 7. С. 971—987.
 - Антонов Е.Ю., Шеин А.Н. Разделение эффекта становления и явления вызванной поляризации при зондировании поляризующихся сред методом переходных процессов. Сборник материалов международного научного конгресса “Гео-Сибирь-2007”. 25–27 апреля 2007 г. Новосибирск: СГГА. 2006. С. 231–218.
 - Антонов Е.Ю., Шеин А.Н. Способы повышения качества инверсии данных нестационарных электромагнитных зондирований // Геология и геофизика. 2008. № 10. С. 1046–1062.
 - Вишняков А.Э., Лисицын Е.Д., Яневич М.Ю. Влияние временных параметров вызванной поляризации залежей углеводородов на переходные процессы электромагнитного поля. Техника и методика геофизических исследований Мирового океана. Сборник научных трудов. ПГО “Севморгеология”. 1988. С. 124–132.
 - аменецкий Ф.М., Тригубович Г.М., Чернышев А.В. Три лекции о вызванной поляризации геологической среды. Мюнхен: Вела Ферлаг. 2014. 58 с
 - Кожевников Н.О., Антонов Е.Ю. Импульсная индуктивная электроразведка поляризующихся сред // Геофизический журнал. 2009. Т. 31. № 4. С. 104–118.
 - Кожевников Н.О. Быстропротекающая индукционно-вызванная поляризация в мерзлых породах // Геология и геофизика. 2012. Т. 53. № 4. С. 527–540.
 - Комаров В.А. Электроразведка методом вызванной поляризации. Л.: Недра. 1980. 391 с.
 - Кормильцев В.В. Переходные процессы при вызванной поляризации. М.: Недра. 1980. 130 с.
 - Левченко А.В. Взаимное влияние процессов индукции и вызванной поляризации при индуктивном и гальваническом возбуждении. Дис. … канд. техн. наук. Свердловск: УрО РАН институт геофизики. 1992. 17 с.
 - Легейдо П.Ю., Мандельбаум М.М., Рыхлинский Н.И. Дифференциально-нормированный метод электроразведки при прямых поисках залежей углеводородов // Геофизика. 1995. № 4. С. 42–45.
 - Легейдо П.Ю., Мандельбаум М.М., Рыхлинский Н.И. Информативность дифференциальных методов электроразведки при изучении поляризующихся сред // Геофизика. 1997. № 3. С. 49–56.
 - Легейдо П.Ю. Теория и технология дифференциально-нормированной геоэлектроразведки для изучения поляризующихся разрезов в нефтегазовой геофизике. Дисс. ... докт. геол.-мин. наук. Иркутск: ИрГТУ. 1998. 198 с.
 - Марков С.Ю., Горбачев С.В., Иванов С.А., Мятчин О.М., Нурмухамедов Т.В., Смилевец Н.П. и др. Повышение надежности прогноза углеводородов на шельфе Печорского моря по результатам переинтерпретации электроразведочных работ в комплексе с сейсморазведочными данными // Геофизика. 2021. № 3. С. 25–33.
 - Матвеев Б.К. Электроразведка. М.: Недра. 1990. 368 с.
 - Мезенцев А.Н. Математическое моделирование неустановившихся электромагнитных полей заземленных и незаземленных источников в поляризующихся средах. Дис. … докт. физ.-мат. наук. Свердловск: УрО АН СССР Институт геофизики. 1990. 38 с.
 - Могилатов В.С. Импульсная электроразведка. Новосибирск: НГУ. 2014. 300 с.
 - Могилатов В.С. Эффективная электроразведка в море: csem и другие методы // Геофизика. 2015. № 6. С. 38–42.
 - Моисеев В.С. Метод вызванной поляризации при поисках нефтеперспективных площадей. Новосибирск: Наука. 2002. 136 с.
 - Небрат А.Г. Интерпретация данных ЗСБ в морских условиях. Дис. … канд. геол.-мин. наук. 04.00.12. Москва. 1990. 198 с. 15 с.
 - Персова М.Г., Соловейчик Ю.Г., Абрамов М.В. Конечноэлементное моделирование геоэлектромагнитных полей, возбуждаемых горизонтальной электрической линией //Сибирский журн. индустриальной математики. 2009. № 4(40). С. 106–119.
 - Петров А.А. Возможности метода становления электрического поля при поисках углеводородов в шельфовых зонах // Геофизика. 2000. № 5. С. 21–26.
 - Ситников А.А., Иванов С.А., Жуган П.П., Мальцев С.Х., Агеенков Е.В. Аппаратура, устройства и системы наблюдений для решения нефтегазопоисковых и инженерно-геологических задач на акваториях электроразведочными методами ДНМЭ и НДЭМЗ // Приборы и системы разведочной геофизики. 2017. № 2. С. 34–41.
 - Соловейчик Ю.Г., Персова М.Г., Абрамов М.В., Токарева М.Г. Конечноэлементное моделирование электрического и магнитного полей вызванной поляризации в трехмерной среде // Сибирский журн. индустриальной математики. 2011. Т. 14. № 3. С. 112–124.
 - Табаровский Л.А. Применение метода интегральных уравнений в задачах геоэлектрики. Новосибирск: Наука. 1975. 143 с.
 - Уэйт Дж.Р. Геоэлектромагнетизм. М.: Недра. 1987. 235 с.
 - Pelton W.H., Ward S.H., Hallof P.G., Sill W.R., Nelson P.H. Mineral discrimination and removal of inductive coupling with multifre-quency IP // Geophysics. 1978. V. 43. P. 588–609.
 - Strack K.-M. Exploration with deep transient electromagnetics. Elsevier science publishing Co. 1992. 373 p.
 - Strack K.-M., Vozoff K. Integreiting long offset transient electromagnetic (LOTEM) with seismics in an exploration environment // Geophysical prospecting. 1999. V. 44(6). P. 997–1017.
 - West G.F., Macnae J.C. Electromagnetic physics of the electromagnetic induction exploration method // Electromagnetic Methods in Applied Geophysics–Applications. SEG Investigations in Geophysics. 2008. V. 2. P. 5–46.
 
Дополнительные файлы
				
			
						
						
						
					
						
									














