Air distribution to reduce nitrogen oxide emissions in the furnace of a boiler with tangential combustion scheme
- Authors: Gil A.V.1, Maltsev K.I.1, Abramov N.V.1, Zavorin A.S.1, Puzyrev S.A.1
-
Affiliations:
- National Research Tomsk Polytechnic University
- Issue: Vol 335, No 12 (2024)
- Pages: 161-172
- Section: Articles
- URL: https://bakhtiniada.ru/2500-1019/article/view/285872
- DOI: https://doi.org/10.18799/24131830/2024/12/4883
- ID: 285872
Cite item
Full Text
Abstract
Relevance. The importance of analyzing the combustion characteristics and factors affecting the emission of nitrogen oxides (NOx) in the furnace chamber of pulverized coal-fired power boiler unit when installing tertiary air nozzles and changing the air flow rate through them, to ensure the reduction of negative anthropogenic impact on the environment. It should be noted that the use of tertiary nozzles is the most cost-effective technology of the internal furnace measures of NOx emission reduction. Aim. To analyze the effect of oxidant redistribution between secondary air and tertiary blast in the range of 40% on the burnout and NOx emission in the furnace chamber of a boiler unit with tangential burner arrangement. Objects. Power pulverized coal-fired boiler unit with natural circulation. Straight-flow burner devices are arranged according to the tangential scheme, tertiary blast nozzles are installed above the burners. Methods. Computational fluid dynamics modeling methods. For the simulation study of furnace processes the tested software FIRE-3D was used. The averaged equations of conservation of mass, momentum and enthalpy were solved to predict the velocity, temperature and concentration of components of the furnace medium in the furnace volume. The turbulent flow was modeled by the standard k-ε model. Coal particle transport was modeled using a discrete-phase model. The P-1 model was used for radiant heat transfer. Results. The authors have carried out the analysis of O₂, CO, and NOₓ concentrations, as well as velocity fields and temperature to examine the effects of varying the ratio of secondary and tertiary air in the furnace volume of a boiler unit with tangentially arranged burners and tertiary blast nozzles. Numerical modeling results revealed that with tertiary blast nozzles, the active combustion zone shifts upward. However, at higher proportions of tertiary blast, NOₓ reduction is not achieved due to increased temperatures at the furnace outlet. Taking into account NOx emissions and completeness of fuel burnout, the most optimal for modernization of the investigated boiler is the value of tertiary blast fraction equal to 0.2.
Full Text
Введение
Обеспечение потребителей тепловой и электрической энергией является жизненно важным в современном развитии мировой экономики. При этом, согласно статистическим обзорам, в 2020 г. 35,1 % мировой электроэнергии было выработано угольными тепловыми электростанциями [1]. Соответственно, сжигание пылеугольного топлива остается и будет в среднесрочной перспективе оставаться основной технологией для выработки тепловой и электрической энергии [2, 3]. Но при работе тепловых электрических станций на твердом топливе в окружающую среду может выбрасываться наибольшее количество вредных веществ [4]. Оксиды азота (NOx) являются одними из основных загрязняющих веществ, образующихся в процессе сжигания угля. Селективное некаталитическое восстановление и селективное каталитическое восстановление стали основными методами, используемыми для снижения выбросов NOx [5].
Между тем технологии сжигания с низким уровнем эмиссии NOx также имеют важное значение в снижении выбросов NOx из-за их более низких капитальных и эксплуатационных затрат. Наиболее используемые на практике технологии сжигания с низкой эмиссией NOx можно разделить на три категории: горелка с низким уровнем выбросов NOx, ступенчатое управление воздухом и ступенчатое управление топливом (дожигание). Первые две технологии обычно используются вместе для достижения наибольшего эффекта снижения образования NOx в процессе сжигания угля.
В условиях ограниченного финансирования наиболее экономически привлекательным оказывается реконструкция и модернизация устаревшего оборудования котельных установок с учетом выполнения рекомендуемых наилучших доступных технологий с максимально возможным сохранением основной его части [6, 7]. В итоге меры снижения содержания NOx в дымовых газах сравнительно редко включают в себя мероприятия по послефакельной очистке продуктов сгорания и преимущественно сводятся к применению режимных или малозатратных внутритопочных технологий [6, 8].
При организации ступенчатого сжигания, по воздуху, чаще всего используется расположение сопел третичного дутья выше горелок или ядра факела, возможно также и боковое относительно горелок расположение сопел для защиты экранированных стен от шлакования и коррозии [9]. В этом случае в центральной области топки образуется обогащённая топливом восстановительная зона, где ввиду недостатка кислорода происходит подавление термических и топливных оксидов азота, а на периферии формируется обеднённая топливом зона [10]. Наряду со снижением NOx это позволяет избавиться или уменьшить шлакование топочных экранов и их высокотемпературную коррозию.
Одной из наиболее распространенных схем факельного сжигания пылеугольного топлива является тангенциальная из-за высокой степени смешивания топлива https://www.sciencedirect.com/topics/engineering/pulverised-coal и воздуха для горения и, следовательно, высокой эффективности его выгорания [11, 12]. Однако наряду с этим уникальная вращательная организация потока может создавать и некоторые усложнения для эксплуатации котельной установки, такие как отклонение воздушного потока и его наброс на стены топки, а также тепловую неравномерность на поверхностях нагрева за топочной камерой [13, 14].
Соответственно при реконструкции котельных агрегатов с учетом установки сопел третичного дутья вследствие перераспределения доли воздуха между основными горелочными устройствами и соплами третичного дутья могут возникать или усиливаться негативные факторы организации сжигания с вертикальным вихрем [15].
Проведение исследований по анализу температурных полей, аэродинамической структуры потоков, изменения концентраций продуктов горения, эмиссии NOx и т. п. наиболее целесообразно с использованием апробированных пакетов прикладных программ. Например, таких как ANSYS Fluent, SigmaFlow, FIRE-3D, FlowVision и др. С таким подходом в работах [16, 17] выполнено численное исследование потоков жидкости и теплопередачи в энергетических котлах, а полученные результаты хорошо согласуются с экспериментальными данными.
Проводились также исследования характеристик выгорания топлива и эмиссии NOx. В работах [18, 19] отмечено, что организация ступенчатого сжигания является эффективной и экономичной технологией для дальнейшего снижения выбросов NOx при увеличении доли третичного дутья до 25 %.
Численный анализ результатов в исследованиях [20, 21] позволил оценить влияние угла ввода воздуха в раздельные сопла третичного дутья над основными горелочными устройствами в топке котла, сжигающей тощий уголь, на параметры топочной среды и выбросы NOx. По результатам исследования определено, что наличие сопел третичного дутья в верхней части топочной камеры является оптимальной конструкцией для снижения выбросов NOx и повышения экономической эффективности.
Таким образом, в данной работе на основании численного исследования проведен анализ аэродинамической структуры, концентраций продуктов сгорания и эмиссии NOx в топочной камере энергетического котельного агрегата с тангенциальной компоновкой горелочных устройств и сопел третичного дутья при изменении доли подаваемого воздуха на третичное дутье.
Объект исследования
К исследованию принята призматическая топочная камера энергетического котельного агрегата паропроизводительностью 210 т/час, стены ее экранированы трубами испарительных контуров естественной циркуляции (рис. 1). Шлак из топочной камеры удаляется в твердом состоянии, соответственно, нижняя часть топки сконструирована в виде холодной воронки. В верхней части, на выходе из топки, предусмотрен аэродинамический выступ на тыльном экране. Габариты топки составляют в горизонтальном сечении 7424×7808 мм при высоте 25050 мм.
Горелочные устройства прямоточные горизонтально-щелевые с чередованием подачи топливновоздушной смеси и вторичного воздуха, расположены в углах топочной камеры и направлены осями тангенциально к условной окружности диаметром 900 мм в центральной части топки. Ширина горелок 650 мм, высота щели для вторичного воздуха 400 мм, для топливновоздушной смеси 80 мм.
С целью снижения генерации NOx принята установка сопел третичного дутья выше основных горелочных устройств и также в углах топки, но с противоположной закруткой потока по отношению к горелкам и направленностью осей по касательной к условной окружности 700 мм, вокруг вертикальной оси топки (рис. 1). Выходное сечение сопел – 286×572 мм.
Рис. 1. Геометрическая модель топочной камеры: 1 – компоновка горелочных устройств; 2 – компоновка сопел
Fig. 1. Geometric model of the furnace chamber: 1 – burner arrangement; 2 – nozzle arrangement
Исследуемый объем ограничивается стенами топочной камеры от устья холодной воронки до выходного окна топочной камеры.
В качестве сжигаемого топлива рассматривается уголь Кузнецкого бассейна марки Д со следующими теплотехническими характеристиками рабочей массы: теплота сгорания 20,72 МДж/кг, зольность 10,2 %, влажность 17,6 %, содержание углерода 56 %, водорода 4 %, кислорода 10 %, серы 0,3 %, азота 1,9 %.
Математическая модель
Процесс выгорания пылеугольного топлива в топочном объеме включает физико-химические изменения, в частности сушку, выход летучих веществ, реакции окисления угля, турбулентное взаимодействие твердой фазы и газа, реакции горения и теплопередачу. Чтобы гарантировать высокое качество моделирования в соответствии с реальным объектом, сеточная модель охватывает полную геометрию топки с учетом положения входов первичного, вторичного и третичного потоков воздуха. Также для получения более точных результатов использовалась структурированная сетка со сгущением в области горелок и сопел третичного дутья. К расчету принята сеточная модель с достаточным количеством ячеек 115200.
Численное исследование выполнено с применением пакета прикладных программ FIRE-3D. Численные эксперименты проведены по усредненным по времени уравнениям массы, импульса, энтальпии, скорости, температуры и концентрации компонентов в топочном объеме.
Для моделирования параметров потока и горения применен Эйлеро-Лагранжев подход [22]. Соответственно непрерывная газовая фаза решается в эйлеровой постановке со стандартной k-ε-моделью турбулентности, в то же время дискретное движение частиц рассчитывается в лагранжевой постанове. Объединение расчета скорости и давления осуществляется на основе алгоритма сегрегированного полунеявного метода для уравнений, связанных с давлением (SIMPLE), для обеспечения сохранения массы и получения поля давлений [23]. Модель P1 принята для прогнозирования процесса лучистого теплообмена [24].
Считается, что в топку поступают полидисперсные частицы угольного топлива, содержание влаги в которых определяется значением влажности топлива после пылесистемы. Перемещаясь по топочному объему, частицы топлива продолжают нагреваться за счет радиационно-конвективного теплообмена, и сушка частиц продолжается в топке. При дальнейшем нагреве (выше 600 К) начинается выход летучих компонентов, их воспламенение, горение и догорание коксового остатка. Газовая среда в топке состоит из химически инертного молекулярного азота N2, двуокиси углерода СО2, паров воды H2O, а также реагирующих О2, СО и летучих.
Полидисперсность частиц топлива, поступающего в камеру горения, учитывается путем выделения основных фракций по функции Розина–Раммлера, определяющей рассевочные характеристики угольного топлива после помола.
Для моделирования расчета NOx использовался подход постобработки. В пылеугольных котлах образование NOx происходит в основном за счет термического, топливного и «быстрого» механизмов образования.
Термические NOx образуются, когда азот и кислород соединяются при относительно высокой температуре в средах с низким содержанием топлива. Топливные NOx образуются, если связанный в топливной частице азот соединяется с избытком кислорода. При этом механизмы эмиссии топливных NOx более сложные. В частности, отслеживание содержащих азот промежуточных соединений имеет важное значение, а HCN и NH3 являются доминирующими промежуточными компонентами. Предполагается, что 90 % азота из летучих веществ преобразуется в HCN, а остаток образует NH3 [25, 26]. HCN и NH3 реагируют с образованием NO в зонах с дефицитом топлива или до N2 в областях с дефицитом кислорода. Быстрые NOx образуются в результате реакции атмосферного азота с углеводородами из топлива в условиях низкой температуры и/или обогащенной топливом смеси.
Численные эксперименты проводились для базовой компоновки котельного агрегата, а также с учетом установки сопел третичного дутья. Для тестирования реконструируемого варианта проведены исследования влияния изменения доли третичного дутья на топочные процессы при соответственном уменьшении подачи в горелки вторичного воздуха и при неизменной доле первичного воздуха, являющегося транспортирующим агентом угольной пыли. В работе представлены варианты с долей третичного дутья 0,2, 0,3 и 0,4. Во всех принятых к численным расчетам вариантах суммарный коэффициент избытка воздуха составляет 1,2.
Расход топлива на котел составляет 6,6 кг/с, температура первичного воздуха 70 °С, вторичного 250 °С.
Результаты исследования
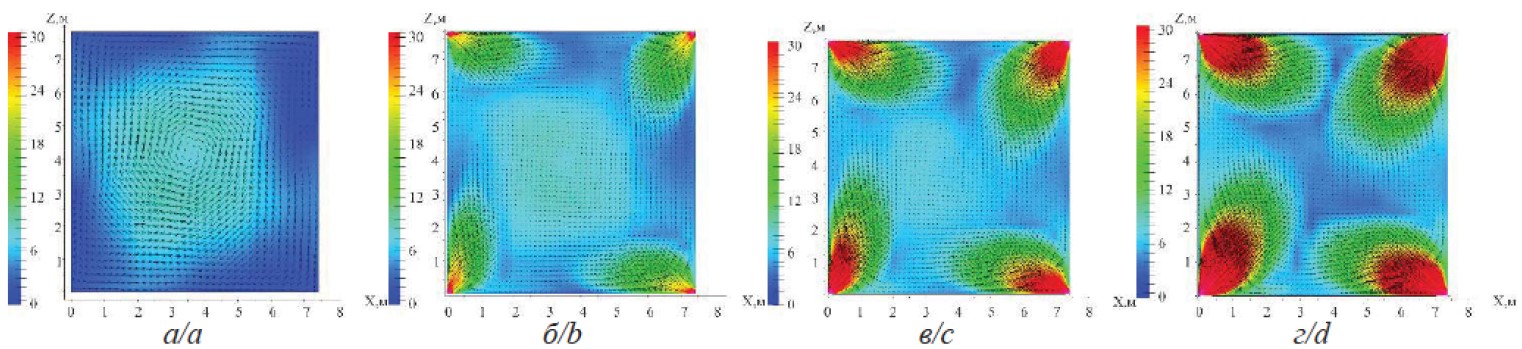
Процессы горения в пылеугольных котельных агрегатах в значительной степени зависят от гидродинамики в топочной камере. На рис. 2 представлены результаты численного моделирования распределения топочной среды по исследуемому объему и интенсивность восходящих потоков. Характерной особенностью тангенциальной компоновки прямоточных горелочных устройств является формирование вертикального вихря в центральной части топки (рис. 2, 3). Во всех исследованных вариантах наблюдается восходящий с различной интенсивностью вихрь, закрученный по часовой стрелке. В соответствии с тангенциальной схемой в центре сечения топки находится область низких скоростей и более высоких вблизи стен (рис. 3). С увеличением доли третичного дутья наблюдается уменьшение заполнения топочного объема как в области ниже горелочных устройств, так и в верхнем углу примыкания фронтового экрана к потолку (рис. 2).
Рис. 2. Распределение скоростей (м/с) в продольном сечении топочной камеры: а) базовая компоновка; б) доля третичного дутья 0,2; в) доля третичного дутья 0,3; г) доля третичного дутья 0,4
Fig. 2. Distribution of velocities (m/s) in the longitudinal section of the furnace chamber: a) basic layout; b) tertiary air fracion 0.2; c) tertiary air fraction 0.3; d) tertiary air fraction 0.4
Рис. 3. Распределение скоростей (м/с) в горизонтальном сечении топочной камеры на уровне горелочных устройств: а) базовая компоновка; б) доля третичного дутья 0,2; в) доля третичного дутья 0,3; г) доля третичного дутья 0,4
Fig. 3. Velocity distribution (m/s) in the horizontal section of the furnace chamber with tertiary air nozzles: a) basic layout; b) tertiary air fraction 0.2; c) tertiary air fraction 0.3; d) tertiary air fraction 0.4
С увеличением доли третичного дутья возрастает также неравномерность скоростного потока по высоте топочной камеры: так, на уровне горелочных устройств и ниже скорости потоков снижаются (в среднем составляют 2–8 м/с), а на уровне сопел возрастают до 16 м/с (рис. 2). Наличие градиента скоростей негативно отражается на перемешивании топлива и окислителя, тем самым вызывает неравномерности тепловосприятия как по стенам топки, так и в дальнейшем по поверхностям нагрева в горизонтальном газоходе.
На рис. 4 представлены результаты численных расчетов в горизонтальном сечении топочной камеры на отметке установки сопел третичного дутья. В базовом варианте (без сопел) наблюдается закрученный поток относительно центральной оси топки в соответствии с формированием потока горелочными устройствами (рис. 4, а). Наличие сопел третичного дутья выше горелочных устройств с противоположным направлением воздушных струй к условной окружности не приводят к изменению направления вращения вертикального вихря (рис. 4). Увеличение доли третичного дутья приводит к снижению скоростей потоков на выходе из горелочных устройств и, соответственно, к снижению взаимопроникновения и интенсивности смешения горелочных струй (рис. 3). Воздушные струи от сопел третичного дутья с ростом их расходов более интенсивно проникают вглубь топочного объема, активно заполняя его.
Распределение температурных полей в продольном сечении по центральной оси топки представлено на рис. 5. При различных соотношениях вторичного и третичного воздуха в области холодной воронки наблюдаются относительно низкие температуры, поскольку в данной зоне интенсивность горения более низкая. При этом стоит отметить, что при уменьшении доли вторичного дутья в основных горелочных устройствах наблюдается существенное изменение в распределении температур по топочному объему.
Рис. 4. Распределение скоростей (м/с) в горизонтальном сечении топочной камеры на уровне сопел третичного дутья: а) базовая компоновка; б) доля третичного дутья 0,2; в) доля третичного дутья 0,3; г) доля третичного дутья 0,4
Fig. 4. Distribution of velocities (m/s) in the horizontal section of the furnace chamber at the level of tertiary air nozzles: a) basic layout; b) tertiary air fraction 0.2; c) tertiary air fraction 0.3; d) tertiary air fraction 0.4
Так, в базовой компоновке, без сопел третичного дутья, на уровне расположения горелочных устройств наблюдается незначительная зона высоких температур у центральной оси топки (рис. 5, а). Под воздействием импульса горелочных струй область интенсивного горения смещается вверх, но при этом ниже горелок также наблюдается высокотемпературная зона, которая простирается до середины холодной воронки. В целом в основном объеме топочной камеры визуализируемая высота факела достигает 22 м (рис. 5, а).
При наличии сопел третичного дутья зона активного горения на отметке расположения горелок расширяется в соответствии с увеличением доли воздуха на третичное дутье (рис. 5), а вовлеченность объема холодной воронки в процесс интенсивного выгорания топлива снижается. Помимо расширения зоны активного горения отчетливо наблюдается увеличение длины факела вплоть до потолка топочной камеры.
Максимальное значение температуры при базовой компоновке составляет 1347 °С на высоте 11 м, при наличии сопел третичного дутья зона максимальных температур снижается до отметки 8 м и значение составляет 1428 °С при доле третичного воздуха 0,2, 1452 °С при доле третичного воздуха 0,3, 1436 °С при доле 0,4.
Рис. 5. Распределение температуры (К) в продольном сечении топочной камеры: а) базовая компоновка; б) доля третичного дутья 0,2; в) доля третичного дутья 0,3; г) доля третичного дутья 0,4.
Fig. 5. Temperature distribution (K) in the longitudinal section of the furnace chamber: a) basic layout; b) tertiary air fraction 0.2; c) tertiary air fraction 0.3; d) tertiary air fraction 0.4
Максимальное значение температур на выходе из топки составляет: в базовой компоновке 1050 °С, 1140 °С при доле третичного дутья 0,2, 1170 °С при доле третичного дутья 0,3 и 1195 °С при доле третичного дутья 0,4.
Расширение вихря на уровне горелочных устройств вследствие снижения скоростей вторичного воздуха при увеличении доли третичного дутья приводит к непосредственному контакту высокотемпературных продуктов сгорания с ограждающими экранами топки (рис. 5, 6).
Такой контакт продуктов сгорания наблюдается по высоте топки на пространстве между верхней образующей горелочных устройств и сопел третичного дутья из-за тормозящего эффекта, создаваемого соплами, под воздействием которого эффект расширения вертикального вихря усиливается. На уровне расположения сопел третичного дутья высокотемпературному контакту подвержены экраны лишь в центральной части стен (рис. 6).
Рис. 6. Распределение температуры (К) в горизонтальном сечении топочной камеры на уровне сопел третичного дутья: а) базовая компоновка; б) доля третичного дутья 0,2; в) доля третичного дутья 0,3; г) доля третичного дутья 0,4.
Fig. 6. Temperature distribution (K) in the horizontal section of the furnace chamber with tertiary air nozzles: a) basic layout; b) tertiary air fraction 0.2; c) tertiary air fraction 0.3; d) tertiary air fraction 0.4
Таким образом, можно полагать, что экраны топочной камеры на уровне зоны активного горения могут быть подвержены высокотемпературной коррозии и шлакованию. Разность тепловосприятия экранов в центральной части стен и в углах топки также может негативно отразиться на показателях надежности гидродинамических процессов в контурах циркуляции.
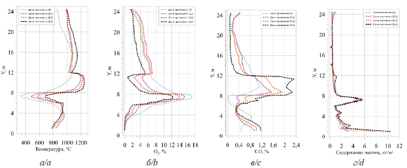
Прогнозируемые значения средних температур продуктов сгорания по высоте топочной камеры, концентрации O2 и CO, а также пылеугольных частиц представлены на рис. 7. В нижней части топки в районе середины холодной воронки средние температуры составляют около 950 °С во всех вариантах (рис. 7, а). Кривые средней температуры на уровне расположения горелочных устройств имеют наименьшие значения температур в связи с поступлением в топочный объем относительно холодных топливно-воздушной смеси и вторичного воздуха. Выше горелочных устройств при базовой их компоновке наблюдается постепенный рост температуры, достигающей наибольших значений на отметке 11 м, после которой температура снижается в процессе теплопередачи испарительным экранам. Несмотря на низкую стехиометрию, в вариантах с наличием сопел третичного дутья температура потока быстро увеличивается по мере начала процесса горения угля, достигая максимальных значений уже на высоте 9 м. Ввод третичного воздуха может приводить к повышению температуры в топочном объеме при реагировании недогоревшего углерода с воздухом или к охлаждению продуктов сгорания при его низкой температуре. Из полученных результатов видно, что на отметке расположения сопел температура снижается примерно до значений 1030 °С, но в дальнейшем преобладает выделение тепла от сгорания недогоревшего углерода (в особенности при доле третичного дутья 0,4), что и приводит к увеличению температуры на выходе из топки.
На рис. 7, б представлено сравнение концентраций O2. Наиболее высокая концентрация O2 наблюдается на высоте ввода первичного и вторичного воздуха из горелок в варианте без сопел третичного дутья, поскольку весь воздух подается на горение. По мере выгорания пылеугольного топлива концентрация кислорода постепенно снижается. Вместе с тем в вариантах с соплами третичного дутья отмечается второй пик повышенной концентрации O2, который соответствует зоне активного горения (рис. 7, а). Очевидно, что это способствует интенсивному реагированию с топливом и дожиганию CO. В среднем на выходе из топки концентрация O2 составляет 3 %.
При рассмотрении кривых концентрации CO по высоте топочной камеры можно отметить, что профили концентрации CO (рис. 7, в) противоположны профилям концентрации O2 (рис. 7, б). Более низкая стехиометрия в вариантах с наличием сопел третичного дутья приводит к появлению областей с большим содержанием CO в зоне активного горения, поскольку CO является промежуточным продуктом горения как летучих веществ, так и углерода топливных частиц, и, следовательно, снижение скорости диффузии кислорода на поверхности пылеугольных частиц приводит к замедлению окисления. Наиболее крупная зона с высоким содержанием CO по высоте топки представлена при доле третичного дутья 0,4. Концентрация CO практически не изменяется на уровне отметок от 8 до 12 м, а на уровне ввода третичного воздуха резко сокращается, даже до более низких значений по отношению к другим вариантам.
Рис. 7. Распределение среднеинтегральной величины в горизонтальных сечениях по высоте топки: а) температуры; б) кислорода; в) угарного газа; г) частиц
Fig. 7. Distribution of the mean integral value in horizontal sections along the height of the furnace of: a) temperature; b) oxygen concentration; c) CO concentration; d) particle content
Существенное снижение CO в данном варианте обусловлено вводом большого количества воздуха с высокой проникающей способностью в область с высокими температурами. На выходе из топочной камеры концентрация CO незначительна во всех исследованных вариантах, свидетельствуя о том, что изменение соотношения долей вторичного и третичного воздуха не оказывает существенного влияния на увеличение потерь с недожогом CO, что согласуется с работами [27, 28].
При увеличении доли третичного воздуха более 20 % происходит существенное накопление топливных частиц в холодной воронке (рис. 7, г). При доле третичного воздуха 0,4 концентрация частиц в холодной воронке увеличивается в 2,5 раза по сравнению с базовым вариантом. На реальном котельном агрегате это может привести к увеличению содержания горючих веществ в удаляемом шлаке. В дальнейшем по высоте топочной камеры профили концентраций частиц существенно не различаются.
Из анализа результатов концентрации NOx в топочном объеме выявлено, что наличие сопел третичного дутья существенно не повлияло на снижение NOx, поскольку перераспределение воздуха в верхнюю часть топочной камеры привело к догоранию топлива в выходном окне с повышением температуры на выходе из топки. Так, в базовой компоновке средняя концентрация NOx при коэффициенте избытка воздуха 1,4 составила 370 мг/м3, при доле третичного дутья 0,2 – 320 мг/м3, при доле 0,3 – 355 мг/м3, а при доле 0,4 – 502 мг/м3. Соответственно можно отметить, что для данного объекта исследования нецелесообразно глубокое снижение стехиометрии в ядре факела, а также необходимость увеличения высоты между отметкой расположения горелочных устройств и сопел третичного дутья.
Заключение
Численно исследованы температуры, концентрации продуктов сгорания и NOx для топочной камеры с тангенциальной компоновкой прямоточных горелочных устройств применительно к вариантам с различным соотношением третичного и вторичного воздуха, подаваемых в объем топочной камеры, и к варианту без ступенчатого сжигания. Во всех исследованных вариантах общий коэффициент избытка воздуха на выходе из топки составлял 1,2.
Выявлено, что при установке сопел третичного дутья с противоположным относительно тангенциально закрученного факела направлением крутки вертикальный вихрь не изменяет направления вращения даже при доле третичного дутья 0,4. С увеличением доли третичного дутья увеличивается градиент скоростей по высоте топочной камеры, что приводит к низкой загрузке топочного объема ниже горелочных устройств.
Результаты распределения температур показывают, что с увеличением расхода воздуха на третичное дутье выгорание пылеугольных частиц затягивается и наблюдается активное догорание на выходе из топки, что приводит к повышению температуры перед пароперегревателем. При установке сопел третичного дутья происходит расширение вертикально вихря до непосредственного контакта раскаленных продуктов сгорания с экранными поверхностями.
С увеличением перераспределения воздуха на третичное дутье возможно существенное выпадение топливных частиц на скаты холодной воронки. При доле третичного дутья 0,4 концентрация частиц в области холодной воронки выше в 2,5 раза по сравнению с базовым вариантом.
Из анализа результатов эмиссии NOx выявлено, что при исследованной компоновке топочной камеры данных габаритов влияние ступенчатого ввода воздуха на уменьшение концентрации NOx незначительно и увеличение доли третичного дутья более 0,2–0,25 нецелесообразно.
В целом результаты работы свидетельствуют о полезности увеличения расстояния между местом ввода третичного воздуха и горелочными устройствами, а также увеличения количества сопел для их установки на ряду с угловым расположением еще и по середине ширины стен топки.
***
Благодарности: Исследование выполнено за счет гранта Российского научного фонда № 23-29-00274, https://rscf.ru/project/23-29-00274.
Acknowledgements: The research was carried out under the support of the grant of the Russian Science Foundation (Project no. 23-29-00274, https://rscf.ru/project/23-29-00274).
About the authors
Andrey V. Gil
National Research Tomsk Polytechnic University
Author for correspondence.
Email: angil@tpu.ru
ORCID iD: 0000-0001-6816-7876
Cand. Sc., Associate Professor
Russian Federation, 30, Lenin avenue, Tomsk, 634050Kirill I. Maltsev
National Research Tomsk Polytechnic University
Email: kim3@tpu.ru
Postgraduate Student
Russian Federation, 30, Lenin avenue, Tomsk, 634050Nikita V. Abramov
National Research Tomsk Polytechnic University
Email: nva12@tpu.ru
Postgraduate Student
Russian Federation, 30, Lenin avenue, Tomsk, 634050Alexander S. Zavorin
National Research Tomsk Polytechnic University
Email: zavorin@tpu.ru
Dr. Sc., Professor
Russian Federation, 30, Lenin avenue, Tomsk, 634050Stanislav A. Puzyrev
National Research Tomsk Polytechnic University
Email: sap34@tpu.ru
Student
Russian Federation, 30, Lenin avenue, Tomsk, 634050References
- BP Statistical Review of World Energy – 2021. BP p.l.c. 2021. Available at: https://www.bp.com/content/dam/bp/business-sites/en/global/corporate/pdfs/energy-economics/statistical-review/ bp-stats-review-2021-global-insights.pdf (accessed 29 October 2024).
- Glushkov D.O., Matiushenko A.I., Nurpeiis A.E., Zhuikov A.V. An experimental investigation into the fuel oil-free start-up of a coal-fired boiler by the main solid fossil fuel with additives of brown coal, biomass., and charcoal for ignition enhancement. Fuel Processing Technology, 2021, vol. 223, 106986. doi: 10.1016/j.fuproc.2021.106986.
- Chang J., Wang X., Zhou Z., Chen H., Niu Y. CFD modeling of hydrodynamics, combustion, and NOx emission in a tangentially fired pulverized-coal boiler at low load operating conditions. Advanced Powder Technology, 2021, vol. 32, no. 2, pp. 290–303. doi: 10.1016/j.apt.2020.12.008.
- Ochowiak M., Bielecki Z., Krupińska A., Matuszak M., Włodarczak S., Bielecki M., Choiński D., Smyła J., Jagiełło K. Pulverized coal-fired boilers: future directions of scientific research. Energies, 2023, vol. 16, no. 2, pp. 935. doi: 10.3390/en16020567.
- Jeon M., Lee E., Kim M., Jegal H., Park S., Chi J.H. Nitric oxide (NO) and nitrous oxide (N₂O) emissions during selective non-catalytic reduction and selective catalytic reduction processes in a pulverized coal/ammonia co-fired boiler. Journal of Environmental Chemical Engineering, 2023, vol. 11 (2), 109398. doi: 10.1016/j.jece.2023.109398.
- Alekhnovich A.N. Reconstruction and new boilers of domestic thermal power plants. Vologda, Infra-Engineering Publ., 2022. 320 p. (In Russ.)
- ITS 38-2022. Combustion of fuel in large installations for energy production: information and technical handbook on best available techniques. Moscow, Bureau of NDT Publ., 2022. 275 p. (In Russ.)
- Gil A.V., Zavorin A.S., Koksharev O.M., Vorontsova E.S. Numerical study of the effect of excess primary air on combustion processes in the furnace chamber of a power boiler with multi-channel vortex burners. Bulletin of the Tomsk Polytechnic University. Geo Assets Engineering, 2020, vol. 331, pp. 18–27. (In Russ.) doi: 10.18799/24131830/2020/9/2801.
- Alekhnovich A.N. Air and fuel distribution to boiler burners. Vologda, Infra-Engineering Publ., 2023. 128 p. (In Russ.)
- Shulman V.L., Ryzhkov A.F., Bogatova T.F. Development of furnace technologies in Russian energy. Ed. by B.V. Berg. Yekaterinburg, Ural University Publ. House, 2016. 504 p. (In Russ.)
- Choi C.R., Kim C.N. Numerical investigation on the flow, combustion, and NOx emission characteristics in a 500MWe tangentially fired pulverized-coal boiler. Fuel, 2009, vol. 88, no. 9, pp. 1720–1731. doi: 10.1016/j.fuel.2009.04.001.
- Belosevic S., Sijercic M., Oka S., Tucakovic D. Three-dimensional modeling of utility boiler pulverized coal tangentially fired furnace. International Journal of Heat and Mass Transfer, 2006, vol. 49, no. 19, pp. 3371–3378. doi: 10.1016/j.ijheatmasstransfer.2006.03.022.
- Fan J., Qian L., Ma Y., Sun P., Cen K. Computational modeling of pulverized coal combustion processes in tangentially fired furnaces. Chemical Engineering Journal, 2001, vol. 81, no. 1, pp. 261–269. doi: 10.1016/S1385-8947(00)00212-6.
- Chen S., He B., He D., Cao Y., Ding G., Liu X. Numerical investigations on different tangential arrangements of burners for a 600 MW utility boiler. Energy, 2017, vol.122, pp. 287–300. doi: 10.1016/j.energy.2017.01.093.
- Gil A.V., Maltsev K.I., Abramov N.V., Zavorin A.S., Starchenko A.V. Combustion in a chamber furnace with a tangentially swirling vortex. Bulletin of the Tomsk Polytechnic University. Geo Assets Engineering, 2024, vol. 335, no. 2, pp. 7–16. doi: 10.18799/24131830/2024/2/4475. (In Russ.)
- Gómez A., Fueyo N., Díez L.I. Modelling and simulation of fluid flow and heat transfer in the convective zone of a power-generation boiler. Applied Thermal Engineering, 2008, vol. 28, no. 5, pp. 532–546. doi: 10.1016/j.applthermaleng.2007.04.019.
- Modlinski N. Computational modeling of a utility boiler tangentially-fired furnace retrofitted with swirl burners. Fuel Processing Technology, 2010, vol. 91, no. 11, pp. 1601–1608. doi: 10.1016/j.fuproc.2010.06.008.
- Li Y., Fan W. Effect of char gasification on NOx formation process in the deep air-staged combustion in a 20kW down flame furnace. Applied Energy, 2016, vol. 164, pp. 258–267. doi: 10.1016/j.apenergy.2015.11.048.
- Zhang X., Zhou J., Sun S., Sun R., Qin M. Numerical investigation of low NOx combustion strategies in tangentially-fired coal boilers. Fuel, 2015, vol. 142, pp. 215–221. doi: 10.1016/j.fuel.2014.11.026.
- Ma L., Fang Q., Tan P., Zhang C., Chen G., Lv D. Effect of the separated overfire air location on the combustion optimization and NOx reduction of a 600MWe FW down-fired utility boiler with a novel combustion system. Applied Energy, 2016, vol. 180, pp. 104–115. doi: 10.1016/j.apenergy.2016.07.102.
- Ma L., Yu S., Fang Q., Zhang C., Chen G. Effect of separated over-fire air angle on combustion and NOx emissions in a down-fired utility boiler with a novel combustion system. Process Safety and Environmental Protection, 2020, vol. 138, pp. 57–66. doi: 10.1016/j.psep.2020.03.005.
- Rawlins B.T., Laubscher R., Rousseau P. A fast thermal non-equilibrium eulerian-eulerian numerical simulation methodology of a pulverised fuel combustor. Thermal Science and Engineering Progress, 2023, vol. 41, pp. 101842. doi: 10.1016/j.tsep.2023.101842.
- Li Z., Yi Q., Zhang Y., Zhou H., Zhao Y., Huang Y. Numerical study and design strategy for a low emission coke oven system using oxy-fuel combustion of coke oven gas. Journal of Cleaner Production, 2020, vol. 252, pp. 119656. doi: 10.1016/j.jclepro.2019.119656.
- Jin W., Si F., Cao Y., Ma H., Wang Y. Numerical optimization of separated overfire air distribution for air staged combustion in a 1000 MW coal-fired boiler considering the corrosion hazard to water walls. Fuel, 2022, vol. 309, pp. 122022. doi: 10.1016/j.fuel.2021.122022.
- Winter F., Wartha C., Löffler G., Hofbauer H. The NO and N₂O formation mechanism during devolatilization and char combustion under fluidized-bed conditions. Symposium (International) on Combustion, 1996, vol. 26, no. 2, pp. 3325–3334. doi: 10.1016/S0082-0784(96)80180-9.
- Vizgavljust N.V., Starchenko A.V., Gil A.V., Taylasheva T.S. The processes of formation of nitrogen oxides in the boiler furnace BKZ 320-140. EPJ Web of Conferences, 2015, vol. 82, pp. 01040. doi: 10.1051/epjconf/20158201040.
- Liu G., Chen Z., Li Z., Li G., Zong Q. Numerical simulations of flow, combustion characteristics, and NOx emission for down-fired boiler with different arch-supplied over-fire air ratios. Applied Thermal Engineering, 2015, vol. 75, pp.1034–1045. doi: 10.1016/j.applthermaleng.2014.10.062.
- Wu Y., Wen Z., Shen Y., Fang Q., Zhang C., Chen G. Effects of over fire air on the combustion and NOx emission characteristics of a 600 MW opposed swirling fired boiler. Advanced Materials Research, 2012, vol. 512–515, pp. 2135–2142. doi: 10.4028/ href='www.scientific.net/AMR.512-515.2135' target='_blank'>www.scientific.net/AMR.512-515.2135.
Supplementary files









