Technologies of the Integrated Development of Hydrogeothermal Resources of the North Caucasian Region
- Authors: Alkhasov A.B.1, Alkhasova D.А.1
-
Affiliations:
- Institute for Geothermal Research and Renewable Energy of JIHT RAS
- Issue: No 2 (2024)
- Pages: 117-126
- Section: Articles
- URL: https://bakhtiniada.ru/0002-3310/article/view/264024
- DOI: https://doi.org/10.31857/S0002331024020078
- ID: 264024
Cite item
Full Text
Abstract
This paper focuses on the technologies of the integrated development of high-parametric geothermal brines with steam release. They differ from each other depending on initial parameters. Such way of brine utilization will make it possible to transform thermal energy to electrical power along with significant increasing its salinity that contributes to chemical components extraction. The opportunity is considered of this technology application in the Tarumovka geothermal field with electric power generation in steam-turbine and binary power plants, and consequent obtaining valuable mineral components. The geothermal and biogas technologies are given proposing integrated utilization of thermal water for various applications. Such systems make it possible to use resource potential of geothermal well and biomass that will result in improvement of economic and environmental situation in the North Caucasus region.
Full Text
ВВЕДЕНИЕ
Энергосберегающие технологии на основе геотермальной энергии являются важной составляющей в освоении возобновляемых энергетических ресурсов и успешно конкурируют с другими способами получения энергии [1, 3]. В ряде стран геотермальные технологии становятся доминирующими, и доля геотермальной энергии в мировом энергетическом балансе неуклонно растет. В [4–8] приведен обзор современного состояния и перспективы развития геотермальной энергетики.
Повышения эффективности освоения геотермальных энергоресурсов различного потенциала можно добиться комплексным их освоением с применением более совершенных технологий и новых конструкций оборудования. Большие перспективы по строительству комплексных систем геотермального энергоснабжения имеются на большинстве месторождений термальных вод России. В ранее опубликованных работах [9–11] были предложены технологии комплексного освоения геотермальных ресурсов различного потенциала с привязкой к конкретным геотермальным месторождениям. Были предложены технологические решения для комплексного освоения высокотемпературных гидрогеотермальных ресурсов Северокавказского региона с преобразованием тепловой энергии в электроэнергию в бинарной ГеоЭС и последующим извлечением растворенных химических соединений.
Северокавказский регион является одним из перспективных для освоения геотермальной энергии. Гидрогеотермальные ресурсы только одного Восточно-Предкавказского артезианского бассейна (ВПАБ) оцениваются до 10 000 МВт тепловой и 1000 МВт электрической мощности. В ближайшей перспективе наиболее оптимальным является освоение части этих ресурсов с использованием простаивающих скважин на выработанных нефтегазовых месторождениях, их в регионе насчитывается до 2000. ВПАБ представляет собой огромную чашу, заполненную мезозойско-кайнозойской осадочной толщей мощностью от 10–12 в Терско-Каспийском прогибе до 1.5–2.8 на Ставропольском своде и до 1.2–2.0 км в пределах кряжа Карпинского, который считается северной границей этого многоярусного артезианского бассейна. На большей части бассейна в его вертикальном разрезе выделяются три гидрогеотермических яруса, изолированных друг от друга мощными водонепроницаемыми толщами сарматских и майкопских глин: плиоценовый, миоценовый и мезозойский. В этих ярусах соответственно залегают низко-, средне- и высокотемпературные гидрогеотермальные ресурсы. В табл. 1 приведены области предпочтительного использования ресурсов.
Таблица 1. Области использования гидрогеотермальных ресурсов ВПАБ
Низкотемпературные (20–60°С) (низкопотенциальные) | Среднетемпературные (61–100°С) (среднепотенциальные) | Высокотемпературные (101–220°С) (высокопотенциальные) |
Низкотемпературное теплоснабжение Теплонасосное теплоснабжение Горячее водоснабжение Питьевое водоснабжение Техническое водоснабжение Орошение агрокультур | Теплоснабжение Выработка электроэнергии на бинарных ГеоЭС Выработка электроэнергии на геотермально- парогазовых энергоустановках Использование в энергобиологических комплексах (ЭБК) | Теплоснабжение Выработка электроэнергии на бинарных ГеоЭС Извлечение растворенных химических компонентов (карбонат лития, пищевая соль, карбонат кальция и др.) Использование в ЭБК |
Высокая экономическая эффективность низкопотенциальных гидрогеотермальных ресурсов достигается при комплексном их освоении с использованием теплового потенциала на энергетические нужды в технологиях с тепловыми насосами, а самой воды на различные водохозяйственные цели. Освоение среднепотенциальных термальных вод осуществимо в комбинированных геотермально–парогазовых энергетических системах, включающих бинарную ГеоЭС и газотурбинную установку (ГТУ) и имеющих преимущества и возобновляемых источников, и ископаемых топлив. Эффективное освоение высокотемпературных геотермальных рассолов предполагает комплексную утилизацию всех видов энергий и растворенных химических компонентов.
Наиболее перспективными для освоения являются высокотемпературные геотермальные рассольные воды ВПАБ. В его пределах на глубинах 3000–5500 м выявлено 92 площади с редкометалльными промышленными водами, из которых 55 находятся на территории Дагестана, 29 – в Ставропольском крае и 8 – в Чеченской республике. Редкие элементы (литий, рубидий, цезий и стронций) в рассолах нижнего яруса содержатся в количествах, достаточных для обеспечения различных отраслей экономики России на дальнюю перспективу. Предложен ряд технологических схем для комплексного освоения таких ресурсов, где их тепловой потенциал утилизируется в бинарной ГеоЭС [8]. В табл. 2 приведено содержание редких элементов в рассолах на некоторых площадях ВПАБ [2].
Таблица 2. Содержание редких элементов в термальных рассолах ВПАБ
№ скв. | Площадь | Интервал перфорации, м | Содержание редких элементов, мг/л | Минерализация, г/л | |||
Li | Rb | Cs | Sr | ||||
Республика Дагестан | |||||||
18 44 | Русский Хутор | 3179–3185 3473–3483 | 37.5 44.9 | 2.25 4.4 | 0.43 3.2 | 750.0 1035.0 | 125.0 121.0 |
4 | Сухокумск | 3255–3257 | 44.3 | 3.36 | 0.61 | 756.0 | 104.8 |
4 | Восточно–Сухокумск | 3367–3371 3691–3695 | 63.7 72.4 | 5.46 3.99 | 0.18 | 559.0 | 133.8 137.0 |
14 20 | Южно–Сухокумск | 3291–3295 3392–3398 | 53.6 50.0 | 3.59 2.1 | 0.69 0.7 | 1169.0 550.0 | 132.0 127.0 |
2 | Октябрьская | 3383–3390 | 44.0 | 4.3 | 0.7 | 243.0 | 109.0 |
4 | Таловская | 3443–3455 | 53.8 | 5.5 | 0.9 | 596.0 | 112.4 |
1 | Эмировская | 3590–3603 | 75.4 | 4.24 | 1.5 | 134.4 | |
1 | Кумухская | 4778–4811 | 53.9 | 1.7 | 0.55 | 110.5 | |
2 | Юбилейная | 3909–3911 | 93.0 | 5.54 | 0.86 | 125.0 | |
2 | Северо–Кочубеевская | 3436–3446 | 86.8 | 5.4 | 0.91 | 540.0 | 119.0 |
1 | Комсомольская | 5078–5084 | 166.0 | 10.4 | 3.0 | 1607.0 | 183.0 |
1 | Тарумовская | 5429 | 200.0 | 9.3 | 5.6 | 1400.0 | 200.0 |
6 | Дахадаевская | 3636–3642 | 70.3 | 4.1 | 0.4 | 741.0 | 131.0 |
14 | Солончаковая | 3640–3646 | 122.5 | 5.0 | 0.94 | 625.0 | 124.0 |
1 | Ногайская | 3580–3585 | 66.7 | 4.6 | 739.0 | 136.4 | |
21 | Майская | 3627–3635 | 80.0 | 6.03 | 1.88 | 790.0 | 129.1 |
6 | Равнинная | 3716–3720 | 63.7 | 529.0 | 132.0 | ||
8 | Капиевская | 3830–3840 | 55.0 | 3.2 | 2.1 | 700.0 | 130.3 |
20 | Берикей | 42.0 | 3.4 | 0.85 | 520.0 | 70.0 | |
Ставропольский край | |||||||
116 | Зимняя Ставка | 20.0 | 0.1 | 0.489 | 106.0 | ||
96 | Озек-Суат | 21.3 | 1.7 | 0.1 | 312.0 | 79.0 | |
27 | Ачикулак | 26.3 | 3.02 | 0.57 | |||
Чеченская Республика | |||||||
167 | Карабулак-Ачалуки | 21.0 | 31.2 | 7.7 | |||
11 | Датыхская | 160.0 | 18.3 | 3.3 | |||
ТЕХНОЛОГИЧЕСКИЕ СХЕМЫ КОМПЛЕКСНОГО ОСВОЕНИЯ ГИДРОГЕОТЕРМАЛЬНЫХ РЕСУРСОВ
Перспективным направлением комплексного освоения высокотемпературных рассолов является получение пара при снижении давления с различными схемами, технологически отличающиеся друг от друга, в зависимости от исходных параметров первичного теплоносителя. Разработан ряд схем (рис. 1–3) комплексного освоения высокотемпературных геотермальных рассолов с выделением пара, что позволит значительно увеличить минерализацию рассола и упростить процессы извлечения из него химических соединений.
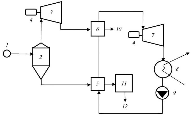
В схеме на рис. 1 рассол из скважины с высокой температурой (до 200°С) и высоким избыточным давлением у устья скважины (до 20 МПа) поступает в сепараторы–пароотделители циклонного типа 2, где давление снижается до 1 МПа. Выделившийся пар (180°С) из верхней части пароотделителя подводится в паровую турбину, где на выходе из турбины его температура снижается до 111°С при давлении 0.15 МПа [12]. Отработанный в турбине пар поступает в теплообменники 5 контура бинарной ГеоЭС, где, отдавая тепло низкокипящему рабочему телу, конденсируется и далее используется на различные водохозяйственные цели. В теплообменниках происходит нагрев и частичное испарение низкокипящего рабочего тела. Далее рабочее тело проходит через испаритель–перегреватель 6, где происходит дальнейшее испарение и перегрев рабочего тела, куда из сепаратора по шламопроводу поступает высокотемпературный и высококонцентрированный рассол. Из испарителя охлажденный рассол поступает на завод 11 по извлечению химических компонентов. Испаритель–перегреватель конструктивно соответствует теплообменнику типа “труба в трубе”, который эффективно используется для снятия тепла с высокоминерализованных термальных вод [10]. Перегретое рабочее тело из испарителя–перегревателя 6 поступает на турбину 7 бинарной ГеоЭС.
Рис. 1. Технологическая схема комплексного освоения высокотемпературных геотермальных рассолов: 1 – геотермальная скважина; 2 – сепаратор–пароотделитель; 3 – паровая турбина; 4 – генератор; 5 – теплообменник; 6 – испаритель–перегреватель; 7 – турбина на низкокипящем рабочем теле; 8 – конденсатор; 9 – циркуляционный насос; 10 – охлажденный дистиллят; 11 – завод по извлечению химических компонентов; 12 – опресненная вода.
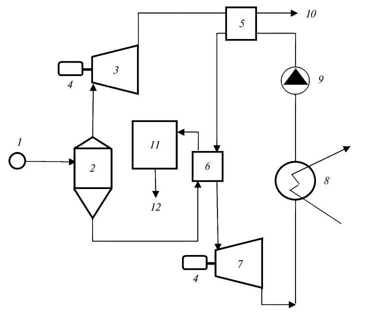
В схеме на рис. 2 нагрев рабочего тела происходит в теплообменнике 5 за счет съема тепла с высокотемпературного концентрированного рассола, его испарение и перегрев происходит в блоке теплообменников 6 (испаритель и перегреватель). Из испарителя конденсировавшаяся опресненная вода с высокой температурой (90–95°С), используется на различные теплоэнергетические и водохозяйственные цели.
Рис. 2. Технологическая схема комплексного освоения высокотемпературных геотермальных рассолов: 1 – геотермальная скважина; 2 – сепаратор–пароотделитель; 3 – паровая турбина; 4 – генератор; 5, 6 – теплообменник; 7 – турбина на низкокипящем рабочем теле; 8 – конденсатор; 9 – циркуляционный насос; 10 – на различные цели; 11 – завод по извлечению химических компонентов; 12 – опресненная вода.
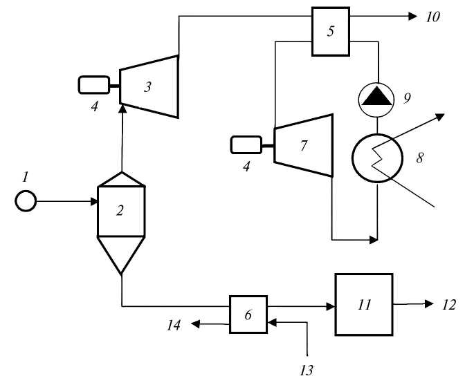
В схеме на рис. 3 доведение до необходимых параметров рабочего тела происходит при его последовательном прохождении через блок теплообменников 5, включающий нагреватель, испаритель и перегреватель. Отработанный первичный теплоноситель с низкой температурой используется на водохозяйственные цели. Тепловой потенциал высококонцентрированного рассола утилизируется в теплообменнике 6, куда подводится низкотемпературный теплоноситель 13 и отводится нагретый теплоноситель 14 на теплоэнергетические нужды.
Рис. 3. Технологическая схема комплексного освоения высокотемпературных геотермальных рассолов: 1 – геотермальная скважина; 2 – сепаратор–пароотделитель; 3 – паровая турбина; 4 – генератор; 5, 6 – теплообменник; 7 – турбина на низкокипящем рабочем теле; 8 – конденсатор; 9 – циркуляционный насос; 10 – на водохозяйственные цели; 11 – завод по извлечению химических компонентов; 12 – опресненная вода; 13 – подвод низкотемпературного теплоносителя; 14 – на теплоэнергетические нужды.
Рассмотрим использование технологической схемы с получением пара при снижении давления для Тарумовского геотермального месторождения (рис. 1). Для этого месторождения ранее была предложена технология утилизации высокотемпературного тепла геотермальной скважины в схеме с бинарной ГеоЭС на сверхкритическом цикле Ренкина [14].
Мощность паровой турбины определяется по формуле
где ƞ – КПД турбины; G – массовый расход пара, кг/с; h1 – энтальпия пара на входе в турбину, кДж/кг; h2 – энтальпия пара на выходе из турбины, кДж/кг.
При снижении давления в сепараторе до 1 МПа из всего расхода скважины № 6 выделяется 80 кг/с пара, который, проходя через, турбину вырабатывает электроэнергию, мощность турбины составляет 5.2 МВт. Дополнительно в блоке бинарной ГеоЭС можно получить до 2 МВт мощности, тогда общая мощность на паротурбинном и бинарном блоках составляет 7.2 МВт, что значительно меньше мощности бинарной ГеоЭС (15.4 МВт) на сверхкритическом цикле [14].
Выбор технологии комплексного освоения высокопараметрических геотермальных рассолов зависит от многих факторов – мощности блока по выработке электроэнергии, затрат на приобретение оборудования, эксплуатационных затрат на их обслуживание, сложности процессов извлечения химических компонентов, экологических проблем, возникающих при эксплуатации и др.
В Северокавказском регионе биомасса является одним из перспективных видов ВИЭ, только в республике Дагестан ее экономический потенциал составляет около 560 тыс. т у.т./год, из которого на долю отходов животноводства приходится 335.5 тыс. т у.т./год [2]. В настоящее время ресурсы биомассы не востребованы. Переработка их в биореакторных установках с получением биогаза позволит существенным образом улучшить эколого–экономическую ситуацию в регионе.
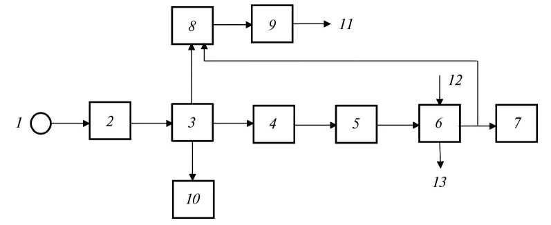
Разработана технологическая схема (рис. 4) комплексного освоения гидрогеотермальных ресурсов, в которой тепловой потенциал термальной воды используется в ГеоЭС, в биореакторе для подогрева сырья и для других нужд (теплица, рыборазводный бассейн). Полученный при этом биогаз сжигается в ГТУ, выхлопные газы направляются в блок по выращиванию белково–витаминной биомассы.
Рис. 4. Схема комплексного освоения гидрогеотермальных ресурсов: 1 – скважина; 2 – бинарная ГеоЭС; 3 – метантенк; 4 – газгольдер; 5 – ГТУ; 6 – теплообменник; 7 – блок по выращиванию белково–витаминной биомассы; 8 – теплица; 9 – рыборазводный бассейн; 10 – обеззараженные удобрения; 11 – сброс отработанной воды; 12 – подвод холодной воды; 13 – отвод нагретой воды.
Вода из скважины 1 поступает в ГеоЭС 2, далее вода с температурой 65°С поступает в метантенк 3 для поддержания термофильного процесса брожения биомассы (животноводческих отходов). Из метантенка вода с более низкой температурой поступает в теплицу 8 и далее в рыборазводный бассейн 9, образующиеся после брожения биомассы удобрения высокого качества 10 направляются для использования по назначению. Биогаз из метантенка поступает в газгольдер 4, далее он сжигается в ГТУ 5. Образующиеся при этом выхлопные газы направляются для охлаждения в теплообменник 6 и далее в теплицу 8 и в блок выращивания водорослей 7 (поглощение растениями и водорослями углекислого газа приводит к быстрому их росту).
В схеме на рис. 5 термальная вода из добычных скважин 1 поступает в геотермальный центральный тепловой пункт 2. Часть воды подводится в биореакторы 3 (метантенки), остальная вода направляется в блок комбинированной геотермально–парогазовой электростанции (ГПЭС) 6. В биореакторе из биомассы получают обеззараженные удобрения высокого качества 9 и биогаз. После осушки биогаз поступает в ГТУ 5, где вырабатывается электроэнергия. Отработанные в цикле ГТУ выхлопные газы направляются в ГПЭС, где за счет термальной воды осуществляется нагрев низкокипящего рабочего тела в цикле Ренкина до температуры насыщения, а дальнейшее испарение и перегрев тела осуществляется за счет утилизации тепла отработанных газов в цикле Брайтона. Далее отработанные газы поступают в блок по выращиванию белково–витаминной биомассы 7. Отработанная вода из биореактора и ГПЭС поступает на насосную станцию для закачки по нагнетательным скважинам 8 в материнский пласт.
Рис. 5. Комбинированная технологическая схема утилизации биомассы и геотермальной энергии: 1 –добычные скважины; 2 – ГЦТП; 3 – метантенк; 4 – газгольдер; 5 – ГТУ; 6 – ГПЭС; 7 – блок по выращиванию белково–витаминной биомассы; 8 – нагнетательные скважины; 9 – обеззараженные удобрения.
В последние годы биоэнергетика стала самостоятельной отраслью энергетики. Во многих странах мира ее вклад в энергобаланс стран превышает суммарный вклад остальных ВИЭ. Современная промышленная биоэнергетика представлена различными технологиями. Россия имеет возможности интенсивного развития практически всех современных направлений использования биомассы для энергетики. Ведущее место должны занять современные высокорентабельные биогазовые технологии, с использованием которых возможна биохимическая переработка всех органических отходов агропромышленного комплекса. Привлекательными являются комбинированные технологии переработки отходов, основанные полностью на ВИЭ, где тепло и электроэнергия, используемые при переработке, получены от возобновляемых энергоресурсов. Такие технологии должны стать важной составляющей стратегического развития Северокавказского региона.
ВЫВОДЫ
Разработаны технологические схемы комплексного освоения высокопараметрических геотермальных рассолов с выделением пара, технологически отличающиеся друг от друга в зависимости от исходных параметров теплоносителя. Такое освоение рассолов позволит осуществить преобразование их тепловой энергии в электрическую и значительно увеличить их минерализацию, что упростит последующие процессы извлечения из них химических соединений. Масштабное освоение рассолов даст возможность решить проблемы энерго– и водоснабжения Северокавказского региона, обеспечить потребности в редких элементах.
Рассмотрена возможность использования технологии с выработкой электроэнергии в паротурбинном и бинарном энергоблоках и последующим извлечением химкомпонентов из рассола для Тарумовского геотермального месторождения. Рассчитанная общая мощность на паротурбинном и бинарном блоках составляет 7.2 МВт, что значительно меньше мощности бинарной ГеоЭС (15.4 МВт) на сверхкритическом цикле. Окончательный выбор технологии комплексного освоения высокопараметрических геотермальных рассолов зависит от технико–экономического обоснования с учетом многих факторов: затрат на приобретение оборудования, эксплуатационных затрат на их обслуживание, мощности блока по выработке электроэнергии, сложности процессов извлечения химических компонентов, экологических проблем, возникающих при эксплуатации и др.
Разработаны комбинированные геотермально–биогазовые технологические схемы с комплексным использованием термальных вод на различные нужды. Переработка ресурсов биомассы в биореакторных установках с получением биогаза позволит улучшить эколого–экономическую ситуацию в Северокавказском регионе, где биомасса является одним из перспективных для освоения ВИЭ. Круглогодичная эксплуатация геотермальных скважин позволит наиболее эффективно использовать их ресурсный потенциал.
About the authors
A. B. Alkhasov
Institute for Geothermal Research and Renewable Energy of JIHT RAS
Author for correspondence.
Email: alkhasova.dzhamilya@mail.ru
Russian Federation, Makhachkala
D. А. Alkhasova
Institute for Geothermal Research and Renewable Energy of JIHT RAS
Email: alkhasova.dzhamilya@mail.ru
Russian Federation, Makhachkala
References
- Алхасов А.Б. Геотермальная энергетика: проблемы, ресурсы, технологии // М.: Физматлит, 2008. 376 с.
- Алхасов А.Б., Алхасова Д.А., Алишаев М.Г., Рамазанов А.Ш., Рамазанов М.М. Освоение геотермальной энергии // М.: Физматлит, 2022. 320 с.
- Томаров Г.В., Никольский А.И., Семенов В.Н., Шипков А.А. Геотермальная энергетика. М.: Теплоэнергетик. 2015. 304 с.
- John W. Lund, Gerald W. Huttrer, Aniko N. Toth. Characteristics and trends in geothermal development and use, 1995 to 2020 // Geothermics, 2022. V. 105. https://doi.org/ doi.org/10.1016/j.geothermics.2022.102522
- Томаров Г.В., Шипков А.А. Краткий обзор современного состояния и тенденций развития геотермальной энергетики // Теплоэнергетика. 2023. № 2. С. 37–46.
- Shyi–Min Lu. A global review of enhanced geothermal system (EGS). Renew Sustain Energy Rev 81(2):2902–2921. 2018. https://doi.org/ 10.1016/j.rser.2017.06.097
- Rybach L. Status and Prospects of Geothermal Energy // Proc. World Geothermal Congress- 2010, Bali, Indonezia, 25–29 April 2010.
- Lund J.W.,Toth A.N. Direct utilization of geothermal energy 2020: Worldwide review // Proc. of the World Geothermal Congress 2020+1/ Reykjavik, Ictland, Apr.–Oct.2021.
- Алхасов А.Б., Алхасова Д.А. Комплексное использование низкопотенциальных термальных вод юга России для тепло–, водоснабжения и решения экологических проблем // Теплоэнергетика. 2019. № 5. С. 82–88.
- Алхасов А.Б., Алхасова Д.А., Рамазанов А.Ш., Каспарова М.А. Перспективы комплексного освоения высокопараметрических геотермальных рассолов // Теплоэнергетика. 2015. № 6. С. 11–17.
- Алхасов А.Б., Алхасова Д.А., Рамазанов А.Ш., Каспарова М.А. Технологии освоения высокоминерализованных геотермальных ресурсов // Теплоэнергетика. 2017. № 9. С. 17–24.
- Александров А.А., Орлов К.А., Очков В.Ф. Теплофизические свойства рабочих веществ теплоэнергетики: справочник // М.: Издательский дом МЭИ, 2017. 226 с.
- Алхасов А.Б., Алхасова Д.А. Теплообменники для утилизации тепла высокотемпературных геотермальных рассолов // Теплоэнергетика. 2018. № 3. C. 36–41.
- Алхасов А.Б., Алхасова Д.А., Рамазанов А.Ш., Каспарова М.А. Перспективы освоения высокотемпературных высокоминерализованных ресурсов Тарумовского геотермального месторождения // Теплоэнергетика. 2016. № 6. С. 25–30.
Supplementary files







