Stress Relaxation in a Cellular Model of Elements with Nonlinear Interaction
- Authors: Cherepantsev A.S.1
-
Affiliations:
- Southern Federal University
- Issue: No 1 (2023)
- Pages: 39-53
- Section: Articles
- URL: https://bakhtiniada.ru/0002-3337/article/view/138991
- DOI: https://doi.org/10.31857/S0002333723010027
- EDN: https://elibrary.ru/BZWMZE
- ID: 138991
Cite item
Full Text
Abstract
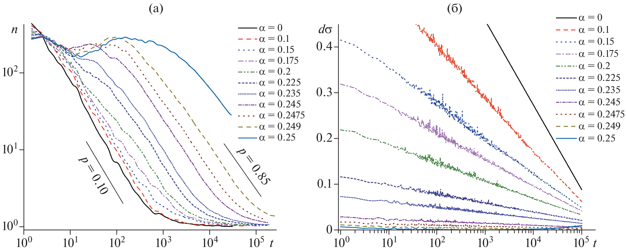
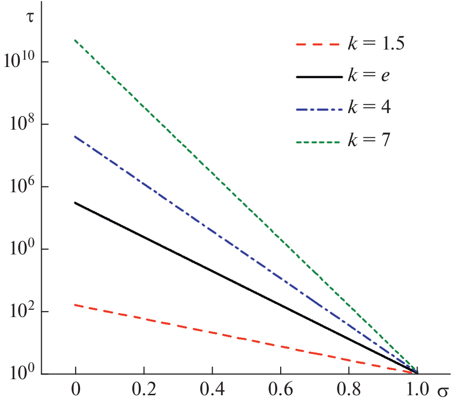
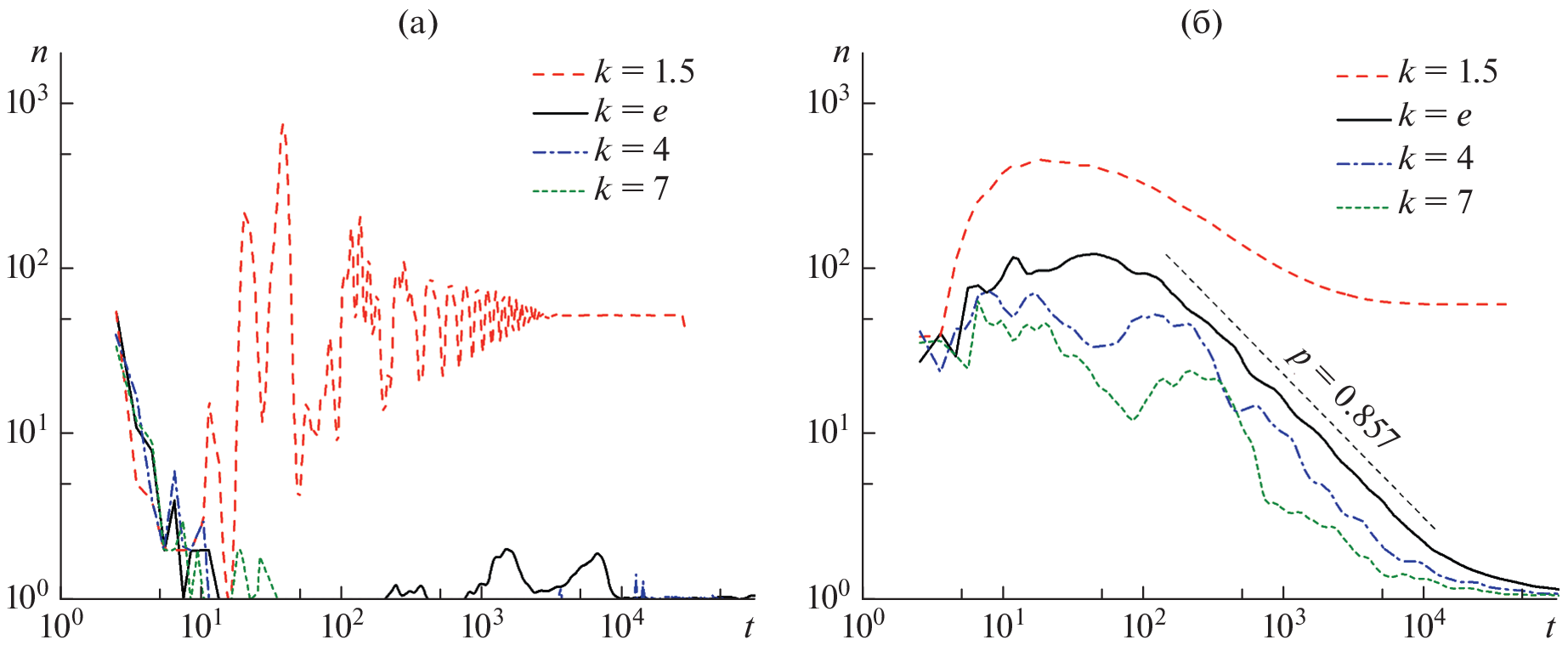
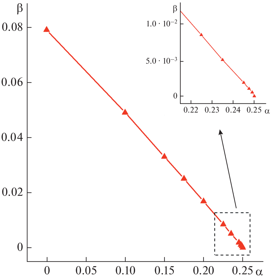
A model of stress relaxation in a system of discrete elements is analyzed. The model suggests analyzing a small-time scale of the process when external supply of additional stresses in the system are negligibly small. The nonlinear interaction of elements is similar to the interaction of elements in the open dissipative OFC model. Toppling conditions are determined by the static fatigue effect. It is shown that at a high level of element coupling, the model is characterized by a power-law decay of the drop frequency in time, similar to that observed in aftershock sequences of earthquakes. This regularity slightly depends on the initial distribution of stresses in the system, its exponent is p = 0.85–10 for the element coupling parameter α = 0–0.25. The analysis of the value of the time delay c for the formation of a power-law drop frequency decay shows that this parameter correlates with the duration of large-amplitude drops at the initial step of the relaxation process. The value c is defined in this case by the parameter α. Calculations also shows that relaxation of the mean stress σ(t) in the system of elements follows the relation \(t \propto {{e}^{{ - \gamma \sigma }}}\) with a time delay corresponding to the value for the drop frequency dependence. At the same time, there is no delay in the time series of the mean stress decrease during the drop of an individual element \(d\sigma \). The dependence \(d\sigma \left( t \right)\) is defined by the relation \(t \propto {{e}^{{ - \beta \Delta \sigma }}}\) in the entire temporal interval of the relaxation process. The value β linearly decreases with the increase of element coupling α in the model.
About the authors
A. S. Cherepantsev
Southern Federal University
Author for correspondence.
Email: s6319a@mail.ru
Russia, Rostov-on-Don
References
- Баранов С.В., Шебалин П.Н. Глобальная статистика афтершоков сильных землетрясений: независимость времен и магнитуд // Вулканология и сейсмология. 2019. № 2. С. 67–76.
- Журков С.Н. Кинетическая концепция прочности // Вестн. АН СССР. 1968. Вып. 3. С. 46–52.
- Смирнов В.Б., Пономарёв А.В. Физика переходных режимов сейсмичности. М. 2020. 412 с.
- Черепанцев А.С. Временные вариации параметров динамических систем геодеформационных процессов // Физика Земли. 2018. № 4S. С. 20–38.
- Bailey J. Attempt to correlate some strength measurements of glass // Glass Industry. 1939. V. 20 (№ 1. P. 21–25; № 2. P. 59–65; № 3. P. 95–99; № 4. P. 143–147).
- Benioff H. Earthquakes and rock creep // Bull. Seism. Soc. Am. 1951. V. 41. P. 31–62.
- Burridge R., Knopoff L. Model and Theoretical Seismicity // Bull. Seism Soc. Am. 1967. V. 57. P. 341–371.
- Cherepantsev A.S. The Mechanism of the Faults Genesis and Synchronization in the Dissipative Cellular Model of Earthquakes // Russian J. Nonlinear Dynamics. 2022. V. 18. № 1
- Christensen K., Olami Z. Scaling, phase transitions, and nonuniversality in a self-organized critical cellular-automaton model // 1992. Phys.Rev. A. V. 46. P. 1829.
- Christensen K. Self-organization in models of sandpiles, earthquakes and flashing fireflies. University of Aarhus. Denmark. Ph. D. Thesis. 1992. 64 p.
- Corral A., Perez C.J., Diaz-Guilera A., Arenas A. Self-organized criticality and synchronization in a lattice model of integrate-and-fire oscillators // 1995. Phys. Rev. Lett. V. 74. P. 118.
- Grassberger P. Efficient large-scale simulations of a uniformly driven system // Phys. Rev. E. 1994. V. 49. P. 2436–2444.
- Helmstetter A., Sornette D. Foreshocks Explained by Cascades of Triggered Seismicity // J. Geophys. Res. 2003. V. 108. P. 2457.
- Helmstetter A., Hergarten S., Sornette D. Properties of foreshocks and aftershocks of the nonconservative self-organized critical Olami-Feder-Christensen model // Phys. Rev. E. 2004. V. 70. P. 046120.
- Hergarten S., Neugebauer H.J. Foreshocks and aftershocks in the Olami-Feder-Christensen model // Phys. Rev. Lett. 2002. V. 88. P. 238501
- Holliday J.R., Turcotte D.L., Rundle J. Self-similar branching of aftershock sequences // Physica A. 2008. V. 387. P. 933–943.
- Kostrov B.V., Das S. Principles of Earthquake Source Mechanics. Cambridge University Press, Applied Mathematics and Mechanics Series. 1988. 286 p.
- Ogata Y. Statistical models for earthquake occurrences and residual analysis for point processes // J. Am. Stat Assoc. 1988. V. 83. P. 9–27.
- Olami Z., Feder H.J.S. Christensen K. Self-organized criticality in a continuous, nonconservative cellular automaton modeling earthquakes // Phys. Rev. Lett. 1992. V. 68. P. 1244–1247.
- Scholz C. Microfractures, aftershocks, and seismicity // Bull. Seism. Soc. Am. 1968. V. 58. P. 1117–1130.
- Scholz C.H. Microfractures, aftershocks and seismicity // Bull. Seismol. Soc.Am. 1968. V. 58. P. 1117–1130.
- Schorlemmer W.M.D., Wiemer S. Variations in earthquake-size distribution across different stress regimes // Nature. 2005. № 437. P. 539–542.
- Shebalin P.N., Narteau C., Baranov S.V. Earthquake Productivity Law // Geophys. J. Int. 2020. V. 222(2). P. 1264–1269.
- Smirnov V.B., Ponomarev A.V., Stanchits S.A., Potanina M.G., Patonin A.V., Dresen G., Narteau C., Bernard P., Stroganova S.M. Laboratory modeling of aftershock sequences: stress dependences of the Omori and Gutenberg–Richter parameters // Izvestiya, Physics of the Solid Earth. 2019. V. 55. № 1. P. 124–137.
Supplementary files
















