Research of Oscillations Processes in the Hydraulic System of Liquid Droplet Radiator
- Authors: Safronov A.A.1, Koroteev A.A.1, Grigoriev A.L.1, Filatov N.I.1
-
Affiliations:
- Joint Stock Company State Scientific Center of the Russian Federation “Research Center named after M. V. Keldysh” (JSC State Scientific Center “Keldysh Center”)
- Issue: No 1 (2024)
- Pages: 22-29
- Section: Articles
- URL: https://bakhtiniada.ru/0002-3310/article/view/259110
- DOI: https://doi.org/10.31857/S0002331024010031
- ID: 259110
Cite item
Full Text
Abstract
The features of the functioning of the hydraulic system of the liquid droplet radiator are considered. The possibility of fluctuations in the flow rate of the working fluid is substantiated. The causes of the emergence and development of the corresponding instability are identified, and methods for its damping are proposed.
Full Text
ВВЕДЕНИЕ
Решение ряда задач, связанных с использованием космического пространства, требует существенного увеличения мощности энергетических установок космических аппаратов. При их создании необходимо решать вопросы отвода низкопотенциального тепла. Для этого, как правило, используются панельные холодильники-излучатели. Однако с увеличением мощности заметно увеличиваются их массогабаритные характеристики, а также уязвимость к воздействию метеоритных частиц естественного и техногенного происхождения. Бронирование неприемлемо повышает массу излучателя. Решить возникающую задачу возможно с использованием бескаркасного капельного холодильника-излучателя (КХИ), основанного на радиационном остывании мелкодисперсной пелены сверхвысоковакуумного рабочего тела, свободно распространяющегося от генератора капель (ГК) к уловителю капельного потока (УКП).
Важным этапом создания КХИ является правильное построение гидравлической схемы, включающее оптимальное размещение элементов автоматики и средств гашения волновых процессов. Для этого требуется проведение детального анализа закономерностей совместной работы ГК и УКП. На основе разработанных ранее систем компьютерного моделирования циркуляции рабочего тела созданы системы автоматического управления работой капельного излучателя [1]. Однако они разработаны для малоразмерных моделей и не характеризуют все особенности поведения полноразмерной системы.
МАТЕМАТИЧЕСКАЯ МОДЕЛЬ ГИДРАВЛИЧЕСКОЙ СИСТЕМЫ КХИ
Движение рабочего тела в гидросистеме КХИ может сопровождаться изменениями расхода, скорости и давления из-за пульсаций на выходе из насосов, срабатывания клапанов, элементов системы управления и т. д. Колебания могут возникать и самопроизвольно вследствие того, что КХИ является системой с запаздыванием. Жидкость, истекающая из генератора, попадает в уловитель спустя время τ, зависящее от расхода через генератор. Известно, что даже в линейных системах с постоянным временем запаздывания возможно самопроизвольное возникновение колебаний. Дополнительным фактором, способствующим развитию возмущений, является нелинейность расходных характеристик ряда узлов КХИ.
Исследование закономерностей совместной работы генератора и уловителя капель далее проводится методом компьютерного моделирования. Каждый из узлов моделируется отдельным программным расчетным модулем.
Закономерности функционирования уловителя. Функционирование уловителя отличается от работы классических гидравлических насосов. На входе в насос жидкость находится под некоторым давлением, обеспечивающим поступление новых порций в полость всасывания. Уловитель капель собирает жидкость в космосе; ее абсолютное давление близко к нулю и требуется повышение его до значения, достаточного для перекачки рабочего тела по трубопроводу и бесперебойной работы принимающего жидкость насоса. Поэтому уловитель должен содержать некоторый запас жидкости, т. е. быть заправлен. Эта особенность обусловливает необходимость учета не только расходных характеристик УКП, но и изменения степени его наполнения.
Рассматривается система, в которой жидкость из уловителя подается в ГК и возвращается с некоторой задержкой τ (рис. 1а). Текущий объем жидкости в уловителе равен V. Существует оптимальное значение V, равное V*, соответствующее максимуму расхода q через уловитель (вид зависимости q от V иллюстрирует рис. 1б). Расходу q и давлению на выходе уловителя p может соответствовать несколько значений V, т. е. учет степени заправки приводит к мультистабильности системы, а различные состояния ее равновесия обладают различными свойствами. Так, при внезапном увеличении расхода через ГК, произойдет увеличение объема жидкости в уловителе. Состояние с меньшим значением V оказывается устойчивым к такому возмущению; с большим – менее устойчивым. Одним из параметров, влияющих на устойчивость различных решений, является время задержки τ.
Рис. 1. (а) блок-схема модели КХИ (УКП – уловитель капельного потока, ГК – генератор капель); (б) зависимость расхода от объема жидкости в уловителе
Модель рабочего процесса связывает текущие значения q, p и V. Максимальные величины расхода через уловитель и давления в нем обозначены Qуm и Pуm соответственно. Для моделирования влияния величины V на характеристики рабочего процесса предполагается, что режим работы уловителя близок к оптимальному. В окрестности V* можно использовать следующую зависимость:
. (1)
Величина К характеризует влияние на давление отклонения V от V*.
Закономерности функционирования ГК различных типов рассмотрены в работе [2]. Лучшими для использования в КХИ являются генераторы с капиллярными форсунками. В практически интересной области параметров их расходная характеристика близка к линейной. Расход через ГК q связан с давлением жидкости в нем p и коэффициентом расхода генератора γ законом Пуазейля:
. (2)
Дополнительным учитываемым фактором является возможность прекращения формирования струй при сохранении расхода жидкости через генератор в случае уменьшения скорости течения в каналах до значения, недостаточного для преодоления капиллярных сил [3]. Расчет порогового значения скорости u* произведен с помощью соотношения, связывающего радиус мениска на выходе из канала генератора r с давлением, равным скоростному напору жидкости:
, (3)
где σ и ρ – коэффициент поверхностного натяжения и плотность жидкости. Для потенциально пригодных к использованию в КХИ рабочих тел при r = 10–4 м, u* ≈ 0.6 м/с; при r = 2.5·10–4 м, u* ≈ 0.35 м/с.
Время запаздывания τ определяется временем пролета капель от генератора до уловителя (отношение длины пролета l к скорости капель uк), а также временем транспортировки собранной жидкости до насоса t0:
. (4)
Перекачивающий насос создает перепад давления:
, (5)
где Pнm – наибольший достигаемый перепад давления; Qнm – максимальный расход через насос. Давление жидкости в полости всасывания насоса должно превышать некоторую критическую величину Р*, определяемую расходом через насос и его геометрией. Для шестеренного насоса необходим также дополнительный напор, направленный на преодоление центробежных сил в окрестности вращающихся шестерней. Предполагалось, что, если давление на входе в насос меньше Р*, расход через него равен нулю.
Гидроаккумулятор. Давление в гидроаккумуляторе создается за счет наполнения его внутреннего объема газом. Жидкость отделена от газа подвижной мембраной. Давление жидкости составляет:
, (6)
где pж и pг – давление жидкости и газа в гидроаккумуляторе; Aга и Pга0 – константы, характеризующие его работу; Vга – объем жидкости в гидроаккумуляторе.
ЧИСЛЕННОЕ МОДЕЛИРОВАНИЕ КОЛЕБАТЕЛЬНЫХ ПРОЦЕССОВ В ГИДРАВЛИЧЕСКОЙ СИСТЕМЕ КХИ
В первой серии расчетов считалось, что жидкость, собранная уловителем капель, возвращается на его поверхность через время τ (рис. 1а). Уравнения, описывающие динамику гидросистемы, имеют вид:
. (7)
Стационарное решение, соответствующее максимальному расходу q0:
. (8)
Обозначая: δV = V–V*, δq = q – q0 и считая, что δq < q0, можно получить:
. (9)
Эта система сводится к одному уравнению:
. (10)
Свойства решения уравнения (10) зависят от знака начального значения δV(0). Когда δV(0) положительно, существует критическое значение τ ≈ 0.356. Если τ превышает эту величину, начальное возмущение решения безгранично возрастает с течением времени, что соответствует остановке уловителя. Если запаздывание меньше этой величины, возмущение δV с течением времени приближается к некоторой стационарной величине (стационарная работа системы).
Численное моделирование решения системы (7) проводилось для следующих значений параметров: Pуm = 0.5 атм, Qуm = 45 мл/с, V* = 5 мл, К = 2 мл, γ = 4 мл/(с ⋅ атм). Величина τ была варьируемым параметром. В течение времени от 0 до τ предполагалось, что δV = 0, а расход имеет максимальное значение q0. В момент времени τ жидкость начинала истекать из генератора. Для компенсации уменьшения ее объема системе производился долив жидкости в УКП со скоростью qдолив = 1 мл/с. Долив прекращался при достижении значения V = kV* (k = 1.1).
При малом запаздывании τ решение быстро приближается к стационарному значению. На рис. 2а представлены результаты расчета для τ = 0.1 с. Установление занимает около 5 с, что обусловлено скоростью заполнения гидросистемы за счет долива. Сразу после начала прокачки жидкости уловителем формируется локальный максимум расхода при t = 5 с (рис. 2). Далее величины q и V за время порядка 1 с, приближаются к стационарным значениям. При увеличении запаздывания установление занимает больше времени (при τ = 1.1 с (рис. 2б) приблизительно 10 с).
Рис. 2. Динамика работы гидросистемы КХИ при различных временах запаздывания: (а) τ = 0.1 с; (б) τ = 1.1 с; (в) τ = 1.99 с; (г) τ = 5.86 с
При дальнейшем увеличении τ КХИ функционирует в течение временного интервала Т, после чего останавливается. Такой режим наблюдается в диапазоне значений τ от 1.15 до 2.1 с, значение T может достигать 100 с.
Когда запаздывание превышает значение τ ≈ 2.1, динамика вновь изменяется: останова КХИ не происходит, но возникают выраженные колебания расхода q. Их интенсивность и период возрастают с увеличением τ. При τ ≥ 5.87 устойчивые режимы функционирования КХИ не возникают.
Добавление в гидросистему перекачивающего насоса (рис. 3) увеличивает стабильность. При проведении расчетов считалось, что давление жидкости в трубопроводах, насосах и генераторе устанавливается мгновенно. Система заправки работает только при запуске КХИ по алгоритму, описанному выше.
Рис. 3. Поясняющая блок-схема модели КХИ: УКП – уловитель капельного потока; ШН – шестеренный перекачивающий насос; ГК – генератор капель
Уравнения, описывающие динамику гидросистемы:
. (11)
где p1, p2 – давление после уловителя и насоса соответственно. При проведении моделирования считалось, что Pнm = 10 атм, Qнm = 100 мл/с, γ = 1 мл/(с ⋅ атм), а τ = 4 с. Значения остальных параметров не изменялись.
Добавление насоса повышает устойчивость системы. Выход КХИ на рабочие характеристики не сопровождается колебаниями.
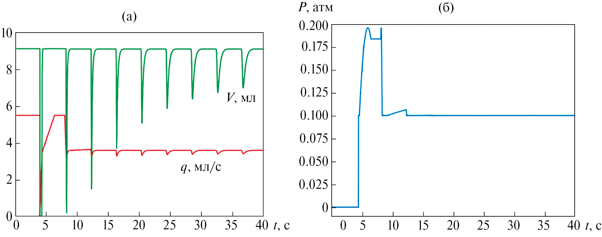
Для анализа влияния кавитации на динамику системы модель дополнялась условием прекращения расхода через насос при падении входного давления ниже P* = 0.1 атм. В этом случае, помимо возникновения колебаний давления и расхода, изменяется положение равновесия системы. Если без учета кавитации установившееся давление на выходе УКП равно 0.18 атм, то после введения в рассмотрение этого фактора значение этой величины составило 0.1 атм, что качественно объясняется мультистабильностью системы. Решение с большей величиной давления оказывается неустойчивым.
Учет возможности прекращения формирования капельного потока при сохранении расхода через ГК, описываемой соотношением (3), приводит к дестабилизации системы. Из-за потери рабочего тела амплитуда колебаний расхода возрастает и происходит останов системы.
Дополнительно проводилось моделирование работы КХИ с учетом зависимости времени задержки τ от скорости капель. Предполагалось, что диаметр отверстий ГК равен 0.5 мм, а их длина пролета l = 3 м. Время задержки рассчитывалось по формуле (4); время транспортировки жидкости принималось равным t0 = 0.1 с. Учет зависимости времени запаздывания τ от расхода через генератор оказывает дополнительное дестабилизирующее воздействие. Возникают не только быстрые колебания (рис. 5), но и потеря устойчивости.
Рис. 4. (а) расход и объем жидкости в уловителей капель; (б) изменение давления на выходе из уловителя капель
Рис. 5. (а) расход и объем жидкости в уловителе; (б) изменение скорости капель
Наличие гидроаккумулятора, предназначенного для гашения волновых процессов (рис. 6) и функционирующего в соответствии с зависимостью (3.4), проанализировано с использованием уравнений:
Рис. 6. Поясняющая блок-схема КХИ: УКП – уловитель капельного потока; ШН – перекачивающий насос; ГА – гидроаккумулятор; ГК – генератор капель
, (11)
где p1, p2 – давление после уловителя и перекачивающего насоса.
На рис. 7 представлены результаты расчета запуска КХИ при Aга = 2000 атм/м3 (остальные параметры те же). Объем и давление жидкости в гидроаккумуляторе, а также скорость капель изменяются линейно в процессе установления, а затем сохраняют постоянное значение. Из-за постоянства характеристик гидросистемы между насосом и ГК, а также несогласованности работы уловителя и насоса наблюдаются колебания давления между уловителем и насосом (рис. 7).
Рис. 7. Динамика работы КХИ: (а) объем жидкости в генераторе капель; (б), (в) изменение давления на выходе
Дополнительно исследовалась устойчивость гидросистемы. Считалось, что за промежуток времени с 15-й по 20-ю секунду расходная характеристика ГК γ увеличивается в 2.5 раза. Давление в генераторе изменялось незначительно и за время порядка 1 с устанавливалось. Время установления давления на выходе уловителя приблизительно равно 2 с. Учет зависимости времени запаздывания τ от расхода через ГК не привел к изменению динамики системы. Таким образом, гидросистема КХИ, имеющая в своем составе средство гашения волновых процессов, оказывается устойчивой.
ВЫВОДЫ
Факторами, в наибольшей степени влияющими на закономерности функционирования гидросистемы КХИ, являются наличие запаздывания, обусловленного конечной скоростью движения капель от генератора к уловителю, а также зависимость расходных характеристик уловителя от степени его заправки. Результаты проведенного анализа свидетельствуют о наличии нескольких квазистационарных состояний гидросистемы.
Из-за высокой скорости и сложности протекающих процессов, возможность и целесообразность использования активной системы управления рабочим процессом КХИ вызывают сомнения. Для эффективного управления излучателем необходимо обеспечить правильный выбор его гидравлической схемы и расстановку средств гашения волновых процессов. В этом случае для управления представляется возможным использовать систему, отслеживающую параметры функционирования излучателя и обеспечивающую его останов при их отклонении от заданных значений.
About the authors
A. A. Safronov
Joint Stock Company State Scientific Center of the Russian Federation “Research Center named after M. V. Keldysh” (JSC State Scientific Center “Keldysh Center”)
Author for correspondence.
Email: a.a.safr@yandex.ru
Russian Federation, Moscow
A. A. Koroteev
Joint Stock Company State Scientific Center of the Russian Federation “Research Center named after M. V. Keldysh” (JSC State Scientific Center “Keldysh Center”)
Email: a.a.safr@yandex.ru
Russian Federation, Moscow
A. L. Grigoriev
Joint Stock Company State Scientific Center of the Russian Federation “Research Center named after M. V. Keldysh” (JSC State Scientific Center “Keldysh Center”)
Email: a.a.safr@yandex.ru
Russian Federation, Moscow
N. I. Filatov
Joint Stock Company State Scientific Center of the Russian Federation “Research Center named after M. V. Keldysh” (JSC State Scientific Center “Keldysh Center”)
Email: a.a.safr@yandex.ru
Russian Federation, Moscow
References
- Tsuyoshi Totani, Takuya Kodama, Kensuke Watanabe, Kota Nanbu, Harunori Nagata, Isao Kudo. Numerical and experimental studies on circulation of working fluid in liquid droplet radiator. Acta Astronautica. 2006. V. 59. I. 1. P. 192–199.
- Коротеев А. А., Сафронов А. А., Филатов Н. И., Григорьев А. Л., Хлынов А. В. Исследование генераторов капель бескаркасных систем теплоотвода в космосе // Космическая техника и технологии. 2023. № 1 (40). С. 83–94.
- Сафронов А. А., Коротеев А. А., Хлынов А. В., Филатов Н. И., Григорьев А. Л. Особенности отключения генераторов капель в бескаркасных системах отвода низкопотенциального тепла в космосе // Известия Российской академии наук. Энергетика. 2021. № 4. С. 82–89.
Supplementary files









