Синтетические повреждения с флуоресцеинкарбамоильной группировкой как аналоги объемных повреждений, удаляемых системой эксцизионной репарации нуклеотидов. Сравнительное исследование свойств
- Авторы: Попов А.А.1, Голышев В.М.1, Королева Л.С.1, Назаров К.Д.1, Анарбаев Р.О.1, Петрусева И.О.1
-
Учреждения:
- Институт химической биологии и фундаментальной медицины СО РАН
- Выпуск: Том 16, № 3 (2024)
- Страницы: 74-82
- Раздел: Экспериментальные статьи
- URL: https://bakhtiniada.ru/2075-8251/article/view/270917
- DOI: https://doi.org/10.32607/actanaturae.27419
- ID: 270917
Цитировать
Аннотация
Система эксцизионной репарации нуклеотидов млекопитающих (ЭРН) с широкой субстратной специфичностью удаляет из ДНК объемные повреждения. В работе системы ЭРН принимает участие более 30 белков. Большое число белков-участников, существование двух ветвей ЭРН (общегеномная репарация и репарация, ассоциированная с транскрипцией), необходимость в использовании протяженных ДНК-субстратов, а также объемные повреждения, индуцируемые в ДНК в ходе химиотерапии, направляют усилия исследователей в сторону поиска эффективных методов оценки активности ЭРН и модельных ДНК, имеющих выраженные субстратные свойства в реакции удаления повреждения. В данной работе проведено сравнительное исследование свойств модельных ДНК, содержащих объемные повреждения, одно из которых – N-[6-(5(6)-флуоресцеинилкарбамоил)гексаноил]-3-амино-1,2-пропандиол (nFluL), эффективно распознается и элиминируется из ДНК системой ЭРН; второе, N-[6-(5(6)-флуоресцеинилкарбамоил)]-3-амино-1,2-пропандиол (nFluS), ранее для создания субстратов системы ЭРН не использовали. Оценка эффективности специфической эксцизии этих повреждений белками ЭРН-компетентного клеточного экстракта, проведенная методом 3’-концевого мечения продуктов эксцизии, показала, что удаление nFluS происходит в 2 раза более эффективно. Результаты сравнительного анализа влияния nFluL и nFluS на геометрию и термостабильность ДНК-дуплексов, а также результаты спектрофотометрического и спектрофлуориметрического титрования nFluL- и nFluS-ДНК комплементарной цепью ДНК позволяют заключить, что отсутствие в структуре nFluS протяженного гибкого линкера меняет характер взаимодействия объемного флуоресцеинового фрагмента ненуклеозидного повреждения с азотистыми основаниями соседних звеньев дцДНК и ассоциировано с эффективным удалением этого синтетического аналога объемного повреждения из модельного ДНК-субстрата.
Полный текст
СПИСОК СОКРАЩЕНИЙ
ЭРН – эксцизионная репарация нуклеотидов; ОГ-ЭРН – общегеномная ЭРН; nFluL – N-[6-(5(6)-флуоресцеинилкарбамоил)гексаноил]-3-амино-1,2-пропандиол; nFluS – N-[6-(5(6)-флуоресцеинилкарбамоил)]-3-амино-1,2-пропандиол; ОДН – олигодезоксирибонуклеотид.
ВВЕДЕНИЕ
Поддержание целостности и стабильности генома обеспечивается механизмами репарации ДНК. Одним из таких механизмов является эксцизионная репарация нуклеотидов (ЭРН), ответственная за удаление объемных повреждений. Как правило, это ковалентные аддукты, присутствие которых вносит существенные изменения в регулярную структуру ДНК. В результате многостадийного процесса, в ходе которого белки последовательно формируют на ДНК в районе повреждения многосубъединичные комплексы переменного состава, повреждение распознается и удаляется из ДНК в составе окружающего его фрагмента цепи размером от 24 до 32 нуклеотидов. Исходная последовательность восстанавливается действием репарационных полимераз и ДНК-лигаз с использованием неповрежденной цепи ДНК в качестве матрицы. Различают две ветви ЭРН – независимую от функционального состояния генома, так называемую общегеномную ЭРН (ОГ-ЭРН), и репарацию, ассоциированную с транскрипцией [1, 2].
Система ЭРН характеризуется широкой специфичностью и удаляет из ДНК повреждения разной структуры: продукты, возникающие при воздействии УФ- и радиоактивного излучения, химически активных веществ из внешней среды, например, полициклических ароматических углеводородов и их активных метаболитов, диолэпоксидов. Действие многих химиопрепаратов также основано на формировании объемных аддуктов с ДНК. Изучению механизма ЭРН посвящено большое количество исследований. К настоящему времени обнаружены основные белки-участники ЭРН в клетках живых организмов, определены их функции, характер белковых взаимодействий и основные этапы данного процесса [1, 3]. Тем не менее многие детали механизма ЭРН и работы конкретных белков остаются неясными и продолжают изучаться на уровне белково-нуклеиновых комплексов [4–7]. Большой интерес – как фундаментальный, так и прикладной – вызывает сравнительная оценка активности ЭРН in vitro. Для оценки активности ОГ-ЭРН в таких исследованиях наиболее широко используются модельные субстраты, представляющие собой протяженные (не менее 120 п.н.) линейные ДНК-дуплексы, одна из цепей которых содержит во внутренней позиции объемное повреждение [8–11]. Подобные дуплексы различной длины используют и при изучении механизмов взаимодействия с поврежденной ДНК рекомбинантных белков, отвечающих за протекание обеих ветвей ЭРН [7, 12], а также при изучении функционирования ЭРН в контексте нуклеосом [4].
Модельные ДНК часто создают с использованием синтетических аналогов повреждений, вводимых в ДНК с помощью автоматического синтеза, что налагает определенные требования на свойства включаемого в цепь ДНК модифицированного звена [13]. Таким образом, поиск аналогов объемных повреждений, структура которых, с одной стороны, обеспечивает их эффективное удаление системой ЭРН, а с другой – позволяет стабильно и с высокой эффективностью встраивать модифицированные звенья в модельные ДНК, является актуальной задачей. Модельные ДНК, содержащие такие повреждения, могут использоваться для оценки активности системы ЭРН, в том числе в практических целях, для понимания того, насколько активно те или иные клетки могут противостоять появлению индуцированных проведением химиотерапии или спонтанных повреждений, а также как инструмент для изучения деталей механизма работы этой системы репарации.
В данной работе предпринято сравнительное изучение свойств модельных ДНК-дуплексов, содержащих синтетические объемные повреждения, различающиеся способом соединения N-[6-(5(6)-флуоресцеинилкарбамоильного фрагмента с пропандиольной вставкой. С использованием ДНК, содержащей N-[6-(5(6)-флуоресцеинилкарбамоил)- гексаноил]-3-амино-1,2-пропандиол (nFluL), который эффективно удаляется белками системы ЭРН, проведены сравнительные исследования активности ЭРН в экстрактах клеток различных млекопитающих [14–17]. N-[6-(5(6)-флуоресцеинилкарбамоил)]-3-амино-1,2-пропандиол (nFluS) в качестве модельного повреждения ранее не исследовали (рис. 1).
Рис. 1. Синтетические аналоги повреждений, используемые в работе. nFluL – N-[6-(5(6)-флуоресцеинилкарбамоил)гексаноил]-3-амино-1,2-пропандиол; nFluS – N-[6-(5(6)-флуоресцеинилкарбамоил)]-3-амино-1,2-пропандиол
Структура повреждения nFluS, не содержащего гексаноильный линкер, выбрана на основании результатов наших работ, в которых была проанализирована эффективность первичного распознавания комплексами белка XPC участка ДНК, содержащего повреждение, и проверки наличия в дестабилизированной области дцДНК объемного повреждения, осуществляемой АТР-зависимой 5’→3’-хеликазой XPD – субъединицей комплекса TFIIH. Выбрав для анализа несколько модельных ДНК, содержащих повреждения, которые с разной эффективностью удаляются белками системы ЭРН, мы показали, что самое высокое сродство XPD проявляет к nFlu-содержащей модельной ДНК [18]. Результаты моделирования молекулярной динамики показали, что наличие протяженного гибкого линкера позволяет флуоресцеиновому фрагменту менять расположение и взаимодействовать с несколькими участками дцДНК, окружающей повреждение, в том числе и с 3’-стороны от повреждения, вызывая дестабилизацию структуры ДНК в этой области [17, 18]. Связывание XPC с расположенным таким образом участком дестабилизированной ДНК приводит к формированию непродуктивных для репарации комплексов XPC–ДНК, поскольку связавшийся с 3’-стороны от повреждения и продвигающийся в направлении 5’→3’ верифицирующий комплекс TFIIH с повреждением не сталкивается и покидает ДНК [19, 20]. Наиболее детальное представление о структуре и взаимодействиях объемных повреждений ДНК обеспечивают методы ЯМР, однако для таких исследований необходимы миллиграммовые количества образцов ДНК, несущей повреждение.
Помимо сравнительной оценки эффективности специфической эксцизии nFluS и nFluL белками ЭРН-компетентного экстракта клеток HeLa, нами методом термической денатурации с оптической регистрацией сигнала определена также степень влияния nFluS или nFluL во внутренней позиции одной из цепей ДНК-дуплексов (16 п.н.) на геометрию дцДНК и ее термостабильность. Кроме того, проведены эксперименты по спектрометрическому титрованию, в результате которых получены данные о характере взаимодействия полициклических фрагментов объемных повреждений с азотистыми основаниями соседних звеньев ДНК [21].
ЭКСПЕРИМЕНТАЛЬНАЯ ЧАСТЬ
Материалы
ЭРН-компетентный экстракт клеток HeLa был приготовлен по стандартной методике [22]. Использовали Т4-полинуклеотидкиназу, Т4-ДНК-лигазу и Taq-ДНК-полимеразу производства «Биосан» (Россия), протеиназу К (Sigma, СШA), EDTA, Tris, Hepes, дитиотреитол (DТТ, Sigma). Олигодезоксирибонуклеотиды (ОДН) синтезировали в Лаборатории биомедицинской химии ИХБФМ СО РАН, использованные при синтезе амидофосфиты были производства («НаноТех-С», Россия), [γ-32Р]-АТР (3000 Ки/ммоль) и [α-32P]-dСTP (3000 Ки/ммоль) произведены в ИХБФМ СО РАН. В работе также использовали DEAE-фильтры DE-81 (Whatman, Великобритания), мочевину, N,N′-метиленбисакриламид (Amresco, США), акриламид (Applichem, ФРГ), TEMED (Helicon, Россия). Использовали также: PSA, MgCl2, NaCl, H3BO3, NaOH, NaCac, LiClO4, (NH4)2SO4, HCl, ацетон.
Нуклеотидные последовательности всех ОДН, использованных в работе, приведены в табл. 1.
Таблица 1. ОДН, использованные в работе
№ | Последовательность | Длина, н. | Описание |
1 | P-5′-atccagggсgacggtg | 16 | Немодифицированная цепь (серединное звено) |
2 | P-5′-atccagggmSgacggtg | 16 | ОДН с ненуклеотидным звеном, несущим остаток флуоресцеина (nFluS), для включения в верхнюю цепь (серединное звено, ОДН-2) |
3 | P-5′-atccagggmLgacggtg | 16 | ОДН с ненуклеотидным звеном, несущим остаток флуоресцеина и с линкером на основе аминогексановой кислоты (nFluL), для включения в верхнюю цепь (серединное звено верхней цепи, ОДН-3) |
4 | P-5′-caccgtcgccctggat | 16 | Нижняя цепь без модификации |
5 | 5′-tggacgatatcccgcaagaggcccggcagtaccggcataaccaagcctatgcctacagc | 59 | 5′-компонента для верхней цепи (левое плечо верхней цепи) |
6 | P-5′-ccgaggatgacgatgagcgcattgttagatttcatacacggtgcctgactgcgttagcaatt | 62 | 3′-компонента для верхней цепи (правое плечо верхней цепи) |
7 | 5′-catcctcggcaccgtcgccctggatgctgtaggcatag | 38 | Комплементарная цепь для лигирования трех фрагментов верхней цепи базовой последовательности |
8 | 5′- tgcgctcatcgtcatcctcggcaccgtcgccctggatgctgtaggcataggctt | 54 | Нижняя немодифицированная цепь (серединное звено для нижней цепи, ОДН-7) |
9 | 5′-gggggcgtaccttgtgagcaatcgtgttcatcat-P | 34 | Матрица для достройки продуктов эксцизии [α-³²P]-dCMP |
10 | 5′-P-ggttatgccggtactgccgggcctcttgcgggatatcgtcca | 42 | 3′-компонента для нижней цепи (правое плечо нижней цепи) |
11 | 5′-cgatgagcgcattgttagatttc | 23 | Комплементарная цепь для лигирования ОДН-7 и левого плеча нижней цепи |
12 | 5′-agtaccggcataaccaagcctatgcc | 26 | Комплементарная цепь для лигирования ОДН-7 и правого плеча нижней цепи |
Синтез протяженных модельных ДНК
Протяженные модельные ДНК 137 п.н. синтезировали с использованием ОДН 1–3 и 5–12 и Т4-ДНК-лигазы как описано ранее [14]. Последовательности ОДН и протяженных модельных ДНК не отличались от использованных нами ранее.
Оценка субстратных свойств модельных ДНК-дуплексов, содержащих флуоресцеиновые аддукты
Для сравнительного анализа эффективности специфической эксцизии использовали метод 3’-концевого мечения продуктов эксцизии [14]. Реакционную смесь для проведения реакции (30 мкл), которая содержала 16 нМ ДНК-субстрат, 1.6 мг/мл NER-компетентного экстракта клеток и 0.5 мкМ матричный ОДН-9 для гибридизации продуктов эксцизии, в буфере (25 мМ Тris-HCl, pH 7.8; 45 мМ NaCl; 4.4 мМ MgCl2; 0.1 мМ EDТА; 4 мМ ATP) инкубировали при 30°C в течение 10–40 мин. Для инактивации реакции смесь нагревали до 95°С, после чего охлаждали до комнатной температуры. После добавления 3 мкл смеси, содержащей 100 мкМ dATP, dGTP и dTTP, 5 ед. Taq-ДНК-полимеразы и 500–750 Бк [α-32P]-dCTP, смесь инкубировали при 37°С в течение 5 мин, затем добавляли 0.5 мкл 50 мкМ dCTP, после чего инкубировали в течение еще 15 мин. Реакцию останавливали, добавляя раствор протеиназы К (4 мкг/мл), 10% SDS (по 1 мкл) и выдерживая смесь в течение 30 мин при 37°С. Продукты реакции переосаждали в 96% этаноле, после чего центрифугировали при 12000 g (4°С), отмывали в 70% этаноле, а полученный осадок растворяли в воде. Продукты реакции разделяли электрофорезом в полиакриламидном геле (ПААГ) в денатурирующих условиях. Гели, содержащие радиоактивно меченные образцы ДНК, анализировали с помощью радиолюминесцентного экрана Imaging Screen-K (Kodak, США) с последующим сканированием на GE Typhoon FLA 9500. Для количественного анализа результатов использовали программу Quantity One.
Определение угла изгиба ДНК-дуплексов
Угол изгиба дуплексов рассчитывали на основе данных об электрофоретической подвижности в неденатурирующих условиях (10% ПААГ, 1 × TBE, 4°С) по формуле:
,
где μмодиф и μнемодиф – электрофоретические подвижности дуплексов при разделении в неденатурирующем геле.
Оценка термостабильности ДНК-дуплексов методом термической денатурации с оптической регистрацией сигнала
В экспериментах использовали спектрофотометр Cary 300-Bio (Varian, Австралия), оборудованный шестисекционным элементом Пельтье для изменения температуры, и кварцевые кюветы с длиной оптического пути 0.2 см. Использовали диапазон температур 5–95°С. Температуру образца в каждой кювете откалибровывали с использованием термопар Temperature Probes Series II (Varian, Австралия). Измерения проводили на длинах волн 260, 270 и 300 нм (базовая линия; ширина щели 1 нм, время усреднения сигнала 1 с, скорость изменения температуры 0.5°С/мин). Все образцы для термической денатурации растворяли в деионизированной воде Mili-Q и в 10-мМ какодилатном буфере (CH3)2AsO2Na pH 7.2, 0.1 М NaCl. Значения термодинамических параметров рассчитывали, обрабатывая данные об изменении оптической плотности при нагреве и охлаждении на длинах волн 260 и 270 нм путем подгонки теоретических кривых в рамках приближения модели двух состояний с помощью программы Simplex. Базу данных, характеризующую термостабильность ДНК-комплексов, формировали в MS Excel.
Спектрометрическое титрование
Спектрометрическое титрование проводили c использованием 16-звенных ОДН (табл. 1). Были приготовлены две серии образцов, которые содержали ОДН-2 (nFluS-ОДН) или ОДН-3 (nFluL-ОДН) в постоянной концентрации (5.4 мкМ) и комплементарную цепь (ОДН-4), концентрация которой варьировала от 1.25 до 5.4 мкМ, в 20 мМ Tris-HCl-буфере рН 8.0, содержащем 50 мМ NaCl. Контрольные образцы содержали только ОДН с модификацией. Образцы инкубировали в течение 5 мин при температуре 95°С в 1 × TE, затем охлаждали со скоростью 1°С/мин до комнатной температуры для формирования дуплекса. Спектры образцов были записаны с использованием спектрофлуориметра Clariostar plate reader (BMG Labtech, ФРГ) в UV-прозрачных планшетах Corning 3635.
Для полученных данных определяли стандартное отклонение по формуле:
,
где n – объем выборки; xi – i-й элемент выборки; – среднее арифметическое выборки. Планки погрешностей на всех рисунках представляют собой стандартные отклонения, полученные на основе не менее трех независимых экспериментов.
РЕЗУЛЬТАТЫ И ОБСУЖДЕНИЕ
Сравнительная оценка эффективности удаления nFluL и nFluS из модельных ДНК в реакции специфической эксцизии
Влияние структурных различий nFluL и nFluS на эффективность их удаления из ДНК-субстратов оценивали с помощью метода концевого мечения продуктов специфической эксцизии (рис. 2А) [14]. В качестве субстратов эксцизионной репарации нуклеотидов использовали протяженные (137 п.н.) ДНК-дуплексы, содержащие во внутренней (68) позиции одной из цепей ненуклеотидное звено nFluL или nFLuS. Модельные ДНК-субстраты инкубировали в течение 0–40 мин при 30°C с белками экстракта клеток HeLa. После остановки реакции продукты специфической эксцизии (фрагменты цепи ДНК длиной 24–32 нуклеотидов, содержащие повреждение) гибридизовали с присутствующей в реакционной смеси матрицей (табл. 1, ОДН-9), комплементарной содержащему повреждение участку цепи ДНК (рис. 2А). Далее проводили достройку продуктов специфической эксцизии, гибридизованных на матрице, с помощью Taq-ДНК-полимеразы, а также смеси dNTP и [α-32P]-dСTP, благодаря чему происходило 32P-мечение продуктов специфической эксцизии. Длина продуктов эксцизии после достройки составила, в основном, 34 нуклеотида. Продукты эксцизии разделяли с помощью электрофореза в ПААГ в денатурирующих условиях (рис. 2Б). На основе данных об интенсивности полос, соответствующих 34 нуклеотидам, были построены графики зависимости относительной эффективности эксцизии от времени инкубации с белками экстракта (рис. 2В).
Рис. 2. Сравнительная оценка эффективности удаления nFluL или nFluS из модельных ДНК в реакции специфической эксцизии, катализируемой белками экстракта клеток HeLa. А – схематическое представление процедуры оценки эксцизионной активности ЭРН in vitro методом концевого мечения продуктов специфической эксцизии (адаптировано из [14, 23]); Б – радиоавтограф геля после разделения продуктов реакции эксцизии; В – график зависимости относительной эффективности эксцизии поврежденного участка ДНК от времени инкубации с белками ЭРН. Значения для кривых рассчитывали с учетом интенсивности сигнала продуктов длиной 34 н.
Как видно из представленных результатов, на всем временном промежутке удаление nFluS из модельной ДНК происходило в 1.5–2 раза более эффективно, чем nFluL. Проведение последующих экспериментов позволило получить и сравнить данные об индуцированных этими объемными повреждениями изменениях геометрии дцДНК и ее стабильности – характеристик, от которых зависит эффективность удаления повреждений ДНК системой ЭРН.
Особенности геометрии модельных ДНК, содержащих объемную модификацию nFluL или nFluS
Перегиб сахарофосфатного остова в месте расположения объемного повреждения – одно из нарушений регулярной двухцепочечной структуры ДНК, распознаваемых на этапе первичного узнавания места повреждения. Величина перегиба зависит от типа повреждения и окружающей его последовательности [24]. Чем больше перегиб ДНК-дуплексов, который вызывает присутствие объемной модификации (т.е. чем больше значение угла изгиба отдаляется от 180°), тем меньше их подвижность в геле при электрофорезе в неденатурирующих условиях. Это явление объясняется меньшей компактностью изогнутой структуры ДНК, затрудняющей ее прохождение через поры геля. Таким образом, особенности геометрии модельных 16-звенных ДНК-дуплексов, несущих модификацию nFluL или nFluS в одной из цепей, могут быть определены на основе данных об их подвижности в геле при электрофорезе в неденатурирующих условиях. Радиоавтограф геля, полученный в результате эксперимента, представлен на рис. 3.
Рис. 3. Сравнение электрофоретической подвижности 16-звенных ДНК-дуплексов. Радиоавтограф геля после проведения электрофореза в неденатурирующих условиях. 1 – nFluS-дцДНК, 2 – nFluL-дцДНК, 3 – НМ-дцДНК
Согласно результатам обсчетов по формуле (см. «Определение угла изгиба ДНК-дуплексов»), nFluL-содержащий ДНК-дуплекс изогнут сильнее – угол изгиба для него составляет 165.40 ± 0.95°, что совпадает с данными, полученными ранее [17, 25], в то время как для nFluS-дцДНК угол изгиба составил 170.64 ± 0.83°. Эти различия в перегибе сахарофосфатного остова двух эффективно процессируемых субстратов могут быть обусловлены различиями во взаимодействии флуоресцеинового фрагмента повреждений с азотистыми основаниями соседних нуклеотидных звеньев. Согласно результатам моделирования молекулярной динамики ДНК-дуплекс, содержащий nFluL, наряду с преимущественным нахождением флуоресцеинового фрагмента вне дуплекса, показал высокую подвижность в области введения повреждения; наблюдалась динамика возникновений/исчезновений изгиба в области повреждения на достаточно большой угол (~135°) [17]. Структура nFluS позволяет предполагать, что в этом случае Flu не склонен к выворачиванию, что может быть связано с преимущественным расположением флуоресцеинового фрагмента nFluS внутри дуплекса. Стоит также отметить, что, несмотря на меньшую степень изгиба nFluS-ДНК по сравнению с nFluL-ДНК, nFluS удалялся более эффективно белками экстракта клеток HeLa. Тем не менее эффективность репарации объемного аддукта не всегда коррелирует со степенью изгиба спирали ДНК, что показано нами ранее [11].
Сравнение термической стабильности дуплексов
Методом термической денатурации с оптической регистрацией сигнала определены термическая стабильность и термодинамические характеристики формирования ДНК-дуплексов длиной 16 п.н. Проведена регистрация зависимости величины оптической плотности растворов ДНК-дуплексов от температуры. Анализ кривых термической денатурации различных субстратов показал, что гипохромный эффект в случае дуплекса без модификации выражен более заметно, чем у дуплексов, содержащих ненуклеотидное звено. Согласно расчетам, гипохромный эффект НМ-ДНК составляет 14.75%, nFluL-ДНК 13.5%, nFluS-ДНК 14.3%. На нормированных графиках зависимости оптической плотности от температуры видны различия в термостабильности ДНК-дуплексов (рис. 4).
Рис. 4. График зависимости оптической плотности ДНК-дуплексов на длине волны 260 нм от температуры
Наиболее стабильным оказался ДНК-дуплекс без модификации, Tm составила 67.6 ± 0.3°C; у nFluL-дуплекса Tm составила 55.6 ± 0.3°C и наименее термостабильным оказался nFluS-дуплекс (Tm = 51.5 ± 0.3°C). Таким образом, присутствие повреждений nFluL и nFluS сильнее, чем присутствие другого ненуклеотидного повреждения – nAnt (Tm для nAnt-ДНК составляет 59.6 ± 0.2°С) [16], однако nFluS дестабилизирует двухцепочечную структуру дуплексов наиболее заметно. Ранее с использованием компьютерного моделирования мы показали, что флуоресцеиновые фрагменты синтетических азотистых оснований, связанные с сахарофосфатным остовом ДНК протяженными линкерами (Flu-dU и nFluL), взаимодействуют с азотистыми основаниями нуклеотидных звеньев соседних участков дцДНК, нарушая и дестабилизируя регулярную структуру этих участков. С использованием молекулярно-динамического моделирования показано, что флуоресцеиновый фрагмент nFlu способен выворачиваться из дуплекса и большую часть времени находиться снаружи [17, 25].
Рис. 5. График в линейных координатах Вант-Гоффа для немодифицированного ДНК-дуплекса и дуплексов, содержащих повреждение nFlu (nFluL) и (nFluS)
Таблица 2. Термодинамические данные и температура плавления ДНК-дуплексов
ДНК-дуплекс | ΔS°, кал/моль×К | ΔH°, ккал/моль | ΔG°37, ккал/моль | Tm (20 мкM), °C |
НМ-ДНК | -382 ± 167 | -140.0 ± 56.7 | -20.2 ± 4.8 | 67.6 ± 0.3** |
nFluL-ДНК | -339 ± 187 | -119.4 ± 61.2 | -14.3 ± 3.2 | 55.6 ± 0.3** |
nFluS-ДНК | -295 ± 104 | -103.5 ± 33.5 | -12.0 ± 1.2 | 51.5 ± 0.3** |
**Стандартное отклонение для температуры взято исходя из погрешности измерительного прибора.
Полученные нами данные дают основание полагать, что более существенное снижение термостабильности nFluS-содержащего дуплекса (по сравнению с nFluL-содержащим) может быть связано с преимущественным расположением флуоресцеинового фрагмента nFluS внутри существенно искажаемого его присутствием дуплекса и его взаимодействиями с азотистыми основаниями ближайших нуклеотидных звеньев [26]. С использованием минимизации суммы квадратов отклонений между экспериментальной и теоретической кривой термической денатурации проведен расчет термодинамических параметров плавления. Значения ∆S° и ∆H° определяли путем линеаризации выражения в координатах 1000/Tпл и ln(Ct/4) (координаты Вант-Гоффа) и построения линейной зависимости обратной величины температуры плавления от логарифма концентрации ln(Ct/4) методом наименьших квадратов. Графики, представленные на рис. 5, результаты расчетов термодинамических параметров в табл. 2 также говорят о повышенной способности nFluS к дестабилизации двухцепочечной структуры окружающей ДНК по сравнению с nFluL.
Спектрометрическое титрование
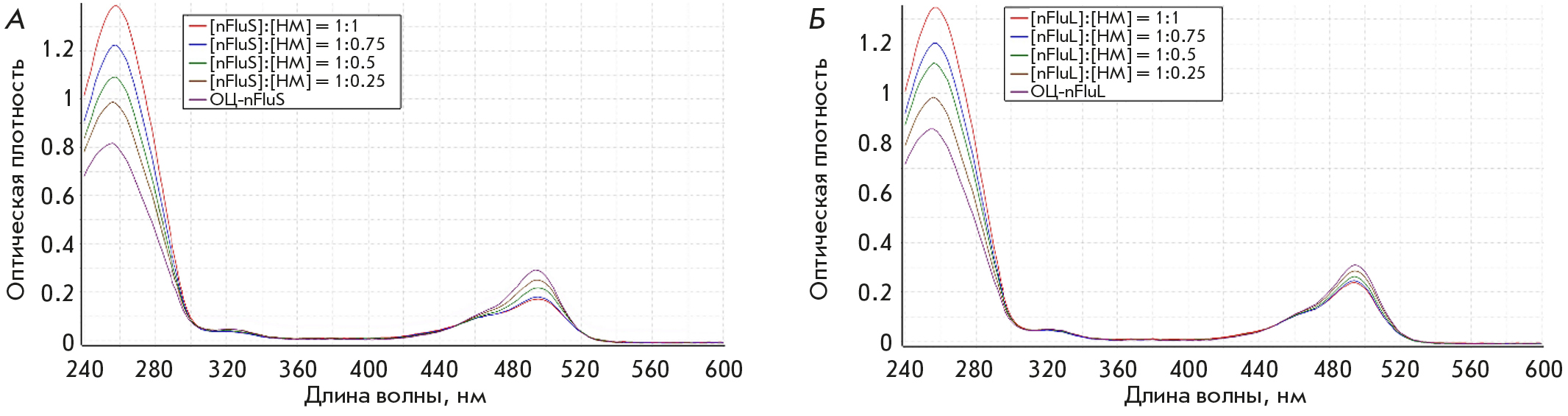
Метод спектрометрического титрования в сочетании с другими подходами позволяет на основе данных об изменениях спектральных характеристик, обусловленных формированием дуплекса, сделать вывод о наличии тех или иных взаимодействий. Наиболее заметные различия между двумя повреждениями, содержащими объемный карбоксифлуоресцеиновый фрагмент, выявлены при сравнительном изучении ДНК-дуплексов, содержащих объемные модификации nFluL и nFluS, с помощью спектрометрического титрования. Использование этого метода в сочетании с другими подходами позволяет на основе данных об изменениях спектральных характеристик при формировании дуплекса сделать выводы о взаимодействиях, в которые вовлекается (или не вовлекается) флуоресцентная группировка. Образцы содержали модифицированные цепи nFluS или nFluL в постоянной концентрации 5.4 мкМ; концентрация комплементарной ДНК варьировала. Контрольные образцы в каждой серии содержали только модифицированную цепь. Измерения проводили после проведения гибридизации цепей. Спектры оптического поглощения представлены на рис. 6.
Рис. 6. Спектры оптического поглощения образцов, содержащих nFluS-ДНК (А) или nFluL-ДНК (Б) в постоянной концентрации 5.4 мкМ. Указаны соотношения концентраций в образцах, содержащих модифицированную (nFluS- или nFluL) и немодифицированную (НМ) цепи, формирующие дуплексы
На длине волны 260 нм наблюдалось постепенное увеличение оптической плотности обеих серий образцов, происходящее в результате увеличения суммарной концентрации ДНК в смеси, в то время как на длине волны 495 нм (максимум поглощения флуоресцеина) характер изменения оптической плотности образцов, содержащих nFluS-ДНК и nFluL-ДНК, менялся по мере увеличения содержания в образцах комплементарной цепи, а следовательно, и двухцепочечных структур.
Сравнение оптического поглощения nFluS-ДНК и nFluL-ДНК, полученных при их титровании немодифицированной ДНК, показывает, что в области максимального поглощения нуклеотидов (260 нм) в обеих сериях ДНК наряду с ростом оптической плотности наблюдается одинаковый по величине гипохромный эффект, обусловленный формированием дуплексов (рис. 6). Характер изменений оптической плотности вблизи максимума поглощения флуоресцеина (495 нм) при этом отличается: в случае ДНК-дуплексов, содержащих nFluS, гипохромный эффект, проявляющийся при максимальной концентрации неповрежденной цепи, составляет 40%, в то время как у ДНК-дуплексов, содержащих nFluL, он не превышает 20% (рис. 6).
Ранее на примере спектров поглощения ДНК-дуплексов, которые содержали цис- и транс-B[α]P-N2-dG-повреждения, было показано, что образование дуплексов, в которых аддукт B[α]P формировал прочные интеркаляционные комплексы, сопровождается гипохромным эффектом, проявляющимся в области поглощения пиренильных колец B[α]P [27]. Таким образом, результаты спектрофотометрического титрования показывают, что, хотя присутствие повреждения с более протяженным спейсерным фрагментом приводит к локальной дестабилизации ДНК, достаточной для эффективного распознавания и удаления nFluL белками системы ЭРН, его флуоресцеинилкарбамоильный фрагмент не образует устойчивых сэндвич-структур либо других комплексов, формирование которых приводит к заметным изменениям в спектре, что коррелирует с данными недавно выполненного моделирования МД-траекторий nFuL-cодержащих ДНК [17].
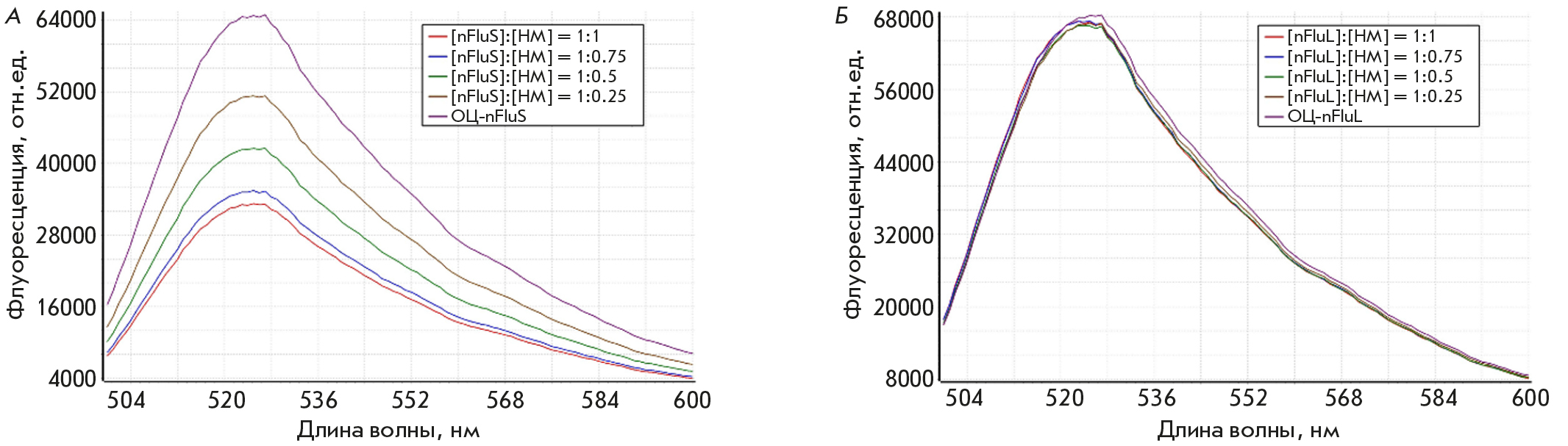
Рис. 7. Спектры возбуждения флуоресценции в диапазоне 420–520 нм в сериях образцов, содержащих nFluS-ДНК (А) или nFluL-ДНК (Б), в концентрации 5.4 мкМ и комплементарную цепь без модификаций (НМ)
Наиболее наглядные результаты, позволяющие судить о причинах, лежащих в основе различий двух флуоресцеиновых повреждений, получены при сравнении спектров флуоресценции двух серий образцов, содержащих nFluS-ДНК либо nFluL-ДНК и немодифицированную цепь ДНК в таких же соотношениях, как и в экспериментах по анализу изменения оптических спектров.
Полученные спектры возбуждения и испускания ДНК-дуплексов с повреждениями nFluS и nFluL представлены на рис. 7 и 8 соответственно. Спектры возбуждения флуоресценции записывали при фиксированной длине волны испускания 548 нм; длина волны возбуждения изменялась в диапазоне 420–520 нм с шагом 1 нм (рис. 7А,Б соответственно). Спектры испускания, представляющие собой зависимость интенсивности испускания света флуорофором (Flu) от длины волны возбуждающего света, снимали в диапазоне 500–600 нм с шагом измерения 1 нм при фиксированной длине волны возбуждающего света 533 нм (рис. 8А,Б).
Рис. 8. Спектры испускания флуоресценции в серии образцов, содержащих nFluS (А) или nFluL (Б), в концентрации 5.4 мкМ и комплементарную цепь без модификаций (НМ)
Интенсивность флуоресценции образцов, содержащих nFluS-ДНК, заметно и последовательно уменьшается по мере увеличения концентрации комплементарной цепи, в то время как в случае образцов, содержащих nFluL-ДНК, в структуре которого есть протяженный линкер, интенсивность флуоресценции практически не изменяется (рис. 7А и 8А).
Таким образом, результаты спектрометрического титрования с большой уверенностью позволяют предполагать, что при образовании дуплекса флуоресцеинилкарбамоильный фрагмент повреждения nFluS располагается внутри дуплекса и способен взаимодействовать с гуанинами ближайших к повреждению звеньев ДНК аналогично тому, как это описано для некоторых вариантов расположения флуоресцеиновой модификации в дуплексе [26].
ЗАКЛЮЧЕНИЕ
В соответствии с нашим предположением, nFluS (N-[6-(5(6)-флуоресцеинилкарбамоил)]-3-амино-1,2-пропандиол) представляет собой аналог объемного повреждения, эффективность специфической эксцизии которого из модельной ДНК выше, чем у nFluL (N-[6-(5(6)-флуоресцеинилкарбамоил)-гексаноил]-3-амино-1,2-пропандиола). В результате сравнительного исследования особенностей геометрии, термодинамических характеристик, анализа спектров оптического поглощения, а также спектров флуоресценции модельных ДНК-дуплексов, содержащих nFluS или nFluL, показано, что увеличение эффективности специфической эксцизии nFluS по сравнению с nFluL ассоциировано с обусловленной взаимодействием флуоресцеинилкарбамоильного фрагмента с соседними азотистыми основаниями дцДНК дополнительной дестабилизацией двухцепочечной структуры ДНК. При этом расположение дестабилизированного участка в nFluS-содержащих дцДНК, вероятно, способствует формированию продуктивных комплексов XPC–ДНК, внося вклад в улучшение субстратных свойств nFluS-ДНК в реакции специфической эксцизии. Для подтверждения последнего предположения необходимо проведение экспериментов по молекулярному моделированию.
Работа выполнена при финансовой поддержке РНФ (проект № 19-74-10056П).
Об авторах
А. А. Попов
Институт химической биологии и фундаментальной медицины СО РАН
Email: irapetru@niboch.nsc.ru
Россия, Новосибирск, 630090
В. М. Голышев
Институт химической биологии и фундаментальной медицины СО РАН
Email: irapetru@niboch.nsc.ru
Россия, Новосибирск, 630090
Л. С. Королева
Институт химической биологии и фундаментальной медицины СО РАН
Email: irapetru@niboch.nsc.ru
Россия, Новосибирск, 630090
К. Д. Назаров
Институт химической биологии и фундаментальной медицины СО РАН
Email: irapetru@niboch.nsc.ru
Россия, Новосибирск, 630090
Р. О. Анарбаев
Институт химической биологии и фундаментальной медицины СО РАН
Email: irapetru@niboch.nsc.ru
Россия, Новосибирск, 630090
И. О. Петрусева
Институт химической биологии и фундаментальной медицины СО РАН
Автор, ответственный за переписку.
Email: irapetru@niboch.nsc.ru
Россия, Новосибирск, 630090
Список литературы
- Schärer O.D. // Cold Spring Harb. Perspect. Biol. 2013. V. 5. № 10. Р. a012609.
- Sugasawa K. // Enzymes. 2019. V. 45. P. 99–138.
- Krasikova Y., Rechkunova N., Lavrik O. // Int. J. Mol. Sci. 2021. V. 22. № 12. P. 6220.
- Shafirovich V., Kolbanovskiy M., Kropachev K., Liu Z., Cai Y., Terzidis M.A., Masi A., Chatgilialoglu C., Amin S., Dadali A., et al. // Biochemistry. 2019. V. 58. № 6. P. 561–574.
- Fu I., Mu H., Geacintov N.E., Broyde S. // Nucl. Acids Res. 2022. V. 50. № 12. P. 6837–6853.
- Fu I., Geacintov N.E., Broyde S. // Nucl. Acids Res. 2023. V. 51. № 22. P. 12261–12274.
- Kim J., Li C.L., Chen X., Cui Y., Golebiowski F.M., Wang H., Hanaoka F., Sugasawa K., Yang W. // Nature. 2023. V. 617. № 7959. P. 170–175.
- Huang J.C., Sancar A. // J. Biol. Chem. 1994. V. 269. P. 19034–19040.
- Reardon J.T., Sancar A. // Proc. Natl. Acad. Sci. USA. 2006. V. 103. № 11. P. 4056–4061.
- Kropachev K., Kolbanovskii M., Cai Y., Rodríguez F., Kolbanovskii A., Liu Y., Zhang L., Amin S., Patel D., Broyde S., et al. // J. Mol. Biol. 2009. V. 386. № 5. P. 1193–1203.
- Лукьянчикова Н.В., Петрусева И.О., Евдокимов А.Н., Сильников В.Н., Лаврик О.И. // Биохимия. 2016. Т. 81. № 3. С. 386–400.
- Li C.L., Golebiowski F.M., Onishi Y., Samara N.L., Sugasawa K., Yang W. // Mol. Cell. 2015. V. 59. № 6. P. 1025–1034.
- Gillet L.C., Alzeer J., Schärer O.D. // Nucl. Acids Res. 2005. V. 33. № 6. P. 1961–1969.
- Evdokimov A., Petruseva I., Tsidulko A., Koroleva L., Serpokrylova I., Silnikov V., Lavrik O. // Nucl. Acids Res. 2013. V. 41. № 12. e123.
- Evdokimov A., Kutuzov M., Petruseva I., Lukjanchikova N., Kashina E., Kolova E., Zemerova T., Romanenko S., Perelman P., Prokopov D., et al. // Aging (Albany NY). 2018. V. 10. № 6. P. 1454–1473.
- Лукьянчикова Н.В., Петрусева И.О., Евдокимов А.Н., Королева Л.С., Лаврик О.И. // Мол. биология. 2018. Т. 52. № 2. С. 277–288.
- Naumenko N.V., Petruseva I.O., Lomzov A.A., Lavrik O.I. // DNA Repair (Amst.). 2021. V. 108. P. 1–11.
- Petruseva I., Naumenko N., Kuper J., Anarbaev R., Kappenberger J., Kisker C., Lavrik O. // Front. Cell Dev. Biol. 2021. V. 9. P. 617160.
- Sugasawa K., Akagi J., Nishi R., Iwai S., Hanaoka F. // Mol. Cell. 2009. V. 36. № 4. P. 642–653.
- Cheon N.Y., Kim H.S., Yeo J.E., Schärer O.D., Lee J.Y. // Nucl. Acids Res. 2019. V. 47. № 16. P. 8337–8347.
- Liu Z., Ding S., Kropachev K., Jia L., Amin S., Broyde S., Geacintov N.E. // PLoS One. 2015. V. 10. № 9. P. e0137124.
- Reardon J.T., Sancar A. // Methods Enzymol. 2006. V. 408. P. 189–213.
- Попов A.A., Петрусева И.О., Науменко Н.В., Лаврик О.И. // Биохимия. 2023. Т. 88. № 11. С. 2235–2250.
- Reeves D.A., Mu H., Kropachev K., Cai Y., Ding S., Kolbanovskiy A., Kolbanovskiy M., Chen Y., Krzeminski J., Amin S., et al. // Nucl. Acids Res. 2011. V. 39. № 20. P. 8752–8764.
- Evdokimov A.N., Tsidulko A.Y., Popov A.V., Vorobiev Y.N., Lomzov A.A., Koroleva L.S., Silnikov V.N., Petruseva I.O., Lavrik O.I. // DNA Repair (Amst.). 2018. V. 61. P. 86–98.
- Nazarenko I., Pires R., Lowe B., Obaidy M., Rashtchian A. // Nucl. Acids Res. 2002. V. 30. № 9. P. 2089–2195.
- Huang W., Amin S., Geacintov N.E. // Chem. Res. Toxicol. 2002. V. 15. № 2. P. 118–126.
Дополнительные файлы









